Abstract
Optical isolators will play a critical role in next-generation photonic circuits, but their on-chip integration requires miniaturization with suitable nonreciprocal photonic materials. Here, we theoretically demonstrate the thinnest possible and polarization-selective nonreciprocal isolation for circularly polarized waves by using graphene monolayer under an external magnetic field. The underlying mechanism is that graphene electron velocity can be largely different for the incident wave propagating in opposite directions at cyclotron frequency, making graphene highly conductive and reflective in one propagation direction while transparent in the opposite propagation direction under an external magnetic field. When some practical loss is introduced, nonreciprocal isolation with graphene monolayer still possesses good performance in a broad bandwidth. Our work shows the first study on the extreme limit of thickness for optical isolation and provides theoretical guidance in future practical applications.
Introduction
Optical isolators, the photonic analogue of diodes, allow nonreciprocal unidirectional light transmission1,2,3,4,5,6,7,8. They have become indispensable components in optical telecommunications and laser applications for stabilizing propagating photons and preventing undesired feedback1,2,3,4,5,6,7,8. However, the main component of the optical isolators, Faraday rotator, is usually composed of magneto-optical materials with weak Faraday effect. It requires a long propagation distance in the order of operating wavelength to achieve good isolation and therefore, optical isolators are generally bulky1. In attempt to reduce costs and realize on-chip integration, there is a keen interest to miniaturize the nonreciprocal devices through designing novel structures2. Recent advance in fabrication of ultrathin two-dimensional (2D) graphene down to monolayer may provide the possibility to further push the optical isolation to atomic scale and has attracted more and more people's interests. This is due to the fact that graphene can become nonreciprocal and gyrotropic under an external magnetic field9,10,11,12,13,14,15,16. However, because of its ultrathin thickness, graphene is almost transparent for light17,18 and can only turn the polarization of incident light by several degrees under a modest magnetic field11,12. Hence, external bulky resonating structure and polarizer are still needed when incorporating graphene into the traditional isolators13,14. Achieving optical isolation in the atomic scale is still very challenging.
In this paper, we theoretically proposed the idea of atomically thin nonreciprocal optical isolation for circularly polarized waves by using graphene monolayer. We show that under an external magnetic field, electrons in graphene would experience distinct magnitudes of Lorentz force for left-handed or right-handed circularly polarized wave (LCP or RCP) incidence at cyclotron frequency. Therefore, for the same circularly polarized wave, graphene can be tailored to be transparent to the forward propagation direction, whereas to be reflective to the backward propagation direction. Moreover, for the same propagation direction, graphene can be tailored to be transparent to one of the circularly polarized waves, whereas to be reflective to the other polarization handedness. As a result, the polarization-selective isolator can isolate and filter circular polarizations simultaneously. Our work provides an analytical study on the extreme limit of thickness for optical isolation, which might be useful in the quest to miniaturize nonreciprocal photonics in the future.
Results
Fig. 1 schematically shows the atomically thin and polarization-selective optical isolation based on graphene monolayer. Under an external magnetic field perpendicular to graphene plane, graphene (in the xy plane) becomes gyrotropic and can be described by an asymmetric permittivity tensor:
. For plane wave propagating along magnetization
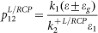
direction, the eigenmodes in gyrotropic graphene are LCP and RCP. Without loss of generality, we analytically calculate the transmissivity of circularly polarized waves normally incident from a dielectric medium with relative permittivity ε1 onto the gyrotropic graphene layer and transmitted into a second dielectric medium with relative permittivity ε3. Detailed calculation can be found in Methods. The calculated wavevectors for LCP and RCP in gyrotropic graphene are as follows:

from which we see that for the same circularly polarized wave they have different phase velocities (vph = ω/k) in the forward and backward propagations. Moreover, since
and
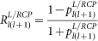
, the transmissivity of LCP in one propagation direction is the same with that of RCP in the opposite propagation direction. With this symmetry, we only need to analyze the forward propagating transmissivity.
