Abstract
In a longitudinal study of 25 preterm infants, we have examined the relationship of bone-specific alkaline phosphatase (ALP), C-terminal propeptide of type I collagen (PICP), N-terminal propeptide of type III procollagen (P3NP), C-terminal telopeptide of type I collagen, urinary pyridinoline (Pyd) and deoxypyridinoline (Dpd), with rates of gain in weight, length, and lower leg length and with bone mineral content (BMC), all measured at weekly intervals over the first 10 wk of life. Concentrations of all collagen markers were 10-fold higher than in older children. Each marker showed a distinctive pattern of postnatal change, with early increases in PICP and P3NP and decreases in ICTP reflecting postnatal growth. Once markers had reached a plateau during weeks 4–10, P3NP was positively correlated, whereas Pyd and Dpd were negatively correlated with rate of weight gain (r= +0.44, −0.46, and −0.40, respectively, p< 0.05). P3NP was also positively correlated with overall linear growth (r= +0.44, p< 0.05). PICP was strongly correlated with mean BMC (r= +0.63, p< 0.01) and with total BMC attained by the end of the study period (r= +0.81, p< 0.001). Bone ALP was positively correlated with the rate of bone mineral accretion (r= +0.55, p= 0.01). We conclude that the marker of soft-tissue collagen formation, P3NP, is a good marker for overall ponderal and linear growth in preterm infants, whereas the markers of collagen breakdown, Pyd and Dpd, have inverse relationships with weight gain. The osteoblast markers, PICP and bone ALP, seem to be good surrogate markers for bone mineralization in preterm infants. Markers may provide information on whole-body turnover of bone and collagen that is complementary to traditional physical measures of growth and bone mineralization.
Main
Optimizing postnatal growth in very low birth weight infants is a continuing challenge for neonatal intensive care units. However, weight may be affected by such factors as fluid balance, and it may be difficult to measure length in babies requiring minimal disturbance. Preterm infants are also at risk of osteopenia, which may range in severity from subclinical to frank radiologic rickets and spontaneous fractures (1), but there is little information available concerning bone turnover in this vulnerable group. Measurement of bone mineral content (BMC) remains largely in the research domain. Mineral balance studies have also been carried out in a research setting but give only an indirect reflection of bone metabolism and are, moreover, cumbersome, prone to error, and unsuited to routine use. There is a need for simple and robust markers of bone and soft-tissue turnover that will provide early surrogate measures of the effects of therapeutic interventions on bone turnover and overall growth.
Bone-specific alkaline phosphatase (ALP) is a marker of the differentiated osteoblast and is also present in the hypertrophic chondrocytes of the epiphyseal growth plate. The C-terminal propeptide of type I procollagen (PICP) quantitatively reflects type I collagen synthesis, is produced by proliferating osteoblasts, and is considered to be principally a marker of bone formation, although there may be some additional contribution from type I collagen synthesis in soft tissues. The N-terminal propeptide of type III procollagen (P3NP) quantitatively reflects the synthesis of type III collagen in soft tissue (none is present in bone). The cross-linked C-terminal telopeptide of type I collagen (ICTP) is a marker of type I collagen breakdown, mainly, but not solely, arising from bone. The urinary markers, pyridinoline (Pyd) and deoxypyridinoline (Dpd), are both markers of collagen degradation; Dpd is thought to originate exclusively from bone. All of these markers have been shown to reflect growth in older children (2), but their relationship to growth and bone turnover during infancy has been little studied.
To investigate the hypothesis that bone ALP and collagen markers might provide useful surrogate measures of growth and bone mineralization in preterm infants, we undertook weekly measurements of the markers in preterm babies over the first 10 wk of life and related them to rates of gain in weight, length, and lower leg length and to BMC measured over the same period.
