Abstract
Open data on biological invasions are particularly critical in regions that are co-governed and/or where multiple independent parties have responsibility for preventing and controlling invasive alien species. The Antarctic is one such region where, in spite of multiple examples of invasion policy and management success, open, centralised data are not yet available. This dataset provides current and comprehensive information available on the identity, localities, establishment, eradication status, dates of introduction, habitat, and evidence of impact of known introduced and invasive alien species for the terrestrial and freshwater Antarctic and Southern Ocean region. It includes 3066 records for 1204 taxa and 36 individual localities. The evidence indicates that close to half of these species are not having an invasive impact, and that ~ 13% of records are of species considered locally invasive. The data are provided using current biodiversity and invasive alien species data and terminology standards. They provide a baseline for updating and maintaining the foundational knowledge needed to halt the rapidly growing risk of biological invasion in the region.
Similar content being viewed by others
Background & Summary
Collating data on alien species has seen much recent focus, including on integration of data types and sources, and on advances in the biodiversity informatics standards needed to support such data collation. These data now provide essential insight into the distribution, impact, and status of biological invasions worldwide (e.g.1,2,3). They are foundational in making evidence-based decisions for surveillance, early eradication, and control, and underpin monitoring and reporting on management success4. They also contribute to recent commitments made by the Parties to the Convention on Biological Diversity to continue to exchange information, use appropriate data standards, and regularly curate and maintain data on invasive alien species (CBD/COP/15/L.12). While there has been a step change in delivering country-level2,5 and taxon-specific inventories of alien species (e.g.1,6), some particular geographic and taxonomic data gaps still exist. One such gap is the Antarctic region. In part, this data deficit owes to the fact that the region south of latitude 60°S is managed as an international space through the Antarctic Treaty System7, thus largely excluding it from the application of international agreements of the United Nations, such as the Convention on Biological Diversity8. The Southern Ocean Islands, which encircle the continent, typically lie north of 60°S, and which form part of the Antarctic region9,10,11,12, are subject to several national jurisdictions.
From the earliest expeditions to Antarctica and the Southern Ocean Islands, humans have intentionally and accidentally introduced non-native species to the region13,14. On the continent itself, very few of these species have established self-sustaining populations away from human influence due to the severity of the climate, Antarctica’s isolation, and the early adoption of biosecurity practices by the Parties to the Antarctic Treaty15. Following the entry into force in 1998 of the Protocol on Environmental Protection to the Antarctic Treaty16, the introduction of domestic stock, sled dogs and non-sterile soil has been prohibited, and the introduction of living organisms subject to strict permit conditions.
In contrast, many alien species have established on the comparatively milder Southern Ocean Islands; some resulting in significant impacts on local biodiversity17. Notable examples include widespread cat, mice, and rat predation on endemic insects and seabirds18,19,20, vegetation damage caused by rabbits and other introduced mammals21,22, and the transformation of some plant communities by weeds17,23. These impacts have prompted the development of increasingly stringent biosecurity procedures across the region24, and invasive species control and eradication programs (e.g.14,17,25,26,27).
Despite the success of many of these practices in limiting the introduction, establishment and impact of alien species, biological invasions remain a key threat to Antarctic ecosystems. Recent research has shown that Antarctic ports are surprisingly well-connected to the global shipping network28 and physiological barriers to the establishment of alien species will likely weaken under future climate change scenarios29,30,31. Moreover, projections also indicate that the impacts of invasive alien species on their indigenous counterparts and on ecosystems are likely to grow into the future with increasing human occupancy of the region and with changing climates32,33. Given these expectations, the management of introduced and invasive alien species remains a priority for the region. For example, the Committee for Environmental Protection (CEP), which advises the Antarctic Treaty Consultative Parties (ATCPs) on management for the region, has made such species (non-native species in their terminology) one of its major priorities, reflected not only through its regular attention to the matter34,35, but also by the Non-Native Species Manual it has published and updates regularly36. Similarly, the management plans for most of the Southern Ocean Islands have a key focus on biosecurity and invasive alien species threat abatement (e.g.37,38,39).
Given these priorities, and the demonstrable value of consolidated, open and FAIR (Findable, Accessible, Interoperable, Reusable)40 inventories of biological introductions for both management and assessment of management actions, such an inventory should be a priority for the broader Antarctic region. Yet such an inventory, which complies with rigorous modern biodiversity informatics standards41, does not exist, despite multiple previous data collations15,17,42. One major consequence thereof is that, at present, apart from documentation of successful or unsuccessful eradication attempts, the ATCPs and the authorities responsible for the conservation management of the Southern Ocean Islands have no way of assessing the extent to which their, often stringent24, biosecurity procedures have had any effect.
Introduced and invasive alien species data for the region have previously been collated in various traditional forms. In 2005, Frenot and colleagues provided a narrative review of the current knowledge of alien species in Antarctica and the sub-Antarctic islands, including information on species distribution, impact, and origin17. Other contributions include regional checklists and presence-absence datasets for particular groups (mammals14,21; insects43; springtails44; spiders45; and mites46), systems (e.g., freshwater fauna47), and management areas (e.g.15,39,42,48). These resources differ in their geographic, temporal, and taxonomic scopes. For example, some datasets do not include more northerly islands, such as those of the Tristan da Cunha group and the Falkland Islands/Islas Malvinas, or the New Zealand sub-Antarctic islands, despite their historical biogeographic similarity to other islands in the region9,10. Likewise, information on species occurrence and evidence of impact (invasive status) are not consistently reported.