Schematics of the atomically thin and polarization-selective optical isolation for circularly polarized waves.
An external magnetic field is applied perpendicular to graphene plane. Only one circularly polarized wave can propagate through the gyrotropic graphene in one propagation direction. The arrows in the helixes show the instantaneous electric field distributions of circularly polarized waves.
The ideal case of graphene monolayer without loss is firstly discussed in Fig. 2(a). The parameters in Fig. 2(a) are as follows: the chemical potential μc = 0.5 eV, the cyclotron frequency ωc/2π = 10 THz, the damping constant γ = 0 and ε1 = ε3 = 1. From the analytical derivations (details are in Methods), we can get forward propagating transmissivity t+LCP = 0 and t+RCP = 0.99 at cyclotron frequency, indicating good isolation performance. The underlying mechanism of the remarkable contrast in transmissivity at cyclotron frequency is that the electron velocity in graphene under LCP incidence is largely different from that under RCP incidence, making gyrotropic graphene highly conductive and reflective for one circular polarization incidence while transparent for another circular polarization incidence. From a microscopic point of view, by using free electron model19,
, where meff is the effective electron mass and
is the electric field of incident wave being either RCP or LCP. Under time harmonic excitation, we can derive

where
. In this paper, we set the external magnetic field
along
direction and the scalar cyclotron angular frequency is defined as
. For the forward
propagation, we have
for LCP incidence with
and
for RCP incidence with
. Hence, the magnitude of Lorentz force acting on graphene electrons under LCP incidence
is much larger than that under RCP incidence
at ω = ωc. As a result,
can be theoretically very large and
is reduced to half at cyclotron frequency. Since the electric current density
and
, gyrotropic graphene becomes highly conductive under LCP incidence, indicating gyrotropic graphene behaves like a perfect electric conductor and LCP is thus totally reflected. In contrast, for RCP incidence, graphene has a finite negative permittivity and wave is evanescent inside of the graphene. As its skin depth (1/Im(k+RCP) > 100 nm) is far larger than graphene's atomic thickness, graphene is highly transparent to RCP incident wave.
Transmissivity of RCP (t+RCP) and LCP (t+LCP) through gyrotropic graphene monolayer in the forward propagation.
(a) Comparison of t+RCP and t+LCP under the lossless (2πγ/ωc = 0) and loss (2πγ/ωc = 1) conditions with ωc/2π = 10 THz. (b) Loss influence on the isolation performance with different cyclotron frequencies. t+RCP/t+LCP increases as 2πγ/ωc or ωc decreases. Other parameters are as follows: μc = 0.5 eV and ε1 = ε3 = 1.
Because of the collision between electrons, loss is inevitable in practical graphene samples. In the following part, we studied the loss influence on the isolation performance. When loss is considered, the electron velocity in equation (2) becomes
. For the forward
propagation and by setting
along
direction, we have
for LCP incidence and
for RCP incidence. Therefore, as long as 2πγ/ωc is sufficiently small,
can still be theoretically very large and
at cyclotron frequency can still be achieved. Fig. 2(a) shows the analytical transmissivity of LCP and RCP under the lossless (2πγ/ωc = 0) and loss (2πγ/ωc = 1) conditions. One can see that the loss degrades the performance of isolation. Fig. 2(b) shows the transmissivity ratio between RCP and LCP at cyclotron frequency (t+RCP/t+LCP) as a function of 2πγ/ωc with different cyclotron frequencies, from which one can see that, on one hand, t+RCP/t+LCP increases as 2πγ/ωc decreases, on the other hand, with the same value of 2πγ/ωc, t+RCP/t+LCP increases as the cyclotron frequency decreases. Hence, better isolation performance can be obtained by keeping 2πγ/ωc sufficiently small or setting smaller cyclotron frequency.