METHODS
Subjects
All infants admitted sequentially to the neonatal intensive care unit over a 15-month period, with a birth weight less than 1500 g and gestational age at birth less than 34 wk, were eligible to participate in the study. Infants who required dexamethasone treatment for severe chronic lung disease (CLD) were excluded. All infants were fed on mother's breast milk with preterm formula (Prematil, Milupa) added if the breast milk supply was inadequate. Oral vitamin D supplements of 1000 U/day were started once the infant was tolerating full enteral feeds. Phosphate supplements (1 mmol/day as sodium hydrogen phosphate) were given if the plasma phosphate concentration fell below 1.5 mmol/L.
Measurements
Weekly measurements were made of body weight, using electronic scales, supine length, using a neonatal stadiometer, and lower leg length using a neonatal knemometer (3), all by a single individual. BMC of the left radius was also measured weekly at the cotside (provided the clinical condition of the baby permitted this), using a portable dual energy x-ray absorptiometry (DEXA) technique (4). Blood and urine samples were collected weekly during mid-morning to minimize the effect of any circadian variation on the markers of bone turnover. Measurements continued for 10 wk or until the infant went home, whichever was sooner. Samples were stored at −70°C until analysis. The study was approved by the local ethics committee, and informed parental consent was obtained in all cases.
Analytical Methods
Collagen assays.
We measured PICP, P3NP, and ICTP in plasma by radioimmunoassay (Orion Diagnostica, Espoo, Finland), using methods previously described (5–7). Before analysis, we diluted samples appropriately in 154 mmol/L sodium chloride to achieve concentrations within the calibration curve; typical dilutions were 1 in 30 for PICP and 1 in 20 for P3NP and ICTP. All samples were analyzed in duplicate. Because of the high dilutions involved, all collagen markers could be measured using less than 70 μL plasma in total. As far as possible, samples from each infant were analyzed in a single run to minimize analytic variation. Between-run coefficients of variation for manufacturer's controls were 7.8% and 5.2% at 94 μg/L and 320 μg/L for PICP, 5.6% at 4.6 μg/L for P3NP, and 6.3% and 9.2% at 8.7 μg/L and 33.8 μg/L for ICTP. For pooled plasma from preterm infants, diluted as above, they were 4.4% at 3990 μg/L for PICP, 6.4% at 208 μg/L for P3NP, and 11.7% at 118 μg/L for ICTP.
Bone ALP was measured in plasma by enzyme-linked immunosorbent assay (Alkphase-B from Metra Biosystems Inc., Mountain View, CA). The assay uses a monoclonal anti-bone ALP antibody coated on a microtitre plate to capture bone ALP in the samples. This assay gives approximately 10% cross-reactivity with the liver isoform, but this is not present in plasma from preterm infants (8). Using plasma samples from preterm infants containing high activities of fetal intestinal ALP, and also amniotic fluid and extracts of meconium from preterm infants (both of which contain only fetal intestinal ALP), we confirmed that the assay gave no cross-reaction with fetal intestinal ALP, which may comprise up to half the total plasma ALP activity in preterm infants (9). Before analysis, we diluted samples 1 in 3 in 154 mmol/L sodium chloride to achieve concentrations within the calibration curve. Between-run coefficients of variation for manufacturer's controls were 6.7% and 5.4% at 15.1 U/L and 70.5 U/L, respectively. For pooled plasma from preterm infants, diluted as above, it was 6.6% at 126 U/L.