Here, we present what is, to our knowledge, the most complete and up-to-date record of introduced terrestrial and freshwater species in the Antarctic region. The dataset is formatted using existing biodiversity informatics standards and vocabularies developed by Darwin Core49 and the Global Register of Introduced and Invasive Species (GRIIS)2 to improve the interoperability of the records50. While the data fields and standards used are consistent with recent contributions5, this publication differs from other open data on introduced species in three critical ways: 1) it provides information at a level of governance appropriate for evidence-delivery in support of the Antarctic Treaty System and national governance of the Southern Ocean Islands; 2) it is neither country- nor specific taxon group-focussed; 3) in addition to fields variously present in existing sources (e.g.17,51,52), we provide population discovery dates (date of introduction, first observation and/or first published record) and the location-specific eradication status of taxa; 4) along with record level information sources. These additional data are essential for tracking the success of policy and management interventions for invasive alien species53, and contribute to improved knowledge and understanding of biological invasions in the region. The purpose of this dataset is thus to provide readily accessible, centralized baseline information on the occurrence, discovery, impact, and successful eradication efforts for introduced and invasive alien species across the Antarctic region.
Methods
Geographic coverage
The dataset includes records from continental Antarctica, the maritime Antarctic islands, and the Southern Ocean Islands (Fig. 1). Here, in keeping with previous approaches (e.g.10,12), the Southern Ocean Islands include fifteen islands or archipelagos that straddle the Antarctic Polar Front or, if lying further to the north, are part of a biogeographically coherent grouping by virtue of phylogenetic relatedness of terrestrial species (i.e., the Falklands/Islas Malvinas, South Georgia and the South Sandwich Islands, Bouvetøya, Tristan da Cunha group (including Gough Island), Prince Edward Islands, Crozet Islands, Kerguelen Islands, Heard and McDonald Islands, Île Amsterdam and Île Saint-Paul, Macquarie Island, Auckland Islands, Campbell Island/Motu Ihupuku, Bounty Islands, The Snares/Tini Heke and the Antipodes Islands). The exclusion of the Chilean and Argentinian islands at the southern tip of South America (e.g., Tierra del Fuego and the Diego Ramírez Islands) recognises their closer association with the biodiversity of Patagonia, though noting that the biogeographic classification of islands across the broader Southern Ocean region remains fluid (e.g.54).
Spatial coverage of the data across the Antarctic. Number of alien species records across the Antarctic and Southern Ocean region. Values and point size indicate the total number of unique alien species or other taxon records per locality. Shaded points indicate the proportion of records currently listed as present (extant) at each locality (purple), versus the proportion of records with an uncertain or absent occurrence status in blue. Point sizes are log-scaled and constrained by a minimum size for localities with fewer than five records, for display. Localities without records with a present occurrence status in the dataset listed in grey text.
Population of data fields
Records of 2390 extant and 676 extinct or status-uncertain species or other taxon introduced to Antarctica and the Southern Ocean Islands were collated from a systematic search of the scientific literature (between March 2021 and January 2023). The dataset contains an inventory of alien species records from terrestrial habitats and land-based waterbodies across sites, and information on their occurrence status, date of discovery, and whether there is evidence of an environmental impact at each locality. Lacustrine, intertidal, and synanthropic species only found within buildings were included, and entirely marine species were excluded from the dataset. Introduced taxon records from the earliest available date were included in the dataset, including historical records of alien species that have since failed to establish, species that have been eradicated or removed, and extant alien species (further detail below). Specifically, the data include 30 fields, describing information on taxonomic position, location, occurrence and eradication status, dates of first record or discovery, realised impact evidence and habitat information (Table 1).
The data fields were populated from a systematic search of the scientific and grey literature, including peer-reviewed publications, existing species checklists, and government reports and other documents containing species lists, such as management plans39. For some Antarctic regions and taxa, alien species data have already been compiled (e.g.14,17,42,43). To ensure that search effort was given to each area of the Antarctic region, additional data were collected from a Web of Science search with Boolean strings, using combinations of regional place names and taxonomic groups (Table 2). Titles and abstracts were screened for their relevance to the dataset. Species information on the occurrence status, invasive status, date of first discovery, and eradication status and date (where applicable), were extracted from the literature. The reference lists of relevant publications were also screened for additional sources. Lastly, key publications for the species occurrence data (i.e., references that listed ≥ 10% of the occurrence records per broad taxonomic group) were back-searched in Google Scholar for resources that cited these documents to capture recent additions to the literature.
Information sources used to populate the data fields are recorded in four fields in the dataset (Table 1). Sources used to populate the species name (verbatim), taxon rank, locality, establishment means, and/or occurrence status fields were recorded in the ‘occurrenceReference’ field. Sources used to populate the estimated introduction date, date of first observation, and/or the date of the first published record are recorded in the ‘firstRecordReference’ field. References used to designate the invasive status of a given taxon in a locality were recorded in the ‘invasiveReference’ field, and the eradication status and year sources were recorded in the ‘eradicationReference’ field. Values in these reference fields correspond to the full list of resources used to compile the dataset, provided in the “AntarcticAliens_references.csv” file (n = 384)55.
