Abstract
Over 130 million people in Latin America identify as Afro-descendants, many of whom inhabit lands with potential to mitigate biodiversity loss and climate change. Yet, the role of Afro-descendants is not adequately considered in conservation and climate decision-making. Here, we mapped the biological value of Afro-descendant lands in Brazil, Colombia, Ecuador, and Suriname, and conducted a matching analysis to estimate the effect of these lands on deforestation. Afro-descendant lands coincide with areas that have high biodiversity and irrecoverable carbon and were associated with a 29%–55% reduction in forest loss compared to control sites. To contextualize these findings, we present a social-historical assessment of Afro-descendant conservation practices. This assessment highlights the adaptation of African knowledge to the American tropics and the development of sustainable environmental practices. Global environmental institutions, multilateral agencies, and governments should include Afro-descendants in environmental decision-making and support research and policies that enable Afro-descendant management practices.
Similar content being viewed by others
Introduction
The past few decades have seen notable progress acknowledging the role of Indigenous Peoples and Local Communities in combating the biodiversity and climate crises1,2,3,4,5,6. The stewardship of lands by Afro-descendant Peoples (ADP) may also be broadly effective for conserving biodiversity and securing carbon. To date, however, ADP voices and experiences are not widely considered in global and national forums where biodiversity and climate actions are discussed and decided7,8. This is concerning because ADP manage ecosystems crucial for global biodiversity and climate goals. For instance, in Latin America, 133 million people (one in four) self-identify as ADP9, and their presence has been documented across 205 million hectares (ha) of land, much of which is in areas of high conservation importance such as rainforests, mangroves, and savannas10.
Since ADP voices and experiences have been neglected, contributions of ADP resource management practices to biodiversity and carbon storage in biomass have gone unrecognized. Studies highlighting the impacts of ADP land stewardship on climate mitigation remain limited11,12,13. The United Nations’ International Decade for the People of African Descent (2015–2024) played an important role in promoting “recognition, justice and development”14 but lack of documentation of ADP contributions to conservation impedes inclusion of ADP in environmental decision-making8. Documentation of positive environmental outcomes on ADP lands, along with explanations for those benefits in terms of ADP management practices, would therefore be foundational for recognizing ADP as leaders in global conservation initiatives.
Better understanding of practices and outcomes on ADP lands can strengthen the evidence base for recognizing the “efforts and actions” by ADP in nature conservation and their role in implementing biodiversity commitments, emphasized at the Convention on Biological Diversity (CBD) COP1615. Specifically, evidence of environmental outcomes on ADP lands is relevant to Target 3 of the Global Biodiversity Framework (GBF), which seeks to conserve 30% of the world’s lands and waters by 203016, and the related Sustainable Development Goal (SDG) 13 to protect and sustainably use and manage Earth’s ecosystems17. Such evidence can also advance climate commitments under the United Nations Framework Convention on Climate Change (UNFCCC), which seeks to achieve net zero CO2 and greenhouse gas (GHG) emissions by 205018, along with the partnerships required to achieve goals for nature and people as outlined in SDG 17 by strengthening collaboration with crucial allies such as ADP.
To address this evidence need, we posed three research questions: (1) what is the quantity of biodiversity and carbon stocks on ADP lands, (2) do ADP lands exhibit greater levels of avoided deforestation and associated carbon emissions compared to similar control sites nearby, and (3) what ADP management practices with African origins help account for environmental conservation on ADP lands? We focused on legally recognized ADP lands in four tropical countries in South America for which spatial and legal data were accessible: Brazil, Colombia, Ecuador, and Suriname (Supplementary Fig. 1; Supplementary Table 1). To address (1), we used indicators related to biodiversity and carbon storage in biomass, specifically IUCN Red List species status and rarity-weighted species richness (i.e., relative concentration of species accounting for habitat range size) (RWR)19 for terrestrial vertebrates (amphibians, birds, mammals, and reptiles), and irrecoverable carbon (i.e., carbon that, if lost from ecosystem conversion, could not be re-sequestered for at least 30 years20). To address (2), we used a quasi-experimental approach relying on statistical matching to estimate the effect of ADP lands on deforestation. We compared recognized ADP lands to protected areas (PAs) and control sites, while accounting for spatially confounding variables (see Methods). To address (3), we reviewed accounts documenting African settlement histories in the Americas, in particular ADP resource management practices shaped by cultural knowledge, spiritual beliefs, and colonial influence21,22. Our inquiry builds on elements of postcolonial studies pertaining to territorial autonomy and resource use23,24,25, and foundational principles of Black Geographies and Black Ecologies, especially their emphasis on ADP adaptive capacities, place-making, and sustainable practices26,27.
Our findings show that recognized ADP lands have high biodiversity and irrecoverable carbon stocks, and low deforestation compared to control sites. The ADP historical land management systems and practices help explain these positive environmental outcomes indicating ADP’s crucial role in achieving global biodiversity and climate goals.
Results
The extent of recognized ADP lands
Recognized ADP lands encompass different land tenure arrangements per country, from collectively titled lands in Brazil, Colombia, and Ecuador to community concessions and customary lands in Suriname (Supplementary Table 1). ADP in these countries hold management rights to make decisions about their resources on 9.9 million ha of land (0.98% of the total 1 billion ha land area of the four countries) (Supplementary Table 2). Recognized ADP lands represent a small proportion of the total area in Brazil (0.45%), Colombia (5.01%), Ecuador (0.53%), and Suriname (1.05%) (Supplementary Table 2). Recognized ADP lands in Brazil and Colombia represent about 97.1% of total delineated ADP areas in this study (39.1% and 58%, respectively).
The presence of ADP in the study countries
While we focus on legally recognized ADP lands, ADP inhabit many administrative units in Brazil, and most in Colombia, Ecuador, and Suriname (Supplementary Fig. 1; Supplementary Table 3). Based on demographic data, ADP are present in approximately 30.5% of administrative units in Brazil, 97.6% in Colombia, and 100% in Ecuador and Suriname (Supplementary Fig. 1). Colombia has the largest number of administrative units where ≥50% of the population identifies as ADP, followed by Suriname (Supplementary Table 3). Ecuador contains the fewest administrative units with ≥25% ADP populations overall (Supplementary Table 3).