Pyridinium crosslinks were measured in urine by high pressure liquid chromatography using a modification of the method of Pratt et al. (10). In urine, approximately 40% of pyridinium crosslinks are in the unconjugated (free) form, whereas the remainder is either glycosylated or present as low molecular weight peptides. The urine samples were hydrolyzed to convert the glycosylated and peptide forms to the free form, and, after solid phase extraction using mL31 microgranular cellulose, total Pyd and Dpd were measured by isocratic reversed phase high pressure liquid chromatography, using a C-8 (4.6 × 250 mm) column, heptafluorobutyric acid as the ion-pairing agent, and acetonitrile as the organic modifier in the mobile phase. Pyridinium crosslinks extracted from demineralized sheep bone were used as external standards (11) and were a generous gift from Dr. Simon Robins (Rowett Research Institute, Aberdeen, Scotland). The results were expressed in relation to creatinine measured on the same urine sample. Samples were assayed in duplicate with mean interassay coefficients of variation of 5.9% at 315 nmol/mmol creatinine for Pyd and 9.1% at 65.8 nmol/mmol creatinine for Dpd. The interassay coefficient of variation for the ratio of Pyd to Dpd was 7.9% at a ratio of 4.8.
Data Analysis
All anthropometric variables gave a good fit to a Gaussian distribution. The infants were found to have linear rates of gain in weight, length, and lower leg length over time. We calculated these rates by linear regression of all measurements through time over the study period. BMC was expressed as 1) mean BMC over weeks 4–10 (see “Results”), 2) BMC attained by the end of the study period, and 3) overall rate of bone mineral accretion calculated by linear regression analysis through time.
All biochemical markers were found to be positively skewed and to require log transformation to fit a Gaussian distribution. We used analysis of variance (repeated measures model) on the log-transformed data to assess the significance of longitudinal changes through time, followed by Fisher's post hoc test to identify the time points at which significant changes occurred. Based on the latter analysis, results in sequential postnatal weeks were then combined to derive 95% reference intervals. These were calculated as the arithmetic mean of the log-transformed data ± 2 SD, raised to the power of 10. Medians and geometric means (defined as the arithmetic mean of the log-transformed data, raised to the power of 10) are also presented.
To assess differences between groups and relations between variables, we took a summary statistics approach (12). After confirming that no statistically significant changes occurred in any of the markers after week 4 in the group as a whole, we calculated the mean of the log-transformed concentrations for each marker in each individual baby over weeks 4–10. We then used Student's unpaired t test to compare either 1) marker concentrations (log-transformed) in the first week of life or 2) the individual means over weeks 4–10 between unmatched subgroups. We also used simple linear regression to assess relations between the mean marker concentration for each baby over weeks 4–10 and gestational age, birth weight, or anthropometric variables, expressed as described above. All statistical tests were two-tailed, and p< 0.05 was regarded as significant.
RESULTS
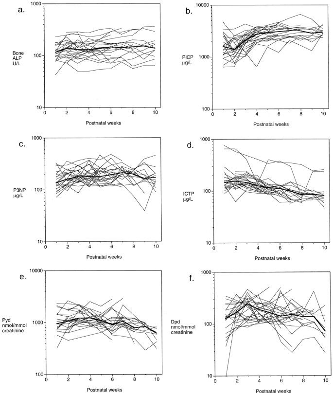
Twenty-five infants fulfilled the criteria for inclusion in the study. Thirteen babies developed CLD, defined as persisting oxygen dependence at 28 d postnatal age accompanied by an abnormal chest x-ray. They had a median gestational age at birth of 26 wk (range 24–31 wk) and median birth weight of 915 g (784–1266 g). None was treated with steroids. The remaining 12 babies did not develop CLD and had a median gestational age of 30 wk (28–33 wk) and median birth weight of 1268 g (836–1505 g). None of the infants developed clinical or radiologic signs of osteopenia of prematurity. Figure 1 shows the biochemical markers (individual values and overall median) for all infants plotted against postnatal age.
