Abstract
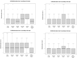
Several previous studies on YouTubeTM information on medical topics have already been published. The current study aimed to evaluate the quality information of YouTubeTM videos on Phosphodiesterase 5 inhibitors (PDE5-is). A systematic search on YouTube™ was conducted using 30 keyword combinations. For each keyword’s combination, the first 50 videos were recorded. The quality of videos on YouTube™ was assessed with Patient Education Materials Assessment Tool for audio‐visual content (PEMAT A/V), DISCERN score and a specified created Misinformation tool. According to the selection criteria, 229 YouTube™ videos were suitable for the analyses. Videos were stratified according to the five main identified topics: sildenafil [n = 98; 42.79%] vs tadalafil [n = 50; 21.83%] vs vardenafil [n = 44;19.21%] vs avanafil [n = 17; 7.42%] vs PDE5-is in general [n = 20; 8.73%]. The median overall PEMAT A/V Understandability score and Actionability score were 55% (interquartile range [IQR]: 42–75) and 0% (IQR = 0–67), respectively. Specifically, according to our stratification, YouTube Videos on avanafil reached higher values of both Understandability and Actionability (72.7% and 66.7, respectively) in contrast to other categories. According to DISCERN tool, the total overall median score was 29.5 (IQR = 18–41). According to Misinformation scale, the item 1 (‘sexual stimulation’) harboured an overall median score of 2 (IQR = 1–2); the item 2 (‘side effects’) an overall median score of 2 (IQR = 1–3); the item 3 (‘treatment choices’) an overall median score of 1 (IQR = 1–2); the item 4 (‘contraindications’) an overall median score of 2 (IQR = 1–2). YouTube™ is a fast and open-access source for mass information. The overall quality of the PDE5-is contents provided is sadly unsatisfactory. Nowadays, YouTube™ cannot be recommended as a reliable source of information on PDE5-is.
This is a preview of subscription content, access via your institution
Access options
Subscribe to this journal
Receive 12 print issues and online access
$259.00 per year
only $21.58 per issue
Buy this article
- Purchase on SpringerLink
- Instant access to the full article PDF.
USD 39.95
Prices may be subject to local taxes which are calculated during checkout



Similar content being viewed by others
Data availability
Data and materials are available from the corresponding authors under reasonable request.
Code availability
Code is available from the corresponding authors under reasonable request.
References
Salonia A, Bettocchi C, Boeri L, Capogrosso P, Carvalho J, Cilesiz NC, et al. European Association of Urology Guidelines on Sexual and Reproductive Health-2021 Update: Male Sexual Dysfunction. Eur Urol. 2021;80:333–57.
EMA. European Medicines Agency. European Medicines Agency. https://www.ema.europa.eu/en. Accessed April 16, 2023.
Mirone V, Gentile V, Zizzo G, Terry M, Longo N, Fusco F, et al. Did men with erectile dysfunction discuss their condition with partner and physicians? A survey of men attending a free call information service. Int J Impot Res. 2002;14:256–8.
Lafortune D, Girard M, Dussault É, Philibert M, Hébert M, Boislard MA, et al. Who seeks sex therapy? Sexual dysfunction prevalence and correlates, and help-seeking among clinical and community samples. PLoS One. 2023;18:e0282618.
Capogrosso P, Ventimiglia E, Boeri L, Cazzaniga W, Chierigo F, Pederzoli F, et al. Age at first presentation for erectile dysfunction: analysis of changes over a 12-yr period. Eur Urol Focus. 2019;5:899–905.
Feldman HA, Goldstein I, Hatzichristou DG, Krane RJ, McKinlay JB. Impotence and its medical and psychosocial correlates: results of the Massachusetts Male Aging Study. J Urol. 1994;151:54–61.
Braun M, Wassmer G, Klotz T, Reifenrath B, Mathers M, Engelmann U. Epidemiology of erectile dysfunction: results of the “Cologne Male Survey”. Int J Impot Res. 2000;12:305–11.
Johannes CB, Araujo AB, Feldman HA, Derby CA, Kleinman KP, McKinlay JB. Incidence of erectile dysfunction in men 40 to 69 years old: longitudinal results from the Massachusetts male aging study. J Urol. 2000;163:460–3.
Schouten BWV, Bosch JLHR, Bernsen RMD, Blanker MH, Thomas S, Bohnen AM. Incidence rates of erectile dysfunction in the Dutch general population. Effects of definition, clinical relevance and duration of follow-up in the Krimpen Study. Int J Impot Res. 2005;17:58–62.
Attia AAA, Abdel-Hameed AKS, Amer MAEM, Mamdouh H, GamalEl Din SF. El-Moslemany HEDGM. Study of the prevalence and patterns of phosphodiesterase type 5 inhibitor use among sexually active Egyptian males: a national cross-sectional survey. Andrologia. 2019;51:e13364.
Tyrawski J, DeAndrea DC. Pharmaceutical companies and their drugs on social media: a content analysis of drug information on popular social media sites. J Med Internet Res. 2015;17:e130.
Bujnowska-Fedak MM, Waligóra J, Mastalerz-Migas A. The internet as a source of health information and services. Adv Exp Med Biol. 2019;1211:1–16.
Mirone V, Abate M, Fusco GM, Cirillo L, Napolitano L, Morra S, et al. Telemedicine and YouTubeTM: video quality analysis before and after COVID-19 pandemic. Arch Ital Urol Androl. 2023;95:11341.
Gul M, Diri MA. YouTube as a source of information about premature ejaculation treatment. J Sex Med. 2019;16:1734–40.