ADP presence within administrative units overlapping recognized ADP lands varies among countries (Supplementary Table 4). In Brazil, 45.5% of the quilombola population lives in administrative units overlapping ADP lands. Colombia has the largest ADP presence, with > 1.1 million ADP living in administrative units overlapping ADP lands. In Ecuador, while only 9% of the 814,495 self-identified national ADP population live in administrative units overlapping ADP lands included in the study, ADP are 39.2% of the total population in these administrative units. Self-identified ADP in Suriname are 9% of the national ADP population and 93.7% of the total population in administrative units overlapping ADP lands.
Recognized ADP lands, ecosystems, and protected areas
Recognized ADP lands overlap critical global ecosystems and PAs (Supplementary Tables 5–6). In Brazil, ADP lands are located within 30 different ecosystems, of which 68% of ADP lands are within tropical and subtropical moist broadleaf forest ecosystems, and overlap 87 PAs, 79 of which are state-designated, including globally important PAs within Amazonia like Parque Nacional do Jaú. In Colombia, about 98% of ADP lands are within tropical and subtropical moist broadleaf forest ecosystems located between the Pacific coast and Cordillera Occidental mountains, including the Chocó biogeographic region, the ninth most biodiverse hotspot globally28 known for driving the regional hydroclimate29. ADP lands in Colombia overlap 36 PAs, 33 of which are state-designated, including Reservas Forestales Protectoras Nacionales del Río Anchicayá and Darién. In Ecuador, ADP lands are primarily within Esmeraldas Province, mainly within tropical and subtropical moist broadleaf forests covering areas between Reserva Ecológica Manglares Cayapas-Mataje along the Pacific coast to the north and Parque Nacional Cotacachi-Cayapas inland to the south, with a small portion of territories, just over 3000 ha, partially overlapping three PAs. In Suriname, ADP lands are entirely within Guianan lowland and highland moist forests in the country’s center and overlap or border Centraal Suriname Natuurreservaat.
The extent and quantity of biodiversity and carbon in ADP lands
Although recognized ADP lands cover less than 1% of the total land area of the study countries, these territories contain disproportionately biodiverse and carbon-rich areas (Fig. 1; Fig. 2). ADP lands overlap the geographic ranges of 4004 terrestrial vertebrate species, 370 of which (9.2%) are listed under IUCN Red List Threatened categories (Supplementary Table 7). This represents about 46% of threatened terrestrial vertebrate species in these countries. Considerable portions of ADP lands harbor high levels of biodiversity as measured by terrestrial vertebrate RWR. For instance, >58% of recognized ADP lands are located within the top 10% and about 72% within the top 20% of biodiverse areas globally (Fig. 1; Supplementary Table 8).
This figure shows concentrations of biodiversity (based on rarity-weighted richness (RWR) considering terrestrial amphibians, birds, mammals, and reptiles) within recognized ADP lands (shown with orange borders) and per country throughout the study area, with the highest 5% of biodiverse areas globally in dark blue. Panels show terrestrial vertebrate biodiversity concentrations within recognized ADP lands in Brazil (a), Colombia (b), Ecuador (c), and Suriname (d). Nearly 92% of recognized ADP lands in Colombia and 99% in Ecuador coincide with areas that are among the highest 5% of biodiverse areas globally.
This figure shows the distribution of irrecoverable carbon density (tonnes per hectare ) within recognized ADP lands (shown with blue borders) and per country throughout the study area. Panels show irrecoverable carbon density within recognized ADP lands in Brazil (a), Colombia (b), Ecuador (c), and Suriname (d). Parts of the study area with minimal or no high irrecoverable carbon density (less than 25 t/ha) are displayed in white, and the areas without irrecoverable carbon are shown in gray.
Across the study countries, ADP lands average 6.8 tonnes of irrecoverable carbon per hectare (t/ha) compared to 5.2 t/ha of combined national totals (Supplementary Table 9). Recognized ADP lands store nearly 486.2 Mt out of 25,852.9 Mt of irrecoverable carbon total in the study countries, including 51.1 Mt of high ( >25 t/ha) irrecoverable carbon (10.5% of the total irrecoverable carbon within ADP lands) (Fig. 2; Supplementary Table 9). Therefore, ADP lands contain 1.88% of total irrecoverable carbon in the study countries, equivalent to 1784.3 Mt carbon dioxide equivalent (CO2e), or 38.79% of the annual 4600 Mt CO2e potential and almost 1.3% of total natural climate solution protection opportunities in the tropics from 2020 to 205030.
Within recognized ADP lands, irrecoverable carbon is mostly concentrated in tropical and subtropical forest, wetland, and tropical peat ecosystems (Supplementary Table 9). In Brazil, ADP lands contain 172.9 Mt of irrecoverable carbon, mostly in tropical forest, wetland, and peat ecosystems (Supplementary Table 9). In Colombia, ADP lands contain 299.8 Mt of irrecoverable carbon in tropical forest, peat, and mangrove ecosystems concentrated near the Pacific coast. In Ecuador and Suriname, where ADP lands are located away from coastal mangroves, these areas contain smaller amounts of irrecoverable carbon (about 2.4 Mt and 11 Mt, respectively) (Supplementary Table 9).
Overall impact of recognized ADP lands on deforestation
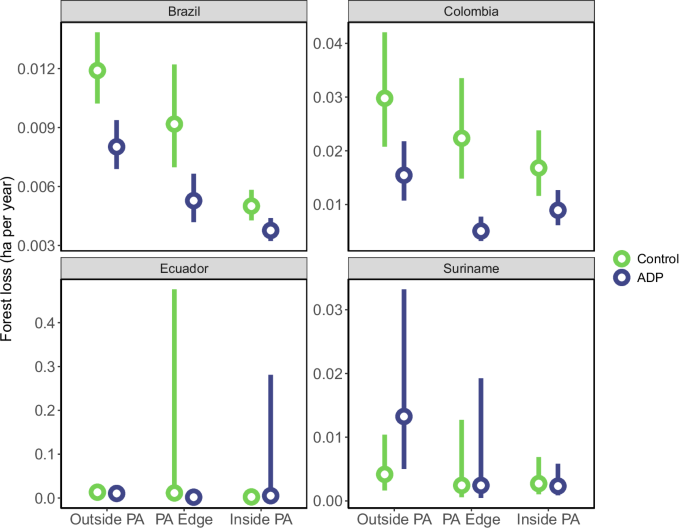
The ecological value of ADP stewardship is evident by avoided deforestation on ADP lands. Overall, rates of forest loss within ADP lands were consistently and significantly lower than rates of forest loss within control cells (Fig. 3; see methods for analytical details). Lower rates of forest loss represent the impact (or additionality) of recognized ADP lands on avoided deforestation, while controlling for potential confounding variables through statistical matching and as covariates in the models (Supplementary Table 10). Both rates of forest loss and impact of ADP land tenure – measured as the difference in forest loss between ADP and controls – varied spatially, depending on whether focal cells were located fully inside, on the edge of, or fully outside of PAs. ADP lands on the edge of or inside PAs had the lowest rates of deforestation, with 46% (Bayesian credible intervals = 39–53%) and 51% (BCI = 49–53%) less deforestation than ADP lands outside PAs, respectively. However, avoided deforestation (ha/yr) was greatest for ADP lands outside PAs, where forest loss was reduced by 36% (BCI = 34–38%) compared to controls, and ADP lands at the edge of PAs, where forest loss was reduced by 55% (BCI = 45–63%) (Fig. 3; Supplementary Table 11). ADP lands fully within PAs were associated with a 29% (BCI = 27–32%) reduction in forest loss compared to controls inside PAs. Patterns of avoided carbon emissions from deforestation mirrored results of deforestation rates, with ADP lands associated with significantly lower carbon emissions regardless of location inside, on the edge of, or outside of PAs (Supplementary Fig. 2; Supplementary Table 12).