Changes with Postnatal Age
Significant longitudinal changes over the first 6 wk of postnatal life were found for bone ALP (analysis of variance, p< 0.001), PICP (p< 0.0001), P3NP (p< 0.01), and ICTP (p< 0.0001) (Fig 1, a–d). Bone ALP increased from weeks 1 to 2 (p< 0.01), then remained steady from weeks 2 to 10 (Fig 1a). PICP remained relatively low in weeks 1 and 2, increased progressively from weeks 2 to 4 (p< 0.05), then remained steady from weeks 4 to 10 (Fig 1b). P3NP had slightly lower levels at weeks 1–2 compared with weeks 3–10 (p< 0.05), but overall there was little change through time (Fig 1c). ICTP had its highest levels during weeks 1–3, after which it decreased (p< 0.01) with no further significant changes from weeks 4 to 10 (Fig 1d). The urinary markers were very variable; neither the changes in Pyd nor those in Dpd reached statistical significance (analysis of variance, p= 0.69 and 0.71, respectively) (Fig 1, e and f). The median Pyd:Dpd ratio ranged between 4.4 and 8.1 (mean 6.5) and also showed no trend over time.
Table 1 shows the medians, geometric means, and 95% reference intervals for the markers, based on the postnatal ages at which statistically significant changes occurred. Because there were no further statistically significant changes in any of the markers after week 4 for the group as a whole, the mean for each marker over weeks 4–10 was calculated for each baby for subsequent analysis.
Relation with Gestational Age
During the first week of life, ICTP was inversely correlated with gestational age at birth (r= −0.51, p< 0.05), but this was largely due to a single pair of twins born at 24 wk gestation who had much higher ICTP concentrations than all other babies (Fig 1d). Their renal function was normal, and their Pyd and Dpd excretions were not discrepant compared with other low birth weight infants. A second pair of twins born at 25 wk gestation had ICTP concentrations similar to those of other babies. If the discrepant pair of twins was excluded, there was no significant relationship of ICTP with gestational age. The other markers showed no significant correlations with gestational age at birth during the first week of life.
Once markers had reached their postnatal plateau from weeks 4 to 10, the geometric means of PICP and ICTP for each baby were, respectively, positively (r= +0.44, p= 0.029) and negatively (r= −0.51, p= 0.01) correlated with gestational age at birth. However, if the discrepant pair of twins was excluded, the negative correlation for ICTP became statistically nonsignificant (r= −0.18, p= 0.41).
Relation with Birth Weight
During the first week of life, Pyd and Dpd correlated positively (r= +0.62 and +0.42, p< 0.01 and 0.06, respectively) and ICTP correlated negatively (r= −0.44, p< 0.05) with birth weight. However, no statistically significant relationship was found between any marker and birth weight during weeks 4–10.
Five babies were born small for gestational age (defined as a birth weight <10th percentile for gestational age), whereas the remainder had birth weights appropriate for gestational age. There was no significant difference for any marker between the two groups, either during the first week of life or later (p> 0.10).
Relation with Sex
During the first week of life, there was no significant difference between males and females for any of the markers. However, during weeks 4–10, males had higher concentrations of PICP (geometric mean 3331 μg/L, 95% confidence intervals 3134–3528 μg/L) compared with females (2654 μg/L, 2292–3073 μg/L, p= 0.025). This dichotomy between the sexes was not seen for any other marker.
Effect of CLD
There was no difference for any of the markers during weeks 4–10 between those babies who did and did not develop CLD.
Correlations among Markers
Table 2 shows the correlations among markers during weeks 4–10. The two markers of collagen formation, PICP and P3NP, were positively correlated with each other; similarly, the urinary markers of collagen breakdown, Pyd and Dpd, were also positively correlated with each other but not with the plasma marker of collagen breakdown, ICTP. On the other hand, there were significant inverse relationships between the markers of collagen formation and the plasma marker of collagen breakdown, ICTP.
Relationships between Markers and Anthropometric Variables
Rate of weight gain.
Males had a significantly greater rate of postnatal weight gain than females (mean 225 g/wk, 95% confidence intervals 204–246 g/wk, compared with 178 g/wk, 156–200 g/wk). Mean P3NP during wk 4–10 was positively correlated with overall rate of weight gain (r= +0.44, p< 0.05). Mean Pyd and Dpd, on the other hand, were both inversely correlated with rate of weight gain (r= −0.46 and −0.40, respectively, p< 0.05). No other marker was significantly correlated with ponderal growth, although mean PICP had a nonsignificant positive relationship (r= +0.26, p= 0.25).
