Abstract
Cubic (space group: Fm
m) iridium phosphide, Ir2P, has been synthesized at high pressure and high temperature. Angle-dispersive synchrotron X-ray diffraction measurements on Ir2P powder using a diamond-anvil cell at room temperature and high pressures (up to 40.6 GPa) yielded a bulk modulus of B0 = 306(6) GPa and its pressure derivative B0′ = 6.4(5). Such a high bulk modulus attributed to the short and strongly covalent Ir-P bonds as revealed by first – principles calculations and three-dimensionally distributed [IrP4] tetrahedron network. Indentation testing on a well–sintered polycrystalline sample yielded the hardness of 11.8(4) GPa. Relatively low shear modulus of ~64 GPa from theoretical calculations suggests a complicated overall bonding in Ir2P with metallic, ionic and covalent characteristics. In addition, a spin glass behavior is indicated by magnetic susceptibility measurements.
Introduction
Understanding the physical properties of hard materials continues to be a motivating and active area of research1,2. Compounds between transition metals and low-Z elements (IIIA-VIA) have attracted considerable interests during the last two decades. Recently transition-metal borides (WB4, ReB2, CrB4, CrB, IrB1.35), nitrides (IrN2, OsN2, WxNy, CrN) and carbides (Re2C, PtC) have been investigated for their high bulk modulus and hardness3,4,5,6,7,8,9,10,11,12,13,14,15,16,17,18,19,20,21,22,23. However, transition-metal phosphides have received minimum attention up to date. The bonding scheme in this group can be analogous to that of their boride counterparts24,25. While the latter is characterized by sharing metal-metalloid (M-P) bonds with a strong covalent component, transition metal phosphides have strong and highly metalloid-metalloid (P-P) bonds. When compared with the bonds observed in metal nitrides and carbides, these P-P bonds are even stronger25. Moreover, a large number of transition-metal phosphides have been reported with varying compositions and crystal structures and rich physical properties such as catalytic functions, high hardness, thermoelectric effect, magnetism and luminescence25,26,27,28,29,30,31,32.
A few studies have been conducted on iridium phosphide (Ir2P) for its synthesis routes and crystal structure. The compound was first reported in 193533,34. Zumbusch et al. assigned the anti-fluorite structure for Ir2P35. Rundqvist et al. established the compositional systematics of platinum-metal phosphides and further examined the crystal structure of Ir2P with single-crystal diffraction method33. Raub et al. reported Ir2P exhibited a metallic behavior36. Sweeney et al. explored the feasibility of reductive hydrogen annealing of metal phosphates as a synthesis pathway to phosphides32. However, there are no literature data on the elastic and deformation properties of Ir2P because it is difficult to synthesize Ir2P at ambient pressure. Systematic studies of elastic properties and hardness of Ir2P are important to understanding the platinum phosphides as a group and finding potential pathway for their practical applications. In this work, Ir2P was synthesized at high pressure (P) and high temperature (T) and subsequently investigated for its hardness and elastic, electronic and magnetic properties via measurements of in-situ high – P synchrotron x-ray diffraction, micro-hardness indentation and low – T magnetic susceptibility. First – principles calculations were also carried out to explore the relationship between electronic and elastic properties of the titled material.
Results and Discussion
At ambient conditions, Ir2P adopts a CaF2-type structure with a space group of Fm
m32,33,34,35. As shown in Fig. 1a, each iridium atom is surrounded by four phosphor atoms and [IrP4] tetrahedrons are edge – sharing and form a 3D network. The refined cation-anion bond length is 2.40 Å and the cation–cation bond length is 2.77 Å.
(a) The crystal structure of cubic Ir2P; (b) at room temperature, representative high-pressure x-ray diffraction patterns of Ir2P synthesized at 15 GPa/1800 °C; (c) the volume-pressure data fitted to the 3rd order BM-EoS from experiment and calculation. Filled circles represent the experimental data points; The solid line is the EoS fit to experimental data; The dash and dash-dot lines represent the results from LDA and GGA, respectively. Error bars for all experimental data points are smaller than the size of the symbols.