Rates of forest loss were consistently lower within ADP lands (purple) compared to controls (green). Points represent mean estimates of rates of forest loss from a Bayesian generalized linear mixed model. Error bars show 95% Credible Intervals. Values of model estimates for all covariates are shown in Supplementary Table 11. The number of sample cells for each category was: ADP outside PAs = 38,166; ADP on PA edge = 435; ADP inside PAs = 23,766; Control outside PAs = 37,748; Controls at PA edge = 431; Controls inside PA = 24,188.
Across the study countries, the direction and magnitude of impacts from ADP lands in reducing forest loss were largely consistent among Brazil, Colombia, and Ecuador (Fig. 4; Supplementary Table 13). By contrast, ADP lands in Suriname were not associated with a consistent reduction in forest loss and were even associated with higher rates of forest loss outside of PAs. Analyses of forest loss at different distance classes – 0–1 km, 1–10 km, and >10 km – from the nearest edge of polygons representing PAs and ADP lands suggest potential displacement and spillover of deforestation under some circumstances (Fig. 5; Supplementary Table 14). Particularly in control cells inside and on the edges of PAs, and in ADP lands inside PAs, deforestation rates were greater within 1 km of the edges of ADP lands.
Rates of forest loss were typically lower within ADP lands (purple) compared to controls (green) across the study countries, except in Suriname. Points represent mean estimates of rates of forest loss from a Bayesian generalized linear mixed model. Error bars show 95% Credible Intervals. Values of model estimates for all covariates are shown in Supplementary Table 13.
Rates of forest loss change with distance to the edge of ADP lands, suggesting potential displacement of deforestation to areas near edges of PAs and ADP lands inside PAs. Points represent mean estimates of rates of forest loss from a Bayesian generalized linear mixed model. Error bars show 95% Credible Intervals. Values of model estimates for all covariates are shown in Supplementary Table 14.
Social-historical assessment of Afro-descendant practices contributing to environmental conservation
Mapping biodiversity and carbon stocks and documenting ADP stewardship impacts through quasi-experimental analysis provide evidence of ADP contributions to biodiversity conservation and climate change mitigation. However, it is also critical to understand ADP management practices that help explain these positive conservation outcomes. We therefore conducted a social-historical assessment of evidence of ADP management practices in the Americas since their arrival in the early 1500s .
Conventional economic and environmental histories of Africans in the Americas focus on plantations as the central representation of production systems throughout the region20. Such work emphasizes contributions of European practices to economic development, without considering African contributions beyond their role as enslaved plantation labor31,32. Yet, there is extensive historical literature on specific resource management practices of enslaved Africans and later ADP in many countries in the Americas exists31,32,33,34,35,36. ADP are referred to by different names throughout the region, including mocambos, quilombos, and cumbes in Brazil, Palenques in Colombia, and Maroons in Suriname37,38,39. In Suriname, descendants of runaway slaves also called themselves bush negroes or loweman pransun40.
Many scholars have called attention to the contributions of Africans in adapting their knowledge of tropical forests and other habitats to those they encountered in the Americas19,21,24. European colonizers and Africans encountered ecosystems that had been cultivated for centuries by Indigenous Peoples of the Americas. However, enslaved Africans emerged as key innovators in landscape management31. Due to domestication efforts in Africa spanning between 3000 and 8000 years, coupled with species exchanges with Asia, African tropical forests underwent a remarkable transformation into “food forests”20,21,22,23,24. These time-tested African practices subsequently crossed the Atlantic Ocean with enslaved individuals, ultimately being applied to the plants and animals of the Americas (Supplementary Table 15). Upon their arrival, both enslaved individuals and Maroon societies implemented management practices that replicated food forests, creating forest canopy structures that constituted functional reservoirs for dietary, medicinal, ritual, and festive purposes32,35. Spaces cultivated by enslaved Africans and ADP became integral components of plantation landscapes and Maroon livelihoods, including those in Colombia’s inter-Andean valleys41,42 and Ecuador’s Valle del Chota43. Similarly, botanical relics near former plantations in Suriname indicate practices employed by enslaved individuals for escape, which encompassed hiding crops, minimizing land clearing, avoiding fire, and cultivating diverse crop varieties. These escape agriculture practices, along with Maroon landraces, persist in the cultivation systems of their descendants44.
These studies offer explanations for the high biodiversity and irrecoverable carbon present within ADP lands. Accordingly, we suggest four key factors that link ADP management practices to sustainability and conservation. The first factor concerns adaptive strategies employed by ADP as they encountered a wide range of ecosystems. ADP often adapted their management practices developed for species brought from Europe and Africa to those they found in the Americas. This involved flexible use of native and introduced species in the constitution of management systems. Similarly, ADP adapted to distinct contexts in implementing their production systems, whether plantations, extractive systems, semi-urban conditions or deep forests.
A second factor concerns diversity among the systems that ADP implemented. Wherever ADP settled, they implemented a variety of sophisticated agricultural and livestock production techniques. Their agricultural production systems ranged from food plots to food gardens and agroforests. Their livestock production systems incorporated a diverse array of animals and foraging practices from tropical Africa. In both types of systems, ADP employed practices to imitate forest structures31,32,33,35,37,45.