Linear growth.
There was no significant difference between the sexes in terms of their linear growth. Mean P3NP during weeks 4–10 was positively correlated with rate of crown-heel length gain (r= +0.44, p< 0.05). No other marker was significantly correlated with overall linear growth. None of the markers was significantly related to growth of the lower leg, measured by knemometry.
BMC.
BMC measurements were available for 19 babies. The sexes did not differ in terms of mean BMC, BMC attained by the end of the study period, or net rate of bone mineral accretion. The mean PICP for each baby during weeks 4–10 was strongly correlated both with mean BMC over the same period (r= +0.63, p< 0.01) and with total BMC attained by the end of the study period (r= +0.81, p< 0.001). Moreover, PICP, measured on any single occasion during the second month of life, predicted 68–79% of the variability of BMC measured at the end of the second month.
Mean bone ALP during weeks 4–10 was positively correlated with the overall rate of bone mineral accretion over the study period (r= +0.55, p= 0.01). No other marker showed any relationship with any measure of BMC.
DISCUSSION
Several studies have investigated total (not bone-specific) ALP as a predictor for the development of clinical or radiologic rickets but have come to differing conclusions (13–16). Some have also investigated the relationship of total ALP to growth (17–19) and to BMC (20, 21) in very low birth weight infants, also with conflicting results. Some of these differences could be ascribed to different study designs and infant feeding practices, whereas some might be related to the nonspecificity of total ALP measurements; in preterm infants, up to half the total ALP activity may arise from the fetal intestinal isoenzyme during the first few weeks of life (9). A few studies have investigated other markers of bone and collagen turnover in preterm infants, namely PICP (19), hydroxyproline (22), osteocalcin and bone-specific ALP (23), and pyridinium crosslinks (24–26), but none has investigated P3NP or ICTP, nor has anybody systematically compared the postnatal changes in a number of different markers. In our prospective, longitudinal study, we aimed to compare a panel of candidate markers with various measures of growth and with BMC to identify the best predictors.
Changes with postnatal age.
In premature infants with birth weights <1500 g, we found that circulating concentrations of all markers of collagen turnover were approximately an order of magnitude greater than those seen in older children (27), confirming previous reports for PICP (19) and urinary pyridinium crosslinks (24–26). The pattern of postnatal increase in the markers of collagen synthesis, PICP and (to a lesser extent) P3NP, coupled with a decrease in the marker of collagen breakdown, ICTP, reflected the rapid postnatal growth in these infants. PICP and P3NP were correlated with each other and inversely with ICTP, indicating that those babies with the highest rates of collagen synthesis also had the lowest rates of collagen breakdown. However, urinary Pyd and Dpd were quite variable and were not correlated with ICTP. It is possible that the discrepancy between the plasma and urinary markers of collagen breakdown reflected variations in renal handling. The positive correlation between Pyd and Dpd, and the observation that their ratios were close to those we have found in older children and did not change over time, suggests that the contribution from bone (Pyd and Dpd) and nonbone (Pyd only) sources remained relatively constant. For most markers, there was occasional variation from the overall pattern in one or more individual babies, probably associated with short-term clinical problems, but any departures from the overall pattern were generally of short duration.
Relation with gestational age, birth weight, and sex.
During the first week of life, ICTP was inversely correlated with both gestational age and birth weight, whereas urinary Pyd and Dpd were correlated positively with birth weight. A similar inverse relationship between ICTP and gestational age was observed in a recent study using cord blood (28), but that study also reported an inverse relationship for PICP, which we could not confirm. In our cohort of babies, the negative correlations observed for ICTP may have been unduly influenced by a single pair of very premature and low birth weight twins, but the positive correlations for Pyd and Dpd applied across the spectrum of birth weights. Although we found no evidence of abnormal renal function in those with highest ICTP concentrations in plasma or lowest urinary excretion of Pyd and Dpd, it may be that subtle differences in renal handling of collagen fragments released during bone degradation among the most immature infants may have contributed to the observed results. Because bone ALP, PICP, and P3NP are large molecules that are not filtered by the glomerulus, their circulating concentrations would not be expected to be influenced by alterations in renal handling.