To study the phase stability and compressibility of cubic Ir2P, synchrotron powder x-ray diffraction experiment was performed in a symmetric diamond anvil cell (DAC) up to 40.6 GPa at room temperature. Figure 1b shows the representative diffraction patterns as a function of pressure. A small amount of metal Ir impurity was detected in the diffraction patterns. No pressure-induced phase transition was observed, suggesting the cubic Ir2P is stable in the pressure range of investigation under experimental conditions. By fitting the compression data to a second and third-order Birch-Murnaghan equations of state (BM-EoS), we obtained bulk modulus B0 = 334(2) GPa with B0′ = 4 (fixed) and B0 = 306(6) GPa and B0′ = 6.4(5), respectively. Bulk modulus values from first – principles calculations (see Methods), B0 = 320 GPa with B0′ = 5.0 from generalized gradient approximation (GGA) and B0 = 342 GPa with B0′ = 5.0 from local density approximation (LDA) (Table 1), are consistent with the experimental results. Iridium is the second least compressible noble metal (next only to osmium)37. The short Ir-P bonds and presence of Ir atoms having a high density of valence electrons play key roles in limiting the lattice compression (i.e., high bulk modulus) since it is extremely difficult to shorten the distances among these atoms due to the rapidly increasing repulsive forces9.
Vickers hardness measurements were carried out on the polished surface of chunky Ir2P samples. Figure 2 shows the dependence of hardness on loading force. A hardness of 11.8 (4) GPa under a loading force of 9.8 N suggests Ir2P is considerably harder than hardened steel and some monoborides such as OsB (10.6 GPa) and RuB (8 GPa) (Table 1)4 and comparable to some ceramics (e.g., ZrO2)38 and WC-Co alloys in the hard regime. The hardness of Ir2P is also similar to that of Re2P (Table 1)21.
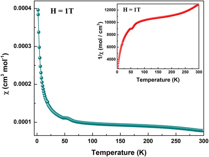
Magnetic susceptibility measurements for Ir2P were performed in the temperature range of 2–300 K under a magnetic field of 1 T. Figure 3 shows the temperature dependent susceptibility. The kink at ~50 K in susceptibility revealed the possible transition of magnetic state. Moreover, the violation of Curie-Weiss law and the negative Curie-Weiss temperature (inset of Fig. 3) indicated that the spin glass behavior existed in an antiferromagnetic interaction background.
To correlate the chemical bonding and mechanical properties, we have performed first – principles calculations based on the density functional theory (DFT) using the CASTEP code with a PBE and CA-PZ exchange-correlation functional form of the GGA and LDA, respectively39. As shown in the calculated band structure at ambient conditions (Fig. 4a), the valence band maxima cross Fermi level and meet with the conduction band maxima between the G and X points. The overlap of valence and conduction bands indicates a metallic state for the band structure of Ir2P, consistent with the previous results31,32,36. In order to further understand the properties of Ir2P, the total and partial electronic densities of state (DOS) were also calculated and are shown in Fig. 4b. The Ir 5d and P 3p states of Ir2P dominate the DOS at the Fermi level and the P 3s electrons basically lie at the bottom of valence band. The P 3p and Ir 5d orbitals having major contributions to total DOS reveal a strong hybridization between Ir d and P p orbitals. The finite DOS at the Fermi level indicates metallic behavior of Ir2P, consistent with the calculated band structure.
The electronic localization function (ELF) based on the Hartree-Fock pair probability of parallel spin electron was calculated to visualize different types of bonding in solids40. As shown in Fig. 5a, the polar covalent bonding interactions between Ir and P are evident as the ELF maxima are strongly biased towards the P atoms. The yellow-colored electron configuration indicates a substantial accumulation of electronic charge density within the voids of crystal structure. Figure 5b clearly displays metalloid covalent bonding feature. The relatively high ELF values along Ir-P bonds mirror its covalent feature while the low ELFs between Ir ions correspond to the metallic bonding. The polar metal-metalloid (M-P) covalent bonds of short distance (2.40 Å) should result in relatively incompressible tetrahedra, which form a 3D-network through edge-sharing that further enhances Ir2P’s ability to resist compression. Moreover, the interlaced Ir-Ir metallic bonds as in metal Ir are difficult to be shortened under pressure. All these factors play a positive role for the high incompressibility of Ir2P. On the other hand, the weak Ir-Ir metallic bonds make the structure susceptible to shear deformation under stress, resulting in the relatively low shear modulus (Table 1) and hardness of Ir2P shown in Fig. 2.
(a) Isosurface of electronic localization functions (ELF) for the corresponding structure with the value of 0.007 electrons/Å3. The large blue and small pink spheres represent Ir and P atoms, respectively. The yellow color bounded regions indicate the formation of covalent bonding networks due to charge accumulation; (b) ELF of (1
0) lattice plane.
Conclusions
In summary, we synthesized cubic Ir2P at high pressure and high temperature (HPHT). In the pressure range of 0 to 40.6 GPa, Ir2P has a high bulk modulus of B0 = 306(6) GPa with B0′ = 6.4(5). It has a Vickers hardness of 11.8(4) GPa under a loading force of 9.8 N. These results are in consistence with the first – principles calculations that suggest the strong polar covalent bonding between Ir and P atoms leads to the incompressibility of Ir2P. The metallic Ir bilayers are presumably responsible for the weakest paths under shear deformation. The temperature-dependent molar susceptibility indicates the spin glass behavior in an antiferromagnetic interaction background in Ir2P.