The third factor is that ADP created management systems designed to support multiple management goals for survival. Over time, ADP women managed their lands not only by adapting culinary knowledge, but also by identifying species with medicinal properties32,45. Management for such multifaceted goals tended to result in highly agrobiodiverse landscapes. Because ADP management practices simulated forest structure, ADP landscapes constituted refuges for diverse plant and animal species with different uses, encouraging high biodiversity and carbon retention in biomass.
A fourth key factor is that ADP systems incorporated African ethnobotanical knowledge as well as spiritual beliefs about people, land, and forests, which ADP understood as fundamentally interrelated32,37,45. Management practices understood in terms of spiritual relationships served to support species diversity and landscape sustainability in ADP agroecosystems.
The process by which ADP adapted themselves to the opportunities and challenges presented by tropical ecosystems in the Americas played a crucial role in their transition from enslavement to freedom. This process, referred to as “environmental creolization”36, facilitated a degree of economic autonomy for ADP in Brazil and Colombia, leading to their active engagement in transforming tropical landscapes36,46. In their recent history, ADP have continued to adapt and transform landscape management practices that promote forest and biodiversity conservation47.
However, these management practices and production systems are threatened by biologically impoverished production systems, such as monocultures, which echo the colonial-era plantation model29. An example of this transformation from ADP-managed tropical landscapes to monoculture-oriented commodity markets occurred in Monte Oscuro in the northern region of Colombia’s Cauca department. In this region, an agroecological system based on ADP management of cocoa that kept tropical forests intact was replaced by sugarcane monoculture in the mid-20th century. This resulted in considerable deforestation and social deterioration, posing challenges for future development and conservation of ADP lands and traditional “food forests”41,42,48,49.
Discussion
Our analysis showed that there are high levels of biodiversity and carbon stocks within recognized ADP lands in Brazil, Colombia, Ecuador, and Suriname, and linked those findings to several historical processes by which ADP adapted and developed sustainable management practices. These findings highlight the crucial role of ADP contributions to global biodiversity conservation and climate commitments. At the global level, countries are seeking strategies to expand PAs to achieve the GBF target of conserving 30% of the world’s lands by 203016. In that context, given our findings, ADP lands should be recognized as important contributors, whether as other effective area-based conservation measures (OECMs) or other forms of protection promoted by ADP. The recognition of Afro-descendant contributions and ancestral knowledge during COP16 in Cali, Colombia15 marked a major step towards a more inclusive conservation model. This acknowledgment within the Convention on Biological Diversity (CBD) paves the way for ADP involvement in global biodiversity governance.
Our findings add to emerging evidence that ADP lands coincide with areas of high vertebrate species richness, similar to many Indigenous lands50,51,52. Although our study was limited to examining biodiversity within ADP lands in four countries, our research aligns with a previous study of 16 countries that found that ADP lands are often located in biodiversity hotspots and ecosystems of critical importance to conservation10. Our study builds on evidence highlighting the biodiversity contributions of ADP lands53,54,55,56 by examining terrestrial vertebrate species richness across multiple taxa and IUCN threat classifications. Nearly half of the threatened vertebrate species in the four countries examined have potential habitat within ADP lands.
Additionally, we provide key evidence to support further actions to advance the recognition of ADP roles within global climate policies. Countries worldwide are actively formulating strategies to attain carbon neutrality by 2050. For many countries in Latin America with extensive forest cover, deforestation remains a primary contributor to GHG emissions. This is particularly pronounced in countries such as Colombia, Ecuador, and Suriname, where land-use changes and forestry activities constitute the largest source of GHG emissions by sector57. In Brazil, the land-use and forestry sector ranks second in emissions, following agriculture57. Protecting forests is paramount for countries with extensive forest cover to achieve their Nationally Determined Contributions (NDCs) outlined in the Paris Agreement. By extending beyond national PAs, ADP lands are positioned as valuable areas that could contribute towards meeting national and international climate commitments. Since ADP lands in the study countries are covered by tropical and subtropical forests, have considerable irrecoverable carbon, and have experienced 29%–55% less deforestation compared to controls, supporting ADP resource management practices may represent an effective approach for reducing deforestation throughout the region. ADP practices also offer valuable insights for broader implementation of community-based sustainable forest management.
We quantified irrecoverable carbon in ecosystems that are important for climate change mitigation and within areas under communal tenure regimes. While a previous study determined that one third of global irrecoverable carbon is within Indigenous and Community lands20, it did not explicitly consider land tenure status nor quantify irrecoverable carbon within ADP lands. Our study addressed this gap by mapping and estimating irrecoverable carbon specifically within recognized ADP lands, highlighting their crucial role in protecting high carbon ecosystems like tropical forests58. Our findings complement previous research in Brazilian forests which shows that ADP lands are effective at sustaining stored carbon and reducing carbon emission rates from forest loss59.
The dual importance of ADP in biodiversity conservation and climate change mitigation also aligns ADP with global developmental goals, particularly SDGs 13 (climate action) and 14 (life on land), making a case for strong partnerships (SDG 17) with ADP to achieve these and other SDGs. Moreover, our socio-historical analysis suggests that traditional ADP practices have sustained resilient ecosystems for centuries. By valuing these practices, our study reveals their potential to inform solutions promoted by SDGs, GBF, and the Paris Climate Agreements. It opens opportunities to integrate ADP practices that simultaneously enhance equity, biodiversity, and climate change mitigation into global policies.
Results from the quasi-experimental analysis suggest that strengthening the role of ADP in policy formulation and securing ADP tenure rights are important mechanisms for advancing global biodiversity conservation and climate change mitigation. We found that ADP lands with tenure recognition were, on average, associated with significant avoided deforestation and avoided carbon emissions compared to controls. Notably, rates of forest loss were lowest on ADP lands overlapping PAs. This outcome could either represent opportunities to recognize ADP stewardship under the GBF or pose risks of undermining land rights, depending on the type of PA governance. More than half of the PAs overlapping ADP lands were governed by federal or national agencies, while less than a quarter were governed by Local Communities, according to the World Database of Protected Areas (WDPA) (Supplementary Fig. 3). While on-the-ground research is needed to better understand governance practices where ADP lands and PAs intersect, there is growing evidence that community-managed PAs and OECMs can be effective in achieving multiple environmental and social outcomes60,61, provided community land rights and priorities are respected. Outside and on the edges of PAs, ADP lands were associated with the greatest reductions in forest loss (36%–55%) observed in this study. The impact of ADP lands on deforestation outside of PAs was consistent across space – we found no evidence of deforestation being displaced to areas adjacent to ADP lands or spillover into areas just within the borders of ADP lands outside of PAs. These results mirror recent pantropical and national-level studies demonstrating significant avoided deforestation on lands of Indigenous Peoples62,63, whereas current evidence for ADP lands is limited12,13,64. This study indicates that ADP land stewardship and tenure recognition also stand to contribute to biodiversity and climate goals.