At the time of the study, approximately one-third of mothers was treated with antenatal steroids (24 mg of dexamethasone in two divided doses during the 24 h before delivery, the last dose being given 12 h before delivery). Withdrawal from this brief exposure to steroids may have had an additional variable effect on collagen markers during the first week of life in some infants. However, any such effects were likely to be transient. After week 4, there was no relationship between any of the markers and either birth weight or gestational age, except for PICP, which developed a positive correlation with gestational age at birth, possibly reflecting a greater postnatal gain in BMC in the more mature infants (see below). None of the markers differed between infants born small versus appropriate for gestational age. PICP was, however, higher in males than in females. This may have reflected the greater rate of weight gain in males, but P3NP, which was more closely correlated with weight gain than was PICP, did not show any difference between the sexes.
Relation with CLD.
Impaired lower leg growth and weight gain have been described in infants who developed severe CLD (3). CLD might also be expected to be associated with increased collagen turnover in the lungs. In our study, we found no evidence of any changes in whole-body collagen turnover arising from CLD. However, it should be noted that those infants with CLD of sufficient severity to require high-dose dexamethasone treatment were excluded from this investigation.
Relation with physical measurements.
None of the anthropometric measures of neonatal growth is ideal. Weight may be markedly influenced by fluid shifts. Accurate length measurement is difficult in very low birth weight infants, some of whom require minimal handling. Lower leg length, although technically a very precise method, may be influenced by the hydration state of nonosseous tissues and ignores spinal growth. To validate the markers as surrogate measures of the dynamic processes of growth, we investigated their relationship with anthropometric variables. We found that P3NP, the marker of soft-tissue collagen formation, was positively correlated both with rate of weight gain and with overall linear growth, and that Pyd and Dpd, the urinary markers of collagen breakdown, were inversely related to weight gain. None of the markers was related to lower leg length velocity, probably because they reflect whole body processes rather than that of the lower leg alone. A previous study has reported that PICP was positively correlated with weight gain in preterm infants (19); we observed only a modest positive correlation for PICP that failed to achieve statistical significance.
BMC is a relatively cumbersome and technically demanding measurement that is unavailable in most centers. It would be of great value to identify a biochemical marker that could provide a surrogate measure of bone mineralization. We found that PICP, whether expressed as a mean value over weeks 4–10 or measured on a single occasion during the second month of life, was the best single predictor of BMC attained by the end of the study period. This is presumably because type I collagen is the main structural component of bone, and its synthesis is a crucial prerequisite to bone mineralization.
Our observation of a positive correlation between bone ALP and bone mineral accretion in the distal radius should be treated with caution, as rates of accretion were low over the period of study, and some babies even showed a slight bone loss, as has been reported previously in premature babies (4). Longer term studies would be required to confirm the relationship. Previous reports for bone or total ALP found either no significant correlation with BMC (21, 23) or a negative correlation that was statistically significant but explained only a small proportion of the variance (20). High levels of total ALP (much higher than we observed in any of the babies in our study) have been shown to be associated with clinical and radiologic signs of osteopenia of prematurity (13–15). Osteopenia of prematurity is generally associated with mineral (especially phosphate) deficiency, which itself causes an increase in ALP. The relation between ALP and bone mineral accretion may therefore differ between mineral replete infants, such as those in our study, and those who become mineral deficient and osteopenic.