To verify the analytical prediction of the atomically thin isolation, Fig. 3 shows the numerical simulations of the lossless case at 10 THz with the use of Finite Element Method (COMSOL Multiphysics). In the simulation, the following parameters are used: μc = 0.5 eV, ωc/2π = 10 THz, γ = 0 and ε1 = ε3 = 1. We set the incident field with unit magnitude. When propagating in the forward direction, RCP is almost totally transmitted through graphene, as shown in Fig. 3(a), featured with unit magnitude of maximum Ey at both sides of graphene. Meanwhile, LCP is totally reflected, as shown in Fig. 3(b), characterized with twice unit magnitude of maximum Ey at the left graphene side and near zero at the right side. Moreover, from Fig. 3(b), one can see that the total electric field at the graphene boundary is always zero, indicating that graphene exhibits zero impedance, verifying our previous theoretical analysis that in this case graphene behaves like a highly conductive material. When propagating in the backward direction, RCP is totally reflected in Fig. 3(c) and LCP is almost totally transmitted in Fig. 3(d), behaving inversely to the forward propagation.
Simulation demonstration of the atomically thin optical isolation for circularly polarized waves under the lossless condition.
Ey field distribution of RCP and LCP waves propagating in (a–b) the forward
and (c–d) backward
directions at 10 THz. The black dashed lines denote the location of graphene and the green arrows represent the wave incident direction. The parameters are: μc = 0.5 eV, ωc/2π = 10 THz, γ = 0 and ε1 = ε3 = 1. Under the lossless condition, graphene monolayer can isolate and filter the circular polarizations simultaneously.
The numerical verifications for the loss case are shown in Fig. 4. Based on previous practical graphene parameters, we set ωc/2π = 0.3 THz, μc = 0.5 eV and γ = 0.63 THz in the demonstration. These correspond to B = −1 Tesla, the 2D carrier density ns = 2 × 1013 cm−2 and the electron mobility μ = 28000 cm2V−1s−1. These parameter settings are achievable in experiments, because that the 2D carrier density ns in graphene is experimentally reported to be gated efficiently from very low (1010 cm−2) to very high values (1014 cm−2)20,21,22 and the electron mobility up to μ = 60000 cm2V−1s−1 has been experimentally obtained in high-quality suspended23 or hexagonal boron nitride substrate supported24 graphene samples. We also consider the graphene is mounted on a substrate. The influence of surrounding dielectric substrate on the isolating performance is shown in Fig. 4(a,b), where symmetric structure is assumed with ε1 = ε3 = εd to avoid additional background reflection. Smaller εd is found favorable to achieve better isolation performance. To ensure the high electron mobility in graphene and therefore a smaller damping constant γ, hexagonal boron nitride with εd = 4.825 is chosen. From Fig. 4(b), one can see that high t+RCP/t+LCP can be obtained in a wide frequency range with the maxima of 25.96 at 0.311 THz (3.7% higher than ωc = 0.3 THz). When t+RCP/t+LCP > 10 is defined as a reference, a 0.26 THz bandwidth can be obtained with frequency ranging from 0.2 to 0.46 THz. Fig. 4(c–f) show the numerical simulations of the nonreciprocal isolation at 0.3 THz. In the forward propagation, RCP wave passes graphene with a transmissivity of 31.5% in Fig. 4(c), while LCP is efficiently blocked with a trivial transmissivity of 1.23% in Fig. 4(d). When propagating in the backward direction, it behaves inversely in Fig. 4(e,f). From these demonstration, one see that an atomically thin wide-band THz nonreciprocal optical isolation is possible by using practical graphene samples, showing the appealing potential applications of graphene in ultrathin nonreciprocal device design.
Atomically thin optical isolation under the loss condition.
(a) Influence of εd on the forward propagating transmissivity of LCP and RCP waves, where ε1 = ε3 = εd. (b) The isolation performance represented by t+RCP/t+LCP for different εd. (c–f) Ey field distribution of circularly polarized waves propagating in the forward
and backward
directions at 0.3 THz. The Parameters are: μc = 0.5 eV, ωc/2π = 0.3 THz, γ = 0.63 THz and εd = 4.8. The black dashed lines denote the location of graphene and the green arrows represent the wave incident direction.