Taxonomic information
Coverage and inclusion criteria
Alien records from all terrestrial and freshwater taxonomic groups in the Antarctic region were considered in data collection. The most well-known and successful groups in the region include vascular plants, mammals, insects, birds, spiders, annelids, and springtails14,17. Alien species intercepted in transport pathways to the Antarctic region (e.g.56,57), were not considered. There is limited evidence on the occurrence and origin of alien marine species and microorganisms in Antarctica58,59. These groups are therefore not included.
Records were included if they referred to:
-
1.
a taxon that had been introduced (either intentionally or accidentally) into an Antarctic area outside of its native range, including synanthropic species that are only associated with sites influenced by humans (e.g., within research stations in Antarctica),
-
2.
a taxon that has spread to a new area beyond its native range from an adjacent introduced population (secondary introductions), including native Antarctic species that have been introduced to new areas within the region by humans, or,
-
3.
cryptogenic species of unknown biogeographic origin, in other words species that cannot be ascribed as native or introduced at a particular Antarctic locality.
Here, the terms ‘alien’, ‘introduced’, ‘adventive’, ‘non-indigenous’, ‘non-native’ and ‘exotic’ are considered synonymous, and describe all taxa introduced to places outside their native ranges, including vagrants, domestic species, established or naturalised aliens, invasive alien species, and species that were introduced to areas but have since become locally extinct because they failed to establish a self-sustaining population, died out following establishment, or were eradicated.
Harmonisation and normalisation
Species names (or other taxon-level information) are recorded verbatim from the literature in the ‘verbatimIdentification’ field. Taxa are recorded at the most specific taxonomic level (typically species level) provided in the literature (see the ‘taxonRank’ field). For records identified to a genus-level taxonomic rank, the ‘sp.’ suffix was appended to the genus name in the ‘verbatimIdentification’ field.
The Global Biodiversity Information Facility (GBIF) Backbone Taxonomy60 was used to harmonise the taxonomy of records included in the dataset in a reproducible and standardised way. Higher taxonomic classifications (kingdom, phylum, class, order, family) and the currently accepted taxon names and authorities (‘acceptedNameUsage’ field) were matched with the verbatim taxon names extracted from the literature, using the ‘get_gbif_taxonomy’ function in ‘traitdataform’ package (v. 0.6.8)61 in R62. Synonyms and misspelled names were resolved in this process. Over 85% of names in the dataset were matched at 95% or greater confidence (Table 3). Names that were not exactly matched were checked and modified where appropriate. In some cases, these taxa were manually harmonised using the GBIF taxonomy by providing additional information on their authority or higher taxonomy from the literature to the ‘get_gbif_taxonomy’ function. For 26 taxa, it was not possible to harmonise their higher taxonomy using this approach, and their classifications are given as ‘NA’ in the dataset (Table 3).
The accepted name of the taxon, given as a binomial name excluding subspecies and authorship information, is also provided in the ‘species’ field. The suffix ‘sp.’ is appended for genus-level records. For 18 invertebrate taxa, including the well-known alien aphid, Aphis gossypii, the ‘get_gbif_taxonomy’ function did not harmonise the record to species level. In these cases, the ‘species’ information was matched with ‘verbatimIdentification’.
Location information
Location details were standardised and translated during data collection. A field (‘locationID’) was added to match the locality descriptor, and verbatimLocality to provide further detail about the place associated with the occurrence record. Furthermore, higherGeographyID was included to indicate whether localities sit within the Antarctic Treaty Area (i.e., south of 60°S), where the management of non-native species threats is the responsibility of the Consultative Parties to the Antarctic Treaty16,63. North of 60°S, the management of the Southern Ocean Islands falls under the national jurisdictions of the countries that have annexed each island or archipelago24. The ISO 3116-1 Alpha-2 and Alpha-3 country codes are included in the dataset to identify these various governance arrangements and to facilitate dataset integration with other lists2.
Establishment and eradication information
Statements about the occurrence status and establishment means were derived from the literature. All alien taxa were considered introduced unless a source stated that the species has an unknown biogeographic origin and could not be designated as native or introduced to a given locality (i.e., an uncertain establishment means or cryptogenic record), or that the species is a vagrant, casual, transient, non-resident or ephemeral species at a locality (vagrant establishment means)41. Likewise, records of alien species were denoted as ‘present’ (occurrenceStatus), unless sources stated that they are absent from localities, or that their occurrence is uncertain or doubtful.
Information on the eradication status and date of eradication were also extracted from the literature (fields: eradicationStatus, eradicationYear, eradicationReference). Species that are now absent from the area of introduction were categorised as ‘eradicated’ or ‘failed to establish or died out’, depending on the process that caused their extirpation (eradicationStatus). Eradicated records include taxa that have been actively and successfully eradicated or relocated from Antarctic localities. Species that failed to form self-sustaining populations or completely died out after establishing were categorised as ‘failed to establish or died out’. Eradication year is the date the population was determined to be absent from the locality, where available.
Temporal coverage and dates of introduction
Three types of dates were included in the dataset to capture the different ways in which alien species introductions are reported (estimatedIntroductionDate, firstObservationRecord, firstPublishedRecord). Estimated introduction date is the date the taxon was first introduced or thought to have been introduced to a locality, stated explicitly as such in the literature. For records of aliens discovered after they had established, reproduced, or spread, the date provides a ‘first record’ and is assumed to post-date the introduction date64. Dates are recorded in a variety of formats as found in the literature (e.g., “1940s”, “before 1962”, “early nineteenth century”). First observation record is the date that the taxon was first observed in situ, recorded as a year or range of years (with the meaning consistent with that of ‘first record’, sensu65). First published record is the year of the publication first documenting the introduction. There is often a publication lag between when species are first observed, and the record is published.