The social-historical assessment provides context for positive environmental outcomes in ADP lands documented through mapping and quasi-experimental analysis. Throughout the Americas, the African diaspora managed landscapes in ways that have conserved forests and biodiversity31,35,65,66. Numerous ADP cultural practices, rooted in both colonial and post-colonial survival strategies, included agrobiodiverse production systems that mimicked forest ecosystems that support sustainability. The innovations of ADP management practices and their contribution to cultural resilience alongside environmental conservation remains a vital contemporary solution to combat biodiversity loss and the climate crisis.
Similar to a study by the Rights and Resources Initiative (RRI) and Afro-organizations, our study underscores the urgent need for securing ADP territorial rights as a means to ensure environmental conservation and cultural survival10. Our socio-historical approach complements RRI and partners’ study by highlighting the contributions of ADP management practices that have been instrumental to enduring conservation of biodiversity and irrecoverable carbon. While previous studies provide a valuable lens on Black Geographies and Ecologies, they primarily focus on the United States context concerning racial and ecological equity26,27. We expand this scope by examining recognized ADP territories in four tropical countries in Latin America and socio-historical practices of ADP that originated in Africa and during the colonial period. Our work introduces additional dimensions to a Black Geographies and Black Ecologies framework by merging spatial and impact analysis with historical-environmental assessment, offering a more comprehensive understanding of ADP contributions to biodiversity and ecosystem conservation.
While ADP management practices are of immense cultural and ecological importance, ADP and their lands are under great pressure. ADP lands are often contiguous with other lands with diverse owners and differing land uses. Adjacent lands usually include plantation monocultures oriented to agroexports20,21,22,23,24,25,26,27,28,29 and extensive livestock systems. These agro-industrial production systems, managed for efficiency and expansion, predominate throughout the Americas67. Such biologically impoverished production systems exert pressure on ADP lands68 and threaten their high levels of biodiversity and irrecoverable carbon. A survey of ADP in Brazil showed that nearly all their lands faced pressures from infrastructure development, mining, and overlapping land claims69. In Colombia and Ecuador, ADP face escalating threats from violence, illicit economies, and the encroachment of armed and extractive actors endangering the lives, cultures, and livelihoods of ADP communities, particularly women and youth70,71,72. These pressures jeopardize the region’s fragile ecosystems and transform its biodiversity, cultural identity, and local economies through both licit and illicit monoculture production systems71. The matching analysis we conducted indicated that forest loss in ADP lands is lower but increasing, notably in Suriname, where rates of forest loss were relatively high within ADP lands outside PAs. Deforestation in ADP lands in Suriname has been attributed to logging and mining concessions as these lands lack formal recognition73. Small-scale and artisanal gold mining, livelihood sources for many Maroon communities in Suriname, are also known to drive deforestation74. Forest loss within ADP lands weakens the sustainability of ADP management systems and resilience of the forests and biodiversity they encompass. Further, forest loss undermines the material basis for ADP sustainable livelihoods and cultural beliefs and practices75, thus threatening ADP societies that have existed for generations.
Along with societal pressure, ADP face extreme climatic events like droughts and floods, which negatively impact their subsistence activities and livelihoods. In a dialogue with Conservation International about their ancestral territory, the ecosystems where they sustain their livelihoods, and the associated biodiversity, Saamaka people from the Pinkinslee community – one of six Maroon tribes of Suriname – identified over 15 varieties of Oryza glaberrima (African rice). However, when discussing the status of each variety, three were identified as being no longer cultivated. These varieties, despite their remarkable genetic diversity, are disappearing from the community’s biodiverse agroecosystems due to increasingly prolonged droughts, which prevent their propagation. ADP living in coastal areas of Ecuador face frequent and intense floods with negative impacts on health, food security, and production systems. Flooding increases the prevalence of infectious diseases (cholera, diarrhea, flu)76, limits ADP fishing capacity77, damages crops located on riverbanks, and threatens poultry farming76.
Based on empirical findings and urgency of threats, we propose policy and research recommendations to support ADP and their lands. Our first recommendation is to support legal recognition of ADP lands. Over 9.1 million ha of quilombo lands in Brazil and 1.76 million ha of ADP lands in Colombia remain unrecognized78. In Suriname, unrecognized land claims of the Maroon and Indigenous Peoples combined are estimated to exceed 10.5 million ha78. By demonstrating that legally recognized ADP lands contribute to significant reductions in rates of deforestation (29%–55%) compared to control sites, our study provides evidence of positive environmental outcomes associated with formal recognition of ADP land claims. Legal recognition of ADP lands has the potential to secure ADP resource rights for conservation purposes, thereby strengthening the position of ADP to make decisions regarding the use of their lands, including declaring them as OECMs or implementing other forms of protection. Legal recognition of ADP lands can improve ADP negotiating positions when facing outside economic interests, allowing ADP to ensure that their life plans and cultural practices are respected and sustained. Legal recognition of ADP lands can be anchored within SDG 1.4.2 and GBF Target 22 indicators, which track land tenure-related progress.
The second recommendation involves platforms like CBD and UNFCCC integrating sustainable ADP land management practices into conservation and climate policies. ADP practices are rooted in their ancestral knowledge, cultural identity, and spiritual belief systems. Recognition of their management practices would elevate ADP visibility in terms of acknowledging their rights and leadership in the conservation of biodiversity79 and irrecoverable carbon as well as increase representation of ADP through these policies. This recommendation can be implemented under GBF Target 21, which seeks inclusion of Indigenous and community knowledge into biodiversity action and would in turn support NDCs and National Biodiversity Strategies and Action Plans.
Lastly, we recommend support for researching ADP management practices and ecosystem dynamics to inform conservation and climate strategies. A gap remains in the current state of ADP knowledge systems and their link to contemporary management practices in relation to environmental conservation and climate change mitigation. It is crucial to identify the needs and priorities of ADP land management and consider future biodiversity loss, climate risks, and community vulnerabilities. Future research should map societal and climate-related threats specific to ADP lands to identify the most vulnerable locations and communities. This could be an important tool for prioritizing and channeling funds to ADP in areas needing urgent actions in conservation and climate adaptation. It is important to include both recognized and unrecognized lands in future analyses to more comprehensively represent the extent of ADP lands, and their potential for conserving biodiversity and irrecoverable carbon in the Americas.