Discussion
Previous graphene based traditional Faraday isolators14,16 are generally composed by a graphene sheet, a resonating structure and two wire grids. In that Faraday isolator structure, the gyrotropic graphene only serves as a Faraday rotator, the thickness of the resonating structure is around half of the operating wavelength14 and the two wire grids serving as the polarizers are indispensable to realize isolation. When considering the thickness of the resonating structure and wire grids, the total thickness of previous graphene based Faraday isolators14,16 is usually in the order of operating wavelength, far larger than our atomic thickness. Hence, previous graphene based Faraday isolators14,16 are different from the demonstration in this work where no external wire grids or other resonant structures are needed. Flexible tunability is a potential advantage of graphene based devices26,27. Since the best performance of the ultrathin graphene isolation exists near cyclotron frequency, the isolation working frequency range should also be tunable by external magnetic field.
In conclusion, we have theoretically proposed the atomically thin and polarization-selective nonreciprocal optical isolation for circular polarizations. The mechanism underlying the atomically thin optical isolator is revealed from a microscopic viewpoint. Our work shows a feasible solution to control the propagation of circularly polarized waves in graphene and to manipulate light nonreciprocally at atomic scale, which opens up new possibilities for further innovations in functional ultrathin nonreciprocal optics.
Methods
Graphene monolayer is treated as a homogeneous film with thickness d = 1 nm20,28 and characterized by an anisotropic permittivity tensor diag[εeq εeq εz]. Based on Kubo formula, εeq can be cast to the Drude model9,10,20,28,29,

where
and Ginter are optical conductivity attributed to intra-band and inter-band transitions respectively, εinter = 1 + iGinter/ωε0d,
is the plasma frequency, γ is the inverse of relaxation time and ε0, e,
and kB are the dielectric permittivity in vacuum, electron charge, reduced Planck constant and Boltzmann constant, respectively. When setting μc = 0.5 eV and temperature T = 300 K, we have the effective electron mass meff = 0.1 × 0.91 × 10−30 kg and ωp/2π = 410 THz. At the operation frequency below 1 THz, εinter is equal to 3.9.
Gyrotropic graphene can be described by an asymmetric permittivity tensor
, where
and
. Hence,
and
. The scalar cyclotron angular frequency ωc is defined as
, when the external magnetic field
is along
direction.
Wave polarizations can be viewed by either the temporal or spatial view points. In the case of a circularly polarized wave, from the temporal view point, the tip of the electric field vector describes a circle at a fixed point in space as time progresses. If the right-hand (left-hand) thumb points in the direction of propagation while the fingers point in the direction of the tip motion, the wave is defined as right-hand (left-hand) circularly polarized. From the spatial view point, the instantaneous electric field vector of the RCP (LCP) wave describes a left-hand (right-hand) helix along the direction of propagation, as shown in Fig. 1.
To achieve the condition of good isolation for circular polarizations, the transmissivity of the forward propagation in Fig. 1 are analytically calculated in the following. The calculation of backward propagation can be done by the same methodology. Setting
in the lth region with l = 2 standing for gyrotropic graphene and l = 1,3 for isotropic dielectric. After calculation, we have:

where
,
,
,
,
,
,
, dz1 = 0 and dz2 = d. The reflection and transmission coefficients are
and
, respectively. After some algebra, we have


The reflectivity and transmissivity are
and
, respectively. From equation (5) and equation (6), r+L/RCP and t+L/RCP are strongly dependent on ωc, ωp and γ, when the operating frequency is around ωc. In particular, for LCP incidence in the lossless case, when ω → ωc,
,
,
,
,
,
,
and thus r+LCP = 1 and t+LCP = 0. For RCP incidence in the lossless case at ω = ωc,
is negatively large but finite and we get t+RCP = 0.99 as shown in Fig. 2(a) through numerical computation. When considering the loss case and setting ωp as a constant, t+L/RCP is strongly dependent on zπγ/ωc and ωc, which can be seen from Fig. 2(b).