Toprak T, Yilmaz M, Ramazanoglu MA, Verit A, Schlager D, Miernik A. YouTube is inadequate as an information source on delayed ejaculation. Int J Impot Res. 2022;35:392–7.
Baydilli N, Selvi I. Is social media reliable as a source of information on Peyronie’s disease treatment? Int J Impot Res. 2022;34:295–301.
Morra S, Napolitano L, Collà Ruvolo C, Celentano G, La Rocca R, Capece M, et al. Could YouTubeTM encourage men on prostate checks? A contemporary analysis. Arch Ital Urol Androl. 2022;94:285–90.
Capece M, Di Giovanni A, Cirigliano L, Napolitano L, La Rocca R, Creta M, et al. YouTube as a source of information on penile prosthesis. Andrologia. 2022;54:e14246.
Shoemaker SJ, Wolf MS, Brach C. Development of the Patient Education Materials Assessment Tool (PEMAT): a new measure of understandability and actionability for print and audiovisual patient information. Patient Educ Couns. 2014;96:395–403.
DISCERN – The DISCERN Instrument. http://www.discern.org.uk/discern_instrument.php. Accessed April 16, 2023.
Burnett AL, Nehra A, Breau RH, Culkin DJ, Faraday MM, Hakim LS, et al. Erectile dysfunction: AUA Guideline. J Urol. 2018;200:633–41.
Landis JR, Koch GG. The measurement of observer agreement for categorical data. Biometrics. 1977;33:159–74.
McHugh ML. Interrater reliability: the kappa statistic. Biochem Med. 2012;22:276–82.
Goldstein I, Lue TF, Padma-Nathan H, Rosen RC, Steers WD, Wicker PA. Oral sildenafil in the treatment of erectile dysfunction. Sildenafil Study Group. N Engl J Med. 1998;338:1397–404.
Bechara A, Casabé A, De Bonis W, Helien A, Bertolino MV. Recreational use of phosphodiesterase type 5 inhibitors by healthy young men. J Sex Med. 2010;7:3736–42.
Aldridge J, Measham F. Sildenafil (Viagra) is used as a recreational drug in England. BMJ. 1999;318:669.
Seidu S, Cebrián A, Kunutsor SK, Khunti K. Erectile dysfunction, phosphodiesterase-5 inhibitor use and risk of cardiovascular disease and mortality in people with diabetes: a systematic review and meta-analysis. Prim Care Diabetes. 2022;16:601–13.
Cilio S, Pozzi E, Fallara G, Belladelli F, Corsini C, d’Arma A, et al. Premature ejaculation among men with erectile dysfunction-findings from a real-life cross-sectional study. Int J Impot Res. 2022. https://doi.org/10.1038/s41443-022-00601-4. Epub ahead of print.
Pozzi E, Capogrosso P, Boeri L, Cazzaniga W, Matloob R, Ventimiglia E, et al. Trends in reported male sexual dysfunction over the past decade: an evolving landscape. Int J Impot Res. 2021;33:596–602.
Cilio S, Collà Ruvolo C, Turco C, Creta M, Capece M, La Rocca R, et al. Analysis of quality information provided by “Dr. YouTubeTM” on Phimosis. Int J Impot Res. 2023;35:398–403.
Turco C, Collà Ruvolo C, Cilio S, Celentano G, Califano G, Creta M, et al. Looking for cystoscopy on YouTube: are videos a reliable information tool for internet users? Arch Ital Urol Androl. 2022;94:57–61.
Melchionna A, Collà Ruvolo C, Capece M, La Rocca R, Celentano G, Califano G, et al. Testicular pain and YouTubeTM: are uploaded videos a reliable source to get information? Int J Impot Res. 2023;35:140–6.
Di Bello F, Collà Ruvolo C, Cilio S, La Rocca R, Capece M, Creta M, et al. Testicular cancer and YouTube: what do you expect from a social media platform? Int J Urol J. 2022;29:685–91.
Author information
Authors and Affiliations
Contributions
Conception and design of the study: GP, SC, CCR, MCr, RLR, GCal. Data acquisition: GP, AF, EDM, FP. Analysis and interpretation of data: CCR, SM, MCap. Drafting the manuscript: FDB, AP, CI. Style revision: GCel, NL. All authors revised the manuscript and read and approved the version submitted.
Corresponding author
Ethics declarations
Competing interests
The authors declare no competing interests.
Additional information
Publisher’s note Springer Nature remains neutral with regard to jurisdictional claims in published maps and institutional affiliations.
Supplementary information
Rights and permissions
Springer Nature or its licensor (e.g. a society or other partner) holds exclusive rights to this article under a publishing agreement with the author(s) or other rightsholder(s); author self-archiving of the accepted manuscript version of this article is solely governed by the terms of such publishing agreement and applicable law.
About this article
Cite this article
Pezone, G., Collà Ruvolo, C., Cilio, S. et al. The spreading information of YouTube videos on Phosphodiesterase 5 inhibitors: a worrisome picture from one of the most consulted internet source. Int J Impot Res 36, 747–754 (2024). https://doi.org/10.1038/s41443-023-00762-w
Received:
Revised:
Accepted:
Published:
Version of record:
Issue date:
DOI: https://doi.org/10.1038/s41443-023-00762-w
This article is cited by
-
Social Media and Men’s Health: Separating Science from Speculation in Andrology
Basic and Clinical Andrology (2025)
-
YouTube as a source of information on retrograde ejaculation: insights into content reliability
International Journal of Impotence Research (2025)
-
Post-finasteride syndrome - a true clinical entity?
International Journal of Impotence Research (2025)
-
Comment on “Patients’ perspectives on informational needs surrounding gender affirming vaginoplasty”
International Journal of Impotence Research (2024)