We argue that ADP are important cultural and ecological stewards of their lands. Their sustainable management practices support positive conservation outcomes for biodiversity and climate. The documented management strategies of ADP, based in large part on adaptation across distinct contexts, make ADP vital environmental conservation partners against climate change. Support for ADP is urgent due to external threats to ADP lands and ADP cultural practices. Global environmental agreements, multilateral agencies, and governments should include ADP in environmental decision-making, and fund research and action to support ADP cultural practices that have led to environmental sustainability on their lands.
Methods
Mapping recognized Afro-descendant lands
We first collated and combined spatial datasets delineating ADP lands with legal tenure recognition. In the context of this paper, we use ADP lands, recognized ADP lands and recognized Afro-descendant lands interchangeably; all refer to delineated areas in which ADP communities possess recognized tenure (at minimum management rights). We considered ADP to have management rights if they can make decisions about their lands and resources within those lands.
We collected legal tenure information through which ADP land rights are recognized in each study country. We identified the legislation that first recognized the tenure system and rights of Afro-descendant communities to lands and waters and the years enacted, as well as the bundle of rights (access, use, management, exclusion, alienation) conferred to the communities through legislation, for each country (Supplementary Table 1). Legislation information was obtained primarily from FAOLEX80,81,82,83. Secondary supporting documents, such as peer-reviewed papers or NGO reports clarifying nuances or to better understand the legal frameworks and history of rights conferred, were obtained from other sources. ADP may also have other property rights described in the bundle of rights concept84.
Our study area covers four South American countries (Brazil, Colombia, Ecuador, and Suriname) where ADP communities have legally recognized land tenure rights to communal governance and management of their lands, and where we could obtain spatial datasets. In these countries, except for Suriname, ADP communities not only have legally recognized rights to manage lands but also possess or are in the process of receiving (such as in the case of certain quilombos in Brazil) collective titles through which they communally own delineated territories. In Suriname, ADP lack full legally recognized rights and thus are unable to obtain territorial ownership through collective titling or other means. However, we include ADP lands in Suriname in this study because we consider ADP in Suriname to at least have partial legally recognized tenure: through the Forest Management Act of 1992 (Wet Bosbeheer 1992, No. 80), they can have management rights to community forestry concessions for logging and customary land surrounding their villages. Recognized ADP lands in Suriname in our study represent areas that we could determine these management rights apply.
We obtained the recognized ADP lands datasets from the governmental web portals of Instituto Brasileiro de Geografia e Estatística (IBGE)85 for Brazil and Agencia National de Tierras (ANT)86 for Colombia; from EcoCiencia for Ecuador87; and from Conservation International for Suriname, which co-mapped spatial datasets in collaboration with and in support of the Matawai community (Supplementary Table 1). Country boundary polygons for all study countries were obtained from Global Administrative Areas (GADM) (version 4.1, 2022)88 and Esri89. Administrative unit boundary polygons were obtained from IBGE90 for Brazil, from Departamento Administrativo Nacional de Estadística (DANE)91 for Colombia, and from GADM (version 4.1, 2022)88 for Ecuador and Suriname.
Calculating the extent of ADP lands
To calculate areas of ADP lands, we used the ArcGIS Pro Python site package ‘ArcPy’ to automate spatial data processing and ensure that the ADP tenure spatial datasets would be uniformly processed. All ADP lands datasets were processed in ArcGIS Pro (version 3.2) and projected to WGS 1984 Web Mercator Auxiliary Sphere (WKID 3857) to maximize utility in calculating area numbers, determining areas of overlap across platforms, and overlaying other datasets. For consistency, all area values were then calculated using R Studio or Google Earth Engine (GEE).
There are limitations inherent to spatial analyses, which may occur due to approaches used to quantify the extent and presence of ADP lands. Limitations may be caused by different levels of accuracy for each input ADP lands dataset depending on how datasets were mapped by their creators, by the need to standardize ADP lands datasets to one coordinate system from different initial coordinate systems, and by differences between software and platforms used for processing and analysis (ArcGIS Pro, R, GEE). These limitations may also apply to other input datasets used.
The extent of recognized ADP lands we calculated does not reflect the extent of customary or ancestral territories of ADPs, much of which remains unrecognized. As such, our study only shows a conservative estimate of the extent of ADP lands in the four countries we examined, whereas ADP presence in other countries of the Americas and the Caribbean is documented elsewhere9,92. Further limitations to mapping the extent and presence are detailed in the Supplementary Note 1 section of this paper.
Mapping Afro-descendant presence
Information on the number and percentage of self-identified Afro-descendants in Brazil, Colombia, Ecuador, and Suriname (Supplementary Tables 3, 4) were derived from tabular datasets containing demographic information within level-2 administrative units from each country’s most recent census93,94,95,96. For Brazil and Colombia, Afro-descendant presence specifically within ADP lands, in addition to per administrative unit, was included as a component of population data for both censuses. For Ecuador and Suriname, since Afro-descendant presence was only included per administrative unit, we determined which administrative units overlap ADP lands by intersecting administrative unit88 and ADP land data we obtained for both countries. The Afro-descendant presence map (Supplementary Fig. 1) was created by joining census data with level-2 administrative unit data for each country (see administrative unit data sources in the Data Availability section below)88,90,91.
ADP lands, ecosystems, and protected areas
To provide additional context about the locations of ADP lands, we calculated the extent to which ADP lands overlap ecosystems and PAs within the study countries ArcGIS Pro (version 3.4). We determined which biomes and ecosystems overlap ADP territories in each country by projecting the RESOLVE Ecoregions and Biomes layer97 to WKID 3857, pairwise intersecting with the ADP territories layer, then calculating areas of overlap (ha). We determined which PAs overlap ADP territories by filtering the WDPA polygon layer98 by country (including Brazil, Colombia, Ecuador, and Suriname) and designation status (excluding Proposed), projecting to WKID 3857, pairwise intersecting with the ADP land layer, then calculating areas of overlap (ha). Since areas of overlap were determined through spatial analysis of polygon extents, we did not repeat this analysis for the WDPA points layer.