When μc and γ are given, the corresponding ns and μ can be theoretically calculated by using
10,29 and
10,29, respectively, where Fermi velocity υF ≈ 0.95 × 106 m/s. When
Tesla and μc = 0.5 eV, we can neglect Landau quantization influence and use the Drude model directly for graphene according to Ref. [10], because the following conditions are satisfied: the Landau energy scale
and the operating frequency (set below 1 THz) energy
.
References
Liu, M. & Zhang, X. Plasmon-boosted magneto-optics. Nat. Photonics 7, 429–430 (2013).
Chin, J. Y. et al. Nonreciprocal plasmonics enables giant enhancement of thin-film Faraday rotation. Nat. Commun. 4, 1599 (2013).
Khanikaev, A. B., Mousavi, S. H., Shvets, G. & Kivshar, Y. S. One-way extraordinary optical transmission and nonreciprocal spoof plasmons. Phys. Rev. Lett. 105, 126804 (2010).
Yu, Z., Wang, Z. & Fan, S. One-way total reflection with one-dimensional magneto-optical photonic crystals. Appl. Phys. Lett. 90, 121133 (2007).
Tocci, M. D., Bloemer, M. J., Scalora, M., Dowling, J. P. & Bowden, C. M. Thin-film nonlinear optical diode. Appl. Phys. Lett. 66, 23246 (1995).
Shadrivov, I. V., Fedotov, V. A., Powell, D. A., Kivshar, Y. S. & Zheludev, N. I. Electromagnetic wave analogue of an electronic diode. New J. Phys. 13, 033025 (2011).
Fang, K., Yu, Z., Liu, V. & Fan, S. Ultracompact non-reciprocal optical isolator based on guided resonance in a magneto-optical photonic crystal slab. Opt. Lett. 36, 4254–4256 (2011).
Davoyan, A. R. Mahmoud, A. M. & Engheta, N. Optical isolation with epsilon-near-zero metamaterials. Opt. Express 21, 3279–3286 (2013).
Gusynin, V. P. Sharapov, S. G. & Carbotte, J. P. Magneto-optical conductivity in gaphene. J. Phys.: Condens. Matter 19, 026222 (2007).
Sounas, D. L. & Caloz, C. Gyrotropy and nonreciprocity of graphene for microwave applications. IEEE Trans. Microw. Theory Tech. 60, 901–914 (2012).
Crassee, I. et al. Giant Faraday rotation in single- and multilayer graphene. Nat. Phys. 7, 48–51 (2011).
Crassee, I. et al. Intrinsic terahertz plasmons and magnetoplasmons in large scale monolayer graphene. Nano Lett. 12, 2470–2474 (2012).
Zhou, Y. et al. Tunable magnetoplasmons for efficient terahertz modulator and isolator by gated monolayer graphene. Phys. Chem. Chem. Phys. 15, 5084–5090 (2013).
Sounas, D. L. & Caloz, C. Graphene-based non-reciprocal spatial isolator. Paper presented at Proc. IEEE International Symposium on Antennas and Propagation (APSURSI) 1597–1600, Spokane, WA, USA. 10.1109/APS.2011.5996606 (2011, July 3–8). Available at: http://ieeexplore.ieee.org/xpl/login.jsp?tp=&arnumber=5996606& (Accessed: 2014, Jan. 17).
Sounas, D. L. & Caloz, C. Electromagnetic nonreciprocity and gyrotropy of graphene. Appl. Phys. Lett. 98, 021911 (2011).
Sounas, D. L. & Caloz, C. Gyrotropic properties of graphene and subsequent microwave applications. Paper presented at Proc. 41st European Microwave Conference (EuMc) 1142–1145 Manchester (2011, Oct. 10–13). Available at: http://ieeexplore.ieee.org/xpl/articleDetails.jsp?tp=&arnumber=6102014& (Accessed: 2014, Jan. 17).