In conclusion, we have measured a panel of biochemical markers of collagen and bone turnover at weekly intervals during the first 10 wk of life in a group of preterm infants and determined their reference intervals. The marker of soft-tissue collagen synthesis, P3NP, was the best single marker of both ponderal and linear growth. PICP was the best marker of BMC and could act as a valuable surrogate measure of bone mineralization in these vulnerable infants.
Abbreviations
- ALP:
-
alkaline phosphatase
- CLD:
-
chronic lung disease
- PICP:
-
the C-terminal propeptide of type I collagen
- P3NP:
-
the N-terminal propeptide of type III collagen
- ICTP:
-
the cross-linked C-terminal propeptide of type I collagen
- Pyd:
-
pyridinoline
- Dpd:
-
deoxypyridinoline
- BMC:
-
bone mineral content
- DEXA:
-
dual energy x-ray absorptiometry
References
Brooke OG, Lucas A 1985 Metabolic bone disease in preterm infants. Arch Dis Child 60: 682–685
Crofton PM, Kelnar CJH 1998 Bone and collagen markers in paediatric practice. Int J Clin Pract 52: 557–565
Gibson AT, Pearse RG, Wales JKH 1993 Knemometry and assessment of growth in premature babies. Arch Dis Child 69: 498–504
Williams JR, Davidson F, Menon G, McIntosh N 1994 A portable dual energy X-ray absorptiometry technique for the measurement of bone mineral in preterm infants. Pediatr Res 36: 351–357
Melkko J, Niemi S, Risteli L, Risteli J 1990 Radioimmunoassay of the carboxyterminal propeptide of human type I procollagen. Clin Chem 36: 1328–1332
Risteli J, Niemi S, Trivedi P, Mäentausta O, Mowat AP, Risteli L 1988 Rapid equilibrium radioimmunoassay for the amino-terminal propeptide of human type III procollagen. Clin Chem 34: 715–718
Risteli J, Elomaa I, Niemi S, Novamo A, Risteli L 1993 Radioimmunoassay for the pyridinoline cross-linked carboxy-terminal telopeptide of type I collagen: a new serum marker of bone collagen degradation. Clin Chem 39: 635–640
Crofton PM 1987 Properties of alkaline phosphatase isoenzymes in plasma of preterm and term neonates. Clin Chem 33: 1778–1782
Crofton PM, Hume R 1987 Alkaline phosphatase isoenzymes in the plasma of preterm and term infants: serial measurements and clinical correlations. Clin Chem 33: 1783–1787
Pratt DA, Daniloff Y, Duncan A, Robins SP 1992 Automated analysis of the pyridinium crosslinks of collagen in tissue and urine using solid-phase extraction and reversed-phase high-performance liquid chromatography. Anal Biochem 207: 168–175
Black D, Duncan A, Robins SP 1988 Quantitative analysis of the pyridinium crosslinks of collagen in urine using ion-paired reversed-phase high performance liquid chromatography. Anal Biochem 169: 197–203
Matthews JNS, Altman DG, Campbell MJ, Royston P 1990 Analysis of serial measurements in medical research. Br Med J 300: 230–235
Kovar I, Mayne P, Barltrop D 1982 Plasma alkaline phosphatase activity: a screening test for rickets in preterm infants. Lancet 1: 308–310
Glass EJ, Hume R, Hendry GMA, Strange RC, Forfar JO 1982 Plasma alkaline phosphatase activity in rickets of prematurity. Arch Dis Child 57: 373–376
Walters EG, Murphy JF, Henry P, Elder GH 1986 Plasma alkaline phosphatase activity and its relation to rickets in pre-term infants. Ann Clin Biochem 23: 652–656
Lindroth M, Westgren U, Laurin S 1986 Rickets in very low birthweight infants. Acta Paediatr 75: 927–931
James JA, Mayne PD, Barnes IC, Kovar IZ 1985 Growth velocity and plasma alkaline phosphatase activity in the preterm infant. Early Hum Dev 11: 27–32