Methods summary
HPHT synthesis
Ir2P was synthesized using a mixture of Ir powder (purity 99.9%) and red phosphorus powder (purity 99.999%) with a molar ratio of Ir : P = 2 : 1 under high pressure/temperature conditions. The syntheses were carried out in a two-stage multi-anvil apparatus based on a DS 6 × 8 MN cubic press41,42 and a Walker-type multianvil press at Arizona State University43. The 14/8 sample assembly, consisting of a 14 mm (edge length) MgO octahedron, a ZrO2 thermal insulator and a Ta heater, was compressed by eight cubic WC anvils, each with 8-mm corner truncation (edge-length). Pressures were estimated based on the calibration established by phase transitions in ZnTe, ZnS and GaAs at room temperature and temperatures were measured in-situ with a Pt6%Rh–Pt30%Rh or Re5%W-Re25%W thermocouple. The samples were first compressed to targeted load and then heated with a rate of about 100 °C /min to desired temperature and hold for 30 min. The pressure was released after the temperature was quenched to room temperature. The recovered cylindrical samples have a diameter of ~3 mm and a height of ~3 mm.
Characterization methods
The recovered samples were characterized by x-ray diffraction with Cu Kα radiation source. High-pressure in-situ powder x-ray diffraction experiments were performed using a symmetric diamond anvil cell (DAC) with a culet size of 300 μm at 16-IDB of the High Pressure Collaborative Access Team (HPCAT), Advanced Photon Source (APS), Argonne National Laboratory (ANL). The Ir2P powders were loaded into a pre-indented gasket (steel) hole in diameter 170 μm. A few ruby balls were also loaded in the sample chamber to serve as the internal pressure standard44. Neon was used as pressure-transmitting medium to improve hydrostatic pressure conditions for the sample. The incident x-ray beam of wavelength 0.3738 Å was focused to approximately 5 μm × 7 μm. The distance between image plate and sample is 182 mm. The 2D patterns of intensity versus 2θ were obtained by using the FIT2D software45. Vickers hardness was measured on a well – sintered polycrystalline sample under different loads of 25, 50, 100, 200, 300, 500 and 1000 g by using a Micromet–2103 hardness tester (Buehler, USA). Under each applied load, the measurement was performed with a dwelling time of 15 s and was repeated 5–10 times to obtain statistically improved averages. The low temperature magnetic susceptibility measurements were performed in a Quantum Design superconducting quantum interference device (SQUID) an external field of 1 T.
Computation details
First – principles calculations based on density functional theory (DFT) were performed in the CASTEP code with a PBE and CA-PZ exchange-correlation functional form of the GGA and LDA, respectively39. The plane-wave cut-off energy was 500 eV and the Brillouin-zone sampling was performed with the Monkhorst-Pack grid with a k-points sampling of 7 × 7 × 7. The 5d76s2 and 3s23p3 were taken as valence electron for Ir and P atoms, respectively. Broyden–Fletcher–Goldfarb–Shanno (BFGS) scheme was considered as the minimization algorithm46. The bulk modulus, shear modulus, Young’s modulus and Poisson’s ratio were estimated by using the Voigt-Reuss-Hill approximation47.
Additional Information
How to cite this article: Wang, P. et al. Elastic, magnetic and electronic properties of iridium phosphide Ir2P. Sci. Rep. 6, 21787; doi: 10.1038/srep21787 (2016).
References
Kaner, R. B., Gilman, J. J. & Tolbert, S. H. Designing superhard materials. Science 308, 1268–1269 (2005).
McMillan, P. F. New materials from high-pressure experiments. Nature Mater. 1, 19–25 (2002).
Qin, J. et al. Is rhenium diboride a superhard material? Adv. Mater. 20, 4780–4783 (2008).
Gu, Q. F., Krauss, G. & Steurer, W. Transition Metal Borides: Superhard versus Ultra-incompressible. Adv. Mater. 20, 3620–3626 (2008).
Zhang, R. et al. Stability and strength of transition-metal tetraborides and triborides. Phys. Rev. Lett. 108, 255502 (2012).
Chung, H. Y. et al. Synthesis of Ultra-Incompressible Superhard Rhenium Diboride at Ambient Pressure. Science. 316, 436–439 (2007).
Gou, H. Y. et al. Discovery of a superhard iron tetraboride superconductor. Phys. Rev. Lett. 111, 157002 (2013).