Calculating biodiversity within ADP lands
To estimate the spatial distribution of different levels of global importance for biodiversity in terms of terrestrial vertebrate species (amphibians, birds, mammals, and reptiles), we used a global RWR raster layer at 30-km resolution. This biodiversity metric shows the relative importance of a grid cell by accounting for both the number of species potentially present and the extent of their total ranges. The RWR raster, produced by IUCN using the Red List version 2023-1, represents where thousands of terrestrial vertebrate species are potentially present99,100,101. This metric is based on habitat ranges mapped by experts and informed by occurrence data, but values at a given point do not represent confirmed occurrences. Therefore, values represent the potential number of species present, given the overlap of geographic ranges with suitable habitat. The level of detail in the global database may not sufficiently capture local variations, and the accuracy of the database may vary by geographic region, as the quality of expert information could differ. These limitations have been captured by previous studies102.
Based on the global RWR raster, we estimated the spatial distribution of different levels of global biodiversity by calculating 5%, 10%, 15%, 20%, and 50% threshold values and masked the global raster to values at or above the corresponding thresholds. We clipped these masked global RWR rasters by the spatial extents of each region of interest (ROI): recognized ADP lands as well as overall areas nationally across the four study countries (Fig. 1). We then estimated how much of each ROI extent has high biodiversity by calculating the total number of pixels within each extent. The continent of Antarctica was removed from the global RWR raster before performing this analysis.
For additional biodiversity analysis, we evaluated the intersection of the spatial extent of each ROI with each species habitat range to generate lists of all terrestrial vertebrate species with ranges overlapping each ROI, as well as total species per taxonomic group (amphibians, birds, mammals, and reptiles) and IUCN Red List category (Critically Endangered, Endangered, Vulnerable, Lower Risk, Near Threatened, Least Concern, and Data Deficient)100,101. To account for ranges of certain species covering multiple countries in the study area, we analyzed each ROI individually within each country and across all study countries. With these output lists, for each ROI we determined the composition of terrestrial vertebrate species by their taxonomic groups and IUCN Red List categories and compared lists for all ROIs. All biodiversity spatial analysis was implemented in R statistical software version 4.3.1103, primarily through the’terra’ package version 1.7.39104.
Calculating irrecoverable carbon within ADP lands
We also intersected the spatial extent of each ROI with a global irrecoverable carbon20 raster to estimate total tonnes of irrecoverable carbon as well as generate lists of tonnes of irrecoverable carbon per ecosystem (mangroves, tropical and subtropical grasslands, tropical and subtropical forests, tropical and subtropical wetlands, and tropical peatlands). We generated these estimates for each ROI. We then calculated the proportion of irrecoverable carbon that is high irrecoverable carbon (>25 t/ha) following a previous publication20, and the average irrecoverable carbon (t/ha) within every ROI. Irrecoverable carbon values were generated using GEE.
We visualized levels of high irrecoverable carbon within recognized ADP lands and per country using the Irrecoverable Carbon 2018 dataset20 to map global irrecoverable carbon across ecosystems. We assigned the same irrecoverable carbon thresholds as the intersection analysis by a previous publication20 to the dataset’s pixel values, where areas containing high irrecoverable carbon have pixel values > 25 (t/ha).
The study by Noon et al. (2022) on mapping irrecoverable carbon does acknowledge certain limitations in quantifying irrecoverable carbon, including uncertainty in global estimates of irrecoverable carbon due to variability in data quality and availability across different ecosystems. This uncertainty can impact the precision of mapping. On smaller scales and at the pixel-level, this uncertainty falls within reasonable ranges; thus, we do not anticipate that this global uncertainty will significantly affect this study or the relative comparison of high irrecoverable carbon concentrations within ADP lands.
Quasi-experimental design and analysis: sampling grid
We subsampled areas inside and outside of ADP lands using a 300 m resolution sampling grid. This cell size was chosen to balance considerations of sample size, computation time, and spatial coverage of ADP lands (e.g., data exploration showed that larger cell sizes would exclude coverage of many smaller ADP polygons). To produce the sampling grid for statistical matching and quantifying forest cover change, we first overlaid ADP lands from Brazil, Colombia, Ecuador, and Suriname with country boundaries and removed island regions (Providencia Island, Colombia, and Galápagos Islands, Ecuador) that did not intersect with our spatial dataset of ADP lands. To generate treatment cells – i.e., sample cells within ADP lands – we created a 300 m grid covering the extent of ADP lands within each country. From this grid, we then randomly selected 10% of cells that fully overlapped ADP polygons. We subsetted in this way to (1) improve computation time at all steps in the data and analytical pipeline and (2) to reduce the potential spatial autocorrelation among grid cells. To generate a pool of potential control cells for matching, we first masked out ADP lands (including a 500 m buffer around ADP polygons) from country polygons and also excluded areas within 5 km of country borders. We then generated a 300 m resolution spatial grid from this masked area and randomly sampled cells within each country at a percentage that yielded a 20:1 control:treatment ratio. This ratio of control:treatment cells was chosen to balance computation limitations with the need for an excess of potential control cells to improve matching outcomes. This entire process was then repeated with the added step of masking out Indigenous Peoples and Local Communities (IP and LC) lands (Supplementary Table 16) (including a 500 m buffer around polygons) from control cell grids to create a complementary, IP and LC-exclusive sampling grid. The same seed was used to randomize subsetting of treatment cells in both the IP and LC-inclusive and IP and LC-exclusive sampling grids, meaning that treatment cells did not differ between the two sets. All spatial data processing for the quasi-experimental analyses was conducted in R, primarily using the terra package104 (version 1.7-55).
Quasi-experimental design and analysis: spatial covariates
We then extracted covariate information for each cell in the sampling grids by intersecting grids with multiple spatial layers representing factors that are known to influence the outcomes of forest cover, forest cover change, and associated carbon emissions. We first extracted PA information for each cell from the WDPA98. PAs represented only by point data were first buffered by their respective reported areas as recommended for analyses by maintainers of the WDPA at UNEP-WCMC. We excluded PAs for which designation status was Proposed or for which status designations were not available. Data extracted included original WDPA layer information (i.e., PA name, governance type, designation, IUCN category, etc.), the proportion of the cell that overlapped a PA, and whether the information was derived from a polygon or buffered point. PA information was preferentially extracted where cells overlapped spatially explicit PA polygons. For cells that overlapped multiple distinct PAs, preference was given to the PA with maximal overlap. In cases with equal areas of overlap, information from all relevant PAs was extracted. We also calculated the proportion of overlap of cells with IP and LC lands and territories.