Habitat and impact information
Species-specific habitat information was extracted from GRIIS5 to facilitate research requiring data integration across sources. This high-level environmental information is equally relevant for the Antarctic context. For taxa not included in the GRIIS dataset, habitat information was sourced from the literature.
The status of an alien species occurrence presence at a locality was designated as invasive following the method used by the Global Register of Introduced and Invasive Species (GRIIS)2,5 and summarised here. Species present at a locality were designated as invasive if any authoritative source described an environmental impact, and/or determined that the taxon is widespread, spreading rapidly, or present in high abundance. Species were also designated as invasive in cases where any authoritative source determined they were invasive at that locality. Records are thus assigned the value ‘yes’ if there is evidence of an invasive impact, ‘no’ if there is evidence that the record has a non-invasive status, and ‘null’ if there is an absence of evidence about the impact, in the ‘isInvasive’ field. Evidence of a non-invasive status may include statements such as ‘synanthropic’, ‘vagrant’, ‘occasional’, ‘few individuals’, ‘rare’, ‘minor impact’, and ‘restricted distribution’. This evidence is based on their reported extent or impact and should be revised when formal impact assessments (e.g.66), are completed (see Usage Notes). Where available, a statement on the occurrence and/or invasive status of species is included in the ‘occurrenceRemarks’ field. For eradicated taxon, the ‘isInvasive’ data refers to their pre-eradication status.
Standards for what constitutes an invasive species impact, widespread distribution, high abundance, and/or rapid spread do not exist in the ecological literature (although high level classification systems do66) and are context- and taxon-dependent67. Species impacts may also change over time, for example, as local population sizes fluctuate. The ‘isInvasive’ status of the records in this dataset therefore reflects information available at the time of publication of the associated impact reference and the content of these publications interpreted as outlined above.
Data summary
There are currently 3066 records of 1204 introduced or cryptogenic taxa in the Antarctic and Southern Ocean Islands dataset. Most records were identified to species (92.5%) or genus (4.2%) level, with the remaining records representing subspecies (2.1%), families (0.6%), varieties (0.4%), subfamilies (<0.1%), groups (<0.1%) or orders (0.1%).
Most records and species are from the Southern Ocean Islands (records: 92.9%, n = 2848; species: 93.4%, n = 1125), with only 7.1% (n = 218) of records and 135 species in the Antarctic Treaty area (Fig. 1). Localities with permanent human settlements, including the Falklands/Islas Malvinas and Tristan da Cunha, have the most non-indigenous species records in the region.
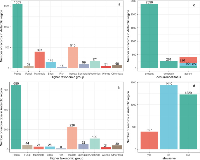
Vascular plants and insects make up the majority of alien species records and unique taxonomic records across the Antarctic region (Fig. 2a,b). Approximately 78% of records refer to extant alien species (occurrenceStatus “present”), with the remaining records representing uncertain records or species that have been eradicated, failed to establish, or died out (Fig. 2c). For establishment means, most records are introduced (94.8%, 2908 records), with only 3.5% of records as vagrant (n = 107) and 1.7% of unknown biogeographic origin (i.e., a cryptogenic or uncertain establishment means, n = 51).
Data records summary. (a) Number of records and (b) unique taxa per major taxonomic group introduced to the Antarctic and Southern Ocean islands. (c) Number of records with a present, uncertain, or absent occurrence status in the Antarctic region. Absent records are partitioned by their eradication status: eradicated (red), failed to establish or died out (blue), or unknown eradication status (green). (d) Number of records per isInvasive status, where “yes” indicates an invasive species, “no” indicates a non-invasive species (e.g., transient, synanthropic, restricted distribution), and “null” indicates an absence of information (i.e., population-level invasion status). Values above bars indicate the number of records or taxa in each group.
At a population level, 12.9% of populations (locality by species records) are considered invasive, 47% of records have non-invasive status (e.g., transient, synanthropic; see occurrenceRemarks), and, for 40.1% of records, there is an absence of evidence of impact in the dataset (Fig. 2d). At a species level, 14.9% of taxa (n = 180) are considered invasive at one or more Antarctic and Southern Ocean Island localities, 54.5% of species have a non-invasive status (n = 656), and for 30.6% of species, there is an absence of evidence of impact (n = 368).
Data Records
The Antarctic and Southern Ocean Islands alien species data are stored in the Figshare data repository55. The main data table is contained in a single comma-separated file (.csv format), entitled ‘AntarcticAliens_dataset.csv’. Each row below the header represents a record of a specific alien species (or other taxon) introduced to a specific location (locality) (n = 3066). Columns contain information on the taxonomic position of species, occurrence status, date of first introduction, habitat, invasive status, and eradication status (if applicable) (n = 30). A list of column names, descriptions and field terms is provided in Table 1. Field names are consistent with Darwin Core49 and GRIIS terms2, where possible, to allow data interoperability50. Additional, non-standard terms describing introduction dates and eradication status provide information on the history of alien species records in the region (Table 1).