Han, L. et al. Hardness, elastic and electronic properties of chromium monoboride. Appl. Phys. Lett. 106, 221902 (2015).
Niu, H. et al. Structure, bonding and possible superhardness of CrB4 . Phys. Rev. B 85, 144116 (2012).
Rau, J. V. & Latini, A. New Hard and Superhard Materials: RhB1.1 and IrB1.35 . Chem. Mater. 21, 1407–1409 (2009).
Wang, Y. et al. Thermal equation of state of rhenium diboride by high pressure-temperature synchrotron x-ray studies. Phys. Rev. B 78, 224106 (2008).
Zhang, M. et al. Electronic structure, phase stability and hardness of the osmium borides, carbides, nitrides and oxides: First-principles calculations. J. Phys. Chem. Solids 69, 2096–2102 (2008).
Liu, Z. T., Zhou, X., Khare, S. V. & Gall, D. Structural, mechanical and electronic properties of 3d transition metal nitrides in cubic zincblende, rocksalt and cesium chloride structures: a first-principles investigation. J. Phys. Condens Matter 26, 025404 (2014).
Gregoryanz, E. et al. Synthesis and characterization of a binary noble metal nitride. Nat. Mater. 3, 294–297 (2004).
Wang, S. et al. Synthesis, crystal structure and elastic properties of novel tungsten nitrides. Chem. Mater. 24, 3023–3028 (2012).
Ono, S., Kikegawa, T. & Ohishi, Y. A high-pressure and high-temperature synthesis of platinum carbide. Solid State Commun. 133, 55–59 (2005).
Zhao, Z. et al. Bulk Re2C: Crystal structure, hardness and ultra-incompressibility. Cryst. Growth Des. 10, 5024–5026 (2010).
Liang, Y., Zhang, B. & Zhao, J. Electronic structure and mechanical properties of osmium borides, carbides and nitrides from first principles. Solid State Commun. 146, 450–453 (2008).
Pan, Y., Guan, W. & Zheng, W. Structural, mechanical properties and fracture mechanism of RuB1.1 . Dalton Trans. 43, 5168–5174 (2014).
Rivadulla, F. et al. Reduction of the bulk modulus at high pressure in CrN. Nature Mater. 8, 947–951 (2009).
Wang, S. et al. Experimental invalidation of phase-transition-induced elastic softening in CrN. Phys. Rev. B 86, 064111 (2012).
Alling, B., Marten, T. & Abrikosov, I. A. Questionable collapse of the bulk modulus in CrN. Nature Mater. 9, 283–284 (2010).
Wang, M. et al. Origin of hardness in WB4 and its implications for ReB4, TaB4, MoB4, TcB4 and OsB4 . Appl. Phys. Lett. 93, 101905 (2008).
Schneider, S. et al. Materials properties of ultra-Incompressible Re2P. Chem. Mater. 24, 3240–3246 (2012).
Carenco, S. et al. Nanoscaled metal borides and phosphides: recent developments and perspectives. Chem. Rev. 113, 7981 (2013).
Oyama, S. T. Novel catalysts for advanced hydroprocessing: transition metal phosphides. J. Catal. 216, 343–352 (2003).
Zhang, X. et al. Pressure-induced zigzag phosphorus chain and superconductivity in boron monophosphide. Sci. Rep. 5, 8761 (2015).
Shen, G. et al. Single‐Crystal Nanotubes of II3–V2 Semiconductors. Angew. Chem., Int. Ed. 118, 7730–7734 (2006).
Wang, P. et al. High-pressure synthesis and in-situ high pressure x-ray diffraction study of cadmium tetraphosphide. J. Appl. Phys. 113, 053507 (2013).
Pyshkin, S., Ballato, J., Bass, M. & Turri, G. Evolution of luminescence from doped gallium phosphide over 40 Years. J. Electron. Mater. 38, 640–646 (2009).
Hulliger, F. Crystal chemistry of the chalcogenides and pnictides of the transition elements. Struct. Bond. 4, 83–229 (1968).
Sweeney, C. M., Stamm, K. L. & Brock, S. L. On the feasibility of phosphide generation from phosphate reduction: The case of Rh, Ir and Ag. J. Alloys Compd., 448, 122–127 (2008).
Rundqvist, S. Phosphides of the platinum metals. Nature (London) 185, 31–32 (1960).
Biltz, W., Weibke, F., May, E. & Meisel, K. Alloyability of Platinum and Phosphorus. Z. Anorg. Chem, 223, 129–143 (1935).