Lucas A, Brooke OG, Baker BA, Bishop N, Morley R 1989 High alkaline phosphatase activity and growth in preterm neonates. Arch Dis Child 64: 902–909
Carey DE, Rowe JC, Goetz CA, Horak E, Clark RM, Goldberg B 1987 Growth and phosphorus metabolism in premature infants fed human milk, fortified human milk, or special premature formula: use of serum procollagen as a marker of growth. Am J Dis Child 141: 511–515
Ryan SW, Truscott J, Simpson M, James J 1993 Phosphate, alkaline phosphatase and bone mineralization in preterm neonates. Acta Paediatr 82: 518–521
James JR, Congdon PJ, Truscott J, Horsman A, Arthur R 1986 Osteopenia of prematurity. Arch Dis Child 61: 871–876
Greer FR, Chen X, McCormick A 1991 Urinary hydroxyproline: relationship to growth, bone mineral content, and serum alkaline phosphatase level in premature infants. J Pediatr Gastroenterol Nutr 13: 176–181
Pittard WB, Geddes KM, Hulsey TC, Hollis BW 1992 Osteocalcin, skeletal alkaline phosphatase, and bone mineral content in very low birth weight infants: a longitudinal assessment. Pediatr Res 31: 181–185
Gfatter R, Braun F, Herkner K, Kohlross C, Hackl P 1997 Urinary excretion of pyridinium crosslinks and N-terminal crosslinked peptide in preterm and term infants. Int J Clin Lab Res 27: 238–243
Tsukahara H, Takeuchi M, Fujisawa K, Miura M, Hata K, Yamamoto K, Mayumi M 1998 High-turnover osteopenia in preterm infants: determination of urinary pyridinium cross-links of collagen. Metabolism 47: 333–335
Tsukahara H, Watanabe Y, Hirano S, Tsubokura H, Kimura K, Mayumi M 1999 Assessment of bone turnover in term and pretern newborns at birth: measurement of urinary collagen crosslink excretion. Early Hum Dev 53: 185–191
Crofton PM, Wade JC, Taylor MRH, Holland CV 1997 Serum concentrations of the carboxyterminal propeptide of type I procollagen, the aminoterminal propeptide of type III procollagen, the cross-linked carboxyterminal telopeptide of type I collagen and their interrelationships in schoolchildren. Clin Chem 43: 1577–1581
Ogueh O, Khastgir G, Studd J, Jones J, Alaghband-Zadeh J, Johnson MR 1998 The relationship of fetal serum markers of bone metabolism to gestational age. Early Hum Dev 51: 109–112
Author information
Affiliations
Additional information
Supported by Medical Research Council, Pharmacia, and Upjohn and Milupa.
Rights and permissions
About this article
Cite this article
Crofton, P., Shrivastava, A., Wade, J. et al. Bone and Collagen Markers in Preterm Infants: Relationship with Growth and Bone Mineral Content over the First 10 Weeks of Life. Pediatr Res 46, 581 (1999). https://doi.org/10.1203/00006450-199911000-00015
Received:
Accepted:
Issue Date:
DOI: https://doi.org/10.1203/00006450-199911000-00015
Further reading
-
Higher serum alkaline phosphatase activity in infants born to vitamin D–deficient mothers
Archives of Osteoporosis (2019)
-
Quantitative Ultrasound Measurements in Premature Infants at 1 Year of Age: The Effects of Antenatal Administered Corticosteroids
Calcified Tissue International (2011)
-
Maternal-administered physical activity enhances bone mineral acquisition in premature very low birth weight infants
Journal of Perinatology (2008)
-
Levels of bone collagen markers in preterm infants: relation to antenatal glucocorticoid treatment
Journal of Bone and Mineral Metabolism (2007)
-
Physical Activity Combined with Massage Improves Bone Mineralization in Premature Infants: A Randomized Trial
Journal of Perinatology (2004)