The full list of the references referred to in the main data table and their Digital Object Identifiers (DOIs), International Standard Book Numbers (ISBNs), or Uniform Resource Locators (URLs), where applicable, are contained in the single comma-separated file (.csv format), entitled ‘AntarcticAliens_references.csv’. Reference numbers (‘referenceNo’) match to the reference numbers entered in square brackets in the four reference fields in the main dataset (‘occurrenceReference’, ‘firstRecordReference’, ‘invasiveReference’, ‘eradicationReference’). Brackets were used to separate reference numbers, to improve the searchability of these records.
Technical Validation
Where available, multiple independent sources were used to populate the dataset for each record and were cited in the four reference fields (Table 1). Some occurrence records from existing Antarctic datasets (e.g.43), that could not be verified by an independent source were excluded. Taxonomic and habitat data were harmonised using the process described above (see Methods), to standardise data collection and remove duplicated occurrence records from the dataset. During this process, necessary changes were made to correct spelling errors or inconsistencies, consolidate records of synonyms, and standardise the higher taxonomy information. Accepted and verbatim name fields are provided to facilitate ongoing validation and data integration.
Usage Notes
Completeness
The dataset was populated from a systematic literature search between March 2021 and January 2023. In total, 384 sources were used to identify 3066 records of alien species in the region. Fields describing the taxonomy, location, and occurrence status of these records are mostly complete (99.2–100% complete; Fig. 3). Information on the discovery dates (5.8–60.2% complete records for estimatedIntroductionDate, firstObservationRecord and firstPublishedRecord fields), invasive status (60.7%) and eradication status (79.5%) and year (57.6%) are less complete in the current version of the dataset and will be the focus of ongoing dataset revisions. These gaps may be due, in part, to a lack of information about these fields in the literature, particularly for the date of accidental or secondary introduction events, or the date when alien populations died out in the area of introduction. In addition, primary reasons for records of alien species potentially not captured in the literature search include: 1) a time lag between when species are first observed or eradicated and when these events are documented in the literature, 2) language barriers to data collection using a scientific literature review method, 3) the misclassification of taxa in particular sites as native, 4) literature that is not widely cross-referenced, or, 5) under-reporting of introductions or translocations at stations associated with food or cargo imports68, including synanthropic aliens.
Dataset completeness. Percentage of records with data available for each field in the Antarctic and Southern Ocean Islands alien species dataset. Values above the bars indicate the percentage completeness for each field. For the eradication status, year and reference fields, completeness is the percentage of records with an ‘absent’ occurrence status with data available in these fields.
The location of most Southern Ocean Island records in the dataset is recorded at an island scale (‘locationRemarks’, e.g., East Falkland Island). For some records, it was not possible to identify which island or islands in an archipelago or region were relevant, and their locations are only provided at regional scale (‘locality’, e.g., Falklands/Islas Malvinas). Additional information on these alien species distributions could be added to the dataset to increase the spatial resolution of these records. The size of the localities in the dataset, and therefore the spatial resolution of the records, varies considerably across the region (e.g., Grand Terre Island >6500 km2 vs. Hallett Station <1 km2). Similarly, dogs (Canis familiaris) were extensively introduced to Antarctica between 1899 and 199414. The number of these records for the continent (area south of 60°S) in the current version of the dataset under-represents the spatial extent of these introductions.
Uncertainties and operability
This dataset is intended to be an updateable, versioned repository for information on the occurrence and status of alien species in the Antarctic region. Common to all alien species lists69, there are knowledge gaps and uncertainties in the Antarctic and Southern Ocean Islands alien species dataset. Alien species invasions are spatially and temporally dynamic processes that require regular surveillance and surveys to maintain current species lists and monitor the establishment, spread, and impact of aliens. Alien species checklists become out-of-date as soon as new species are introduced or detected, or the known distribution or environmental impact of extant alien species changes (whether due to their success or failure, or additional research)5. Taxonomic revisions and the re-examination of records may also update alien species identities, change higher taxonomic classifications, or correct misidentified specimens or incorrectly synonymised records.
This spatially and temporally specific dataset can be used to: 1) assess the status and changes in the introduction and invasion across the region, 2) identify gaps in taxonomic, distribution, or invasive status data to prioritise research and surveillance efforts, 3) assess the coverage of eradication programs, 4) identify invasion risks from neighbouring localities across the region, and 5) provide evidence to support policy decisions and reporting on biodiversity threats and management actions.
If the end-user intends to assess spatial or taxonomic patterns in Antarctic introductions, they should be aware of possible sources of bias in the dataset. First, in spatially explicit biodiversity datasets, there is often bias in the localities of records due to greater research or survey efforts in certain places, depending on factors such as accessibility, level of management, research priorities, availability of biological expertise, or places or species of interest or impact69. Bias also occurs where the level of research interest or taxonomic expertise differs across groups (e.g., records of Fungi in the dataset are predominantly from the Falklands/Islas Malvinas; whereas the most recent systematic reviews of spiders and mites across the region were published several decades ago45,46).
The purpose and extent of historical and contemporary human activity varies substantially across the Antarctic region. Several Southern Ocean Islands, including the Falkland Islands/Islas Malvinas and Tristan da Cunha, have permanent human settlements, agriculture, and industry. Other islands have historically been occupied by pastoral settlements (e.g., Île Amsterdam, Kerguelen Islands, Auckland Islands, Campbell Island) and onshore sealing and whaling operations (e.g., South Georgia, Marion Island, Kerguelen Islands, Macquarie Island, and the South Shetland Islands)14. In these places, alien propagule pressure may be high due to their connectivity with global trade and travel networks. Furthermore, some alien introductions, such as ornamental plants, pets, and species of agricultural importance (e.g., forestry trials), may not be well documented on alien checklists because of their perceived social or economic value at the time of introduction.