Zumbusch, M. Über die Strukturen des Uransubsulfids und der Subphosphide des Iridiums und Rhodiums. Zeitschrift für anorganische und allgemeine Chemie, 243, 322–329 (1940).
Raub, C. J., Zachariasen, W. H., Geballe, T. H. & Matthias, B. T. Superconductivity of some new Pt-metal compounds. J. Phys. Chem. Solids, 24, 1093–1100 (1963).
Cynn, H., Klepeis, J. E., Yoo, C.-S. & Young, D. A. Osmium has the lowest experimentally determined compressibility. Phys. Rev. Lett. 88, 135701 (2002).
Gao, F. et al. Hardness of covalent crystals. Phys. Rev. Lett. 91, 015502 (2003).
Segall, M. et al. First-principles simulation: ideas, illustrations and the CASTEP code. J. Phys. Condens. Matter 14, 2717 (2002).
Savin, A., Nesper, R., Wengert, S. & Fässler, T. ELF: The electron localization function. Angew. Chem., Int. Ed. Engl. 36, 1808–1832 (1997).
Xu, C. et al. Nano-polycrystalline diamond formation under ultra-high pressure. Int. J. Refract. Met. H. 36, 232–237 (2013).
Wang, P. et al. Diamond-cBN Alloy: a Universal Cutting Material. Appl. Phys. Lett. 107, 037535 (2015).
Walker, D. Lubrication, gasketing and precision in multianvil experiments. Am. Mineral. 76, 1092 (1991).
Mao, H. K., Xu, J. & Bell. M. J. Calibration of the ruby pressure gauge to 800kbar under quasi-hydrostatic conditions. Geophys. Res. 91, 4673–4676 (1986).
Hammersley, A. et al. Two-dimensional detector software: from real detector to idealised image or two-theta scan. High Press. Res. 14, 235–238 (1996).
Pfrommer, B. G., Côté, M., Louie, S. G. & Cohen, M. L. Relaxation of crystals with the quasi-Newton method. J. Comput. Phys. 131, 233–240 (1997).
Hill, R. The Elastic Behaviour of a Crystalline Aggregate. Proc. Phys. Soc. A 65, 349–355 (1952).
Acknowledgements
We thank Jesse Smith for experimental help. This work is supported by National Natural Science Foundation of China (Grant No. 51472171 & 11427810), the China 973 Program (Grant No. 2011CB808200), China Scholarship Council (File No. 201406240006), the Youth Natural Science in Qinghai Province of China (Grant No. 2014-ZJ-942Q) and the Ministry of Education Special Funds of China (Grant No. Z2014016) and the National Nuclear Security Administration under the Stewardship Science Academic Alliances program through DOE Cooperative Agreement #DE-NA0001982. The use of HPCAT (16ID-B), APS is supported by the Carnegie Institute of Washington, Carnegie DOE Alliance Center, University of Nevada at Las Vegas and Lawrence Livermore National Laboratory through funding from the DOE-National Nuclear Security Administration, the DOE-Basic Energy Sciences and the NSF; the APS is supported by the DOE-BES, under Contract No. DE-AC02-06CH11357.
Author information
Authors and Affiliations
Contributions
P.W., D.W.H. and Y.S.Z. designed the project. P.W. carried out synthesis experiments, analyzed the data and wrote the draft. Y.G.W. and L.P.W. performed the synchrotron x-ray diffraction experiments. P.W. tested the Vickers hardness of the polished sample. P.W. and X.Y.Z. performed first – principles calculations. X.H.Y. performed the magnetism susceptibility measurement. J.L.Z., J.Q.Q., S.M.W. and H.H.C. co-wrote the paper. L.P.W., K.L., D.W.H. and Y.S.Z. edited the manuscript and also provided inputs for data interpretation. All authors discussed the results.
Ethics declarations
Competing interests
The authors declare no competing financial interests.
Rights and permissions
This work is licensed under a Creative Commons Attribution 4.0 International License. The images or other third party material in this article are included in the article’s Creative Commons license, unless indicated otherwise in the credit line; if the material is not included under the Creative Commons license, users will need to obtain permission from the license holder to reproduce the material. To view a copy of this license, visit http://creativecommons.org/licenses/by/4.0/
About this article
Cite this article
Wang, P., Wang, Y., Wang, L. et al. Elastic, magnetic and electronic properties of iridium phosphide Ir2P. Sci Rep 6, 21787 (2016). https://doi.org/10.1038/srep21787
Received:
Accepted:
Published:
DOI: https://doi.org/10.1038/srep21787
Comments
By submitting a comment you agree to abide by our Terms and Community Guidelines. If you find something abusive or that does not comply with our terms or guidelines please flag it as inappropriate.