Nair, R. R. et al. Fine structure constant defines visual transparency of graphene. Science 320, 1308 (2008).
Lin, X. et al. Ab initio study of electronic and optical behavior of two-dimensional silicon carbide. J. Mater. Chem. C 1, 2131–2135 (2013).
Kong, J. A. Electromagnetic Wave Theory (EMW Publishing Cambridge Massachusetts USA, 2008).
Ju, L. et al. Graphene plasmonics for tunable terahertz Metamaterials. Nat. Nanotech. 6, 630–634 (2011).
Das, A. et al. Monitoring dopants by Raman scattering in an electrochemically top-gated graphene transistor. Nat. Nanotech. 3, 210–215 (2008).
Efetov, D. K. & Kim, P. Controlling electron-phonon interactions in graphene at ultrahigh carrier densities. Phys. Rev. Lett. 105, 256805 (2010).
Bolotin, K. I. et al. Ultrahigh electron mobility in suspended graphene. Solid State Commun. 146, 351–355 (2008).
Dean, C. R. et al. Boron nitride substrates for high-quality graphene electronics. Nat. Nanotech. 5, 722–726 (2010).
Lin, X. et al. Ab initio optical study of graphene on hexagonal boron nitride and fluorographene substrates. J. Mater. Chem. C 1, 1618–1627 (2013).
Fang, Z. et al. Gated Tunability and hybridization of hocalized plasmons in nanostructured graphene. ACS nano 7, 2388–2395 (2013).
Fang, Z. et al. Active tunable absorption enhancement with graphene nanodisk arrays. Nano Lett. 14, 299–304 (2014).
Vakil, A. & Engheta, N. Transformation optics using graphene. Science 332, 1291–1294 (2011).
Hanson, G. W. Dyadic Green's functions and guided surface waves for a surface conductivity model of graphene. J. Appl. Phys. 103, 064302 (2008).
Acknowledgements
This work was sponsored by the National Natural Science Foundation of China under Grants No. 61322501, No. 61275183 and No. 60990322, the National Youth Top-notch Talent Support Program, the Foundation for the Author of National Excellent Doctoral Dissertation of PR China under Grant No. 200950, the Fundamental Research Funds for the Central Universities under Grant No. 2011QNA5020, the Chinese Scholarship Council Foundation under Grant No. 2011833070, the Program for New Century Excellent Talents (NCET-12-0489) in University, the K. P. Chao's High Technology Development Foundation, the Nanyang Technological University and the Singapore Ministry of Education under Tier 1 Ref. No. RG 27/12 and Grant No. MOE2011-T3-1-005.
Author information
Affiliations
Contributions
X.L, B.Z. and H.C. conceived the idea of the study. X.L. performed the analysis and numerical simulations. Z.W. and F.G. contributed in the calculation and interpretation. H.C. and B.Z. supervised the project. All of the authors interpreted the results. X.L., B.Z. and H.C. wrote the manuscript with input from others.
Ethics declarations
Competing interests
The authors declare no competing financial interests.
Rights and permissions
This work is licensed under a Creative Commons Attribution-NonCommercial-NoDerivs 3.0 Unported License. To view a copy of this license, visit http://creativecommons.org/licenses/by-nc-nd/3.0/
About this article
Cite this article
Lin, X., Wang, Z., Gao, F. et al. Atomically thin nonreciprocal optical isolation. Sci Rep 4, 4190 (2014). https://doi.org/10.1038/srep04190
Received:
Accepted:
Published:
DOI: https://doi.org/10.1038/srep04190
Further reading
-
Trapped modes and resonances in gyrotropic graphene stacks
Applied Physics B (2017)
-
Near optimal graphene terahertz non-reciprocal isolator
Nature Communications (2016)
-
Enhanced magneto-optical effects in composite coaxial nanowires embedded with Ag nanoparticles
Scientific Reports (2016)
Comments
By submitting a comment you agree to abide by our Terms and Community Guidelines. If you find something abusive or that does not comply with our terms or guidelines please flag it as inappropriate.