In contrast, access to some Southern Ocean Islands (e.g., Prince Edward Island, Heard and McDonald Islands, Judge and Clerk Islands, and Bishop and Clerk Islets) is highly restricted. Some Antarctic island localities are simply inaccessible (e.g., Bouvetøya, Scott Island, Balleny Islands). These islands may experience a lower alien propagule pressure; however, biological surveys are also less frequent, and some introductions may not have been detected. Lastly, due to the various governance arrangements for Antarctica and the Southern Ocean Islands, policies and practices on biosecurity, and alien species monitoring and control, vary across the region24. These differences mean that some Antarctic localities, particularly on the continent, are more likely to have complete information on alien introductions than other regions, creating a potential geographic bias in the completeness of the dataset that needs to be considered when conclusions are drawn about spatial patterns of invasion from this dataset.
The field ‘occurrenceStatus’ should always be read in conjunction with the field ‘eradicationStatus’ for any assessments of current levels of invasion at localities in the region. The dataset includes information on introduction dates in three formats: estimated introduction date, year of first observation, and first published record (Table 1). While records in these fields are incomplete (data available for 5.8–60.2% records), 67.7% of records have at least one introduction date available, and 35.6% of records have two or more dates available.
The existence of particular taxonomic and geographic gaps in invasive alien species knowledge are widely appreciated, both for the Antarctic and elsewhere69, and a subject of the current assessment of invasive alien species by the Intergovernmental Science-Policy Platform on Biodiversity and Ecosystem Services (https://www.ipbes.net/invasive-alien-species-assessment). Ongoing collaborative and coordinated efforts amongst nations and researchers will be necessary to address them. With the publication of these data, a number of avenues for communicating and updating the information become possible, including through the Antarctic Biodiversity Portal (biodiversity.aq), and linking it with the Global Register of Introduced and Invasive Species2,5.
Code availability
No custom code was used to generate or process the data presented in this manuscript.
References
Dyer, E. E., Redding, D. W. & Blackburn, T. M. The global avian invasions atlas, a database of alien bird distributions worldwide. Sci. Data 4, 170041 (2017).
Pagad, S., Genovesi, P., Carnevali, L., Schigel, D. & McGeoch, M. A. Introducing the global register of introduced and invasive species. Sci. Data 5, 170202 (2018).
Henniges, M. C. et al. A taxonomic, genetic and ecological data resource for the vascular plants of Britain and Ireland. Sci. Data 9, 1 (2022).
Latombe, G. et al. A vision for global monitoring of biological invasions. Biol. Conserv. 213, 295–308 (2017).
Pagad, S. et al. Country compendium of the global register of introduced and invasive species. Sci. Data 9, 391 (2022).
Tedesco, P. A. et al. A global database on freshwater fish species occurrence in drainage basins. Sci. Data 4, 170141 (2017).
Saul, B. & Stephens, T. Antarctica in International Law (Hart Publishing, 2015).
Chown, S. L. et al. Antarctica and the strategic plan for biodiversity. PLoS Biology 15, e2001656 (2017).
Terauds, A. et al. Conservation biogeography of the Antarctic. Divers. Distrib. 18, 726–741 (2012).
Udvardy, M. D. F. The biogeographical realm Antarctica: A proposal. J. R. Soc. N.Z. 17, 187–194 (1987).
SCAR. Articles of Association of Scientific Committee on Antarctic Research (Scientific Committee on Antarctic Research, 2021).
Chown, S. L., Gremmen, N. J. M. & Gaston, K. J. Ecological biogeography of Southern Ocean Islands: Species-area relationships, human impacts, and conservation. Am. Nat. 152, 562–575 (1998).
Armstrong, P. H. Human impact on the Falkland Islands environment. Environmentalist 14, 215–231 (1994).
Headland, R. K. History of exotic terrestrial mammals in Antarctic regions. Polar Rec. 48, 123–144 (2012).
Hughes, K. A., Pertierra, L. R., Molina-Montenegro, M. A. & Convey, P. Biological invasions in terrestrial Antarctica: what is the current status and can we respond? Biodivers. Conserv. 24, 1031–1055 (2015).
Secretariat of the Antarctic Treaty. Protocol on Environmental Protection to the Antarctic Treaty https://www.ats.aq/e/protocol.html (Antarctic Treaty Secretariat, 1991).
Frenot, Y. et al. Biological invasions in the Antarctic: extent, impacts and implications. Biol. Rev. 80, 45–72 (2005).
McClelland, G. T. et al. Climate change leads to increasing population density and impacts of a key island invader. Ecol. Appl. 28, 212–224 (2018).
Jones, C. W., Risi, M. M., Cleeland, J. & Ryan, P. G. First evidence of mouse attacks on adult albatrosses and petrels breeding on sub-Antarctic Marion and Gough Islands. Polar Biol. 42, 619–623 (2019).
Barbraud, C. et al. Seabird population changes following mammal eradication at oceanic Saint-Paul Island, Indian Ocean. J. Nat. Conserv. 63, 126049 (2021).
Convey, P. & Lebouvier, M. Environmental change and human impacts on terrestrial ecosystems of the sub-Antarctic islands between their discovery and the mid-twentieth century. Pap. Proc. Royal Soc. Tasmania 143, 33–44 (2009).
Leader-Williams, N., Smith, R. L. & Rothery, P. Influence of introduced reindeer on the vegetation of South Georgia: results from a long-term exclusion experiment. J. Appl. Ecol. 24, 801–822 (1987).
Gremmen, N. J. M., Chown, S. L. & Marshall, D. J. Impact of the introduced grass Agrostis stolonifera on vegetation and soil fauna communities at Marion Island, sub-Antarctic. Biol. Conserv. 85, 223–231 (1998).
de Villiers, M. S. et al. Conservation management at Southern Ocean Islands: towards the development of best-practice guidelines. Polarforschung 75, 113–131 (2006).
Bester, M. N. et al. A review of the successful eradication of feral cats from sub-Antarctic Marion Island, Southern Indian Ocean. S. Afr. J. Wildl. Res. 32, 65–73 (2002).
Lebouvier, M. & Frenot, Y. Conservation and management in the French sub-Antarctic islands and surrounding seas. Pap. Proc. Royal Soc. Tasmania 141, 23–28 (2007).
Springer, K. Methodology and challenges of a complex multi-species eradication in the sub-Antarctic and immediate effects of invasive species removal. N. Z. J. Ecol. 40, 273–278 (2016).
McCarthy, A. H., Peck, L. S. & Aldridge, D. C. Ship traffic connects Antarctica’s fragile coasts to worldwide ecosystems. PNAS 119, e2110303118 (2022).
Duffy, G. A. et al. Barriers to globally invasive species are weakening across the Antarctic. Divers. Distrib. 23, 982–996 (2017).
Hughes, K. A. et al. Invasive non‐native species likely to threaten biodiversity and ecosystems in the Antarctic Peninsula region. Glob. Change Biol. 26, 2702–2716 (2020).
Holland, O., Shaw, J., Stark, J. S. & Wilson, K. A. Hull fouling marine invasive species pose a very low, but plausible, risk of introduction to East Antarctica in climate change scenarios. Divers. Distrib. 27, 973–988 (2021).
Convey, P. & Peck, L. S. Antarctic environmental change and biological responses. Sci. Adv. 11, eaaz0888 (2019).
Barbraud, C. et al. Predation by feral cats threatens great albatrosses. Biol. Invasions 23, 2389–2405 (2021).
Antarctic Treaty Consultative Meeting. Final Report of the Forty-fourth Antarctic Treaty Consultative Meeting. Berlin, Germany, 23 May – 2 June 2022 (Secretariat of the Antarctic Treaty, 2022).
Antarctic Treaty Consultative Meeting. Final Report of the Thirty-fourth Antarctic Treaty Consultative Meeting. Buenos Aires, Argentina, 20 June – 1 July 2011 (Secretariat of the Antarctic Treaty, 2011).
Committee for Environmental Protection (CEP). Non-Native Species Manual (Secretariat of the Antarctic Treaty, 2019).
Centre for Excellence for Invasion Biology (CIB). Prince Edward Islands Environmental Management Plan (DST-NRF Centre of Excellence for Invasion Biology, Stellenbosch University, 2010).
Commonwealth of Australia. Heard Island and McDonald Islands Marine Reserve Management Plan 2014–2024 (Department of the Environment, 2014).
Terres Australes et Antarctiques Françaises (TAAF). Plan de gestion 2018-2027 de la réserve naturelle nationale des Terres australes françaises (TAAF, 2017).
Wilkinson, M. D. et al. The FAIR Guiding Principles for scientific data management and stewardship. Sci. Data 3, 160018 (2016).
Groom, Q. et al. Improving Darwin Core for research and management of alien species. Biodivers. Info. Sci. Stand. 3, e38084 (2019).
Pertierra, L. R. et al. Can classic biological invasion hypotheses be applied to reported cases of non-native terrestrial species in the Maritime Antarctic? Antarct. Sci. 34, 226–245 (2022).
Chown, S. L. & Convey, P. Antarctic entomology. Annu. Rev. Entomol. 61, 119–137 (2016).
Baird, H. P., Janion‐Scheepers, C., Stevens, M. I., Leihy, R. I. & Chown, S. L. The ecological biogeography of indigenous and introduced Antarctic springtails. J. Biogeogr. 46, 1959–1973 (2019).
Pugh, P. J. A. Biogeography of spiders (Araneae: Arachnida) on the islands of the Southern Ocean. J. Nat. Hist. 38, 1461–1487 (2004).
Pugh, P. J. A. Non-indigenous Acari of Antarctica and the sub-Antarctic islands. Zool. J. Linn. Soc. 110, 207–217 (1994).
Dartnall, H. J. G. The freshwater fauna of the South Polar region: A 140-year review. Pap. Proc. Royal Soc. Tasmania 151, 19–57 (2017).
Greve, M., Steyn, C., Mathakutha, R. & Chown, S. L. Terrestrial invasions on sub-Antarctic Marion and Prince Edward Islands. Bothalia-African Biodivers. Conserv. 47, 1–21 (2017).
Wieczorek, J. et al. Darwin Core: an evolving community-developed biodiversity data standard. PloS one 7, e29715 (2012).
Groom, Q. J. et al. Seven recommendations to make your invasive alien species data more useful. Front. Appl. Math. Stat. 3, 13 (2017).
James, R., Floyd, K., Pagad, S. & Wong, L. J. Register of Introduced and Invasive Species – South Georgia and the South Sandwich Islands. Version 1.4. Invasive Species Specialist Group ISSG. Global Biodiversity Information Facility https://doi.org/10.15468/n76oxt (2020).
Pagad, S. & Wong, L. J. Global Register of Introduced and Invasive Species – Tristan da Cunha, Saint Helena, Ascension and Tristan da Cunha. Version 1.3. Invasive Species Specialist Group ISSG. Global Biodiversity Information Facility https://doi.org/10.15468/30wm6u (2022).
Vicente, J. R. et al. Existing indicators do not adequately monitor progress toward meeting invasive alien species targets. Conserv. Lett. 15, e12918 (2022).
Morrone, J. J. & Ebach, M. C. Toward a terrestrial biogeographical regionalisation of the world: historical notes, characterisation and area nomenclature. Aust. Syst. Bot. 35, 187–224 (2022).
Leihy, R. I., Peake, L., Clarke, D. A., Chown, S. L. & McGeoch, M. A. Introduced and invasive alien species of Antarctica and the Southern Ocean Islands. figshare https://doi.org/10.6084/m9.figshare.22056647 (2023).
Osyczka, P. Alien lichens unintentionally transported to the “Arctowski” station (South Shetlands, Antarctica). Polar Biol. 33, 1067–1073 (2010).
Newman, J., Poirot, C., Roper-Gee, R., Leihy, R. I. & Chown, S. L. A decade of invertebrate colonization pressure on Scott Base in the Ross Sea region. Biolog. Invasions 20, 2623–2633 (2018).
Cowan, D. A. et al. Non-indigenous microorganisms in the Antarctic: assessing the risks. Trends Microbiol. 19, 540–548 (2011).
McCarthy, A. H., Peck, L. S., Hughes, K. A. & Aldridge, D. C. Antarctica: The final frontier for marine biological invasions. Glob. Change Biol. 25, 2221–2241 (2019).
GBIF Secretariat. GBIF Backbone Taxonomy. Global Biodiversity Information Facility https://doi.org/10.15468/39omei (2021).
Schneider, F. D. traitdataform - harmonizing ecological trait data in R, ver. 0.6.8. Zenodo https://doi.org/10.5281/zenodo.1489527 (2022).
R Core Team. R: A language and environment for statistical computing (R Foundation for Statistical Computing, 2022).
Secretariat of the Antarctic Treaty. The Antarctic Treaty https://documents.ats.aq/recatt/att005_e.pdf (Antarctic Treaty Secretariat, 1959).
Seebens, H. et al. Global rise in emerging alien species results from increased accessibility of new source pools. PNAS 115, E2264–E2273 (2018).
Seebens, H. et al. A workflow for standardising and integrating alien species distribution data. Neobiota 59, 39–59 (2020).
Kumschick, S. et al. Appropriate uses of EICAT protocol, data and classifications. NeoBiota 62, 193–212 (2020).
Crystal-Ornelas, R. & Lockwood, J. L. The ‘known unknowns’ of invasive species impact measurement. Biolog. Invasions 22, 1513–1525 (2020).
Hughes, K. A. et al. Human-mediated dispersal of terrestrial species between Antarctic biogeographic regions: a preliminary risk assessment. J. Environ. Manage. 232, 73–89 (2019).
McGeoch, M. A., Spear, D., Kleynhans, E. J. & Marais, E. Uncertainty in invasive alien species listing. Ecol. Appl. 22, 959–971 (2012).
Acknowledgements
This work was supported by ARC SRIEAS Grant SR200100005 Securing Antarctica’s Environmental Future. We thank Stewart Bisset for data support.
Author information
Authors and Affiliations
Contributions
R.I.L. led the data collection and entry and the writing of the manuscript. L.P. contributed to data collection and entry, led the taxonomic harmonisation, and contributed to the writing of the manuscript. D.A.C. contributed to data collection and the writing of the manuscript. S.L.C. provided technical advice on the design of the dataset, and contributed to data collection and the writing of the manuscript. M.A.M. provided technical advice on, and staffing support for the design and population of the dataset and co-wrote the manuscript.
Corresponding author
Ethics declarations
Competing interests
The authors declare no competing interests.
Additional information
Publisher’s note Springer Nature remains neutral with regard to jurisdictional claims in published maps and institutional affiliations.
Rights and permissions
Open Access This article is licensed under a Creative Commons Attribution 4.0 International License, which permits use, sharing, adaptation, distribution and reproduction in any medium or format, as long as you give appropriate credit to the original author(s) and the source, provide a link to the Creative Commons license, and indicate if changes were made. The images or other third party material in this article are included in the article’s Creative Commons license, unless indicated otherwise in a credit line to the material. If material is not included in the article’s Creative Commons license and your intended use is not permitted by statutory regulation or exceeds the permitted use, you will need to obtain permission directly from the copyright holder. To view a copy of this license, visit http://creativecommons.org/licenses/by/4.0/.
About this article
Cite this article
Leihy, R.I., Peake, L., Clarke, D.A. et al. Introduced and invasive alien species of Antarctica and the Southern Ocean Islands. Sci Data 10, 200 (2023). https://doi.org/10.1038/s41597-023-02113-2
Received:
Accepted:
Published:
DOI: https://doi.org/10.1038/s41597-023-02113-2
This article is cited by
-
Unmasking Antarctica’s biodiversity
Nature Geoscience (2024)