We extracted six additional covariates from raster layers for each cell, including climate variables, elevation, and variables that characterize human modification of lands and access to markets and services, including the Human Impact Index, population density, and travel time to cities (Supplementary Table 14). We also calculated the distance between the centroid of each cell in the sampling grid and the nearest ADP polygon boundary, to examine distance dependence of potential ADP effects on forest loss. Sampling grids were then uploaded to GEE, which was used to extract yearly (2001–2021) forest cover as the difference between forest cover in the baseline year (2000) and the amount of forest loss occurring each subsequent year using the Global Forest Change (GFC) dataset105. To estimate the CO2e associated with forest loss, we first converted biomass data for each cell. Below-ground biomass (BGB) was estimated from above-ground biomass (AGB) using the equation below from a previous study106:
\({BGB}=0.489\times {{AGB}}^{0.89}\)
Next, we summed AGB and BGB to obtain the total biomass. This total biomass was then converted to biomass carbon (t C ha–¹) by multiplying by 0.5. Finally, we converted biomass carbon to carbon dioxide equivalent (t CO2e ha–¹) using the conversion factor of 3.67, based on the relationship that 1 tonne of carbon is equivalent to 44/12 tonnes of carbon dioxide. We then calculated rates of forest loss as the slope of a linear model fit to forest cover across all years in each grid cell and calculated total CO2e associated with forest loss as the sum of CO2e across all years for each cell.
Quasi-experimental design and analysis: matching approach
The purpose of statistical matching here is to reduce the influence of location bias on our estimates of the effects of ADP lands on rates of deforestation63. The locations of both ADP lands and geographic patterns of forest loss in the study region are likely non-random with respect to the distributions of human populations and land use, PAs, infrastructure, and accessibility. We performed statistical matching to improve the balance in the multivariate distributions of these potentially confounding variables between samples inside and outside ADP lands, allowing for a more accurate estimation of the effect of ADP lands on rates of forest loss. We first assessed correlations among possible matching variables (removing temperature as a matching variable, which was highly correlated with precipitation) and removed any grid cells without forest cover (<0.01 ha forest cover in 2000 in 9 ha cells, or < 0.11% forest cover). We then conducted matching separately for each country – i.e., ADP cells were only matched to controls within the same country – to account for socioeconomic and political drivers (e.g., GDP and national governance) that can vary substantially among countries. We matched each ADP cell to one control cell without replacement. The matching function minimized multivariate Mahalanobis distances between treatment and control cells for the following matching variables: the proportion of (maximum) PA coverage, forest cover in 2000, mean monthly precipitation, mean elevation, Human Impact Index, the natural log of population density, and the travel time to city (Supplementary Table 10). Matching was carried out using the R package MatchIT107 (version 4.5.5).
We performed an initial round of matching without using calipers (a parameter imposing minimum difference between matched variables), thereby keeping every ADP cell, along with an equal number of matching control cells, regardless of match quality. We then conducted a second round of matching, imposing minimal calipers determined through trial and error to keep the absolute standard mean difference of each variable in each country’s matched set below 0.25. This resulted in more closely matched cells at the cost of excluding some treatment cells for which there were not sufficiently similar controls in environmental space. Matching sets from each country were merged back together, resulting in four final, matched datasets: a calipered and non-calipered matched set each from both the IP and LC-inclusive and IP and LC-exclusive sampling grids. We fit models (as described below) with each of these datasets to assess the robustness of results to data processing decisions. We found that results were qualitatively consistent across datasets. We present results from the matched dataset with calipers and masking of IP and LC lands from the pool of controls.
Quasi-experimental design and analysis: avoided deforestation and carbon emissions
To estimate the effect of ADP lands on rates of forest loss and associated carbon emissions, as well as variation across countries and distance classes, we fit multiple Bayesian Generalized Linear Mixed models. We specified a Gamma probability distribution for each model to accommodate the right skewed and positive, continuous distributions of the response variables. We analyzed variation in two response variables: rates of annual forest loss and total CO2e associated with forest loss in each cell. To assess the overall impact of ADP lands on the response variables, we fit models with a categorical explanatory variable representing the six-level factorial combination of treatment (ADP vs. control cells) and PA category (cells fully inside PA, on PA edges, and fully outside PA). In these models, we also included the additive covariates of country, forest cover in 2000, mean monthly precipitation, mean elevation, Human Impact Index, and the natural log of travel time to city to control for any leftover variation in these variables post-matching (Supplementary Table 10). All continuous covariates were centered and scaled before modeling. Spatial correlograms indicated some spatial autocorrelation among grid cells at distances up to 200 km in some cases, likely reflecting large-scale, regional variation in forest loss. To account for spatial non-independence, we generated a 200 km spatial grid and grouped the 300 m sample cells that occurred within the same 200 km grid cell. We then included the 200 km grid cell ID as a varying intercept in the models, thereby accounting for potential non-independence of sample cells at this scale. To evaluate variation in the impacts of ADP lands across countries, we fit the same model structures described above, except we included the interaction between the country and the ADP-PA factor. To evaluate rates of forest loss at different distances from ADP polygon boundaries, we created a composite variable that reflected the 18-level factorial combination of treatment, PA category, and distance to ADP borders ( < 1 km, 1–10 km, and >10 km). We fit all models described above in Stan using the ‘brms’ package version 2.21.0108 to interface with R. For each model, we specified normal, uninformative priors for main effects parameters and ran eight chains for a total of 5000 iterations, discarding 500 iterations as burnin, and sampling every 20 iterations. We ensured that the chains mixed adequately and converged by inspecting traceplots and the Gelman-Rubin statistic (all ~1.0).
Potential limitations of this analysis include the possibility that unknown and unmeasured confounders may bias estimates of impact, even though we accounted for multiple potential confounders through matching. This is an inherent limitation of all large-scale quasi-experimental analyses that rely on remotely sensed datasets. In addition, there was limited forest cover change data prior to tenure recognition of the ADP polygons, which did not allow for robust analysis of before-after comparisons of tenure recognition. Therefore, our inferences are limited to control-impact comparisons across space. Codes related to the biodiversity, irrecoverable carbon, and quasi-experimental analysis are deposited in Zenodo109.
Social-historical assessment
In our study, we use a mixed methods approach with a concurrent convergence design110 to combine various research methods. This interdisciplinary approach aims to provide a comprehensive understanding of the contributions of ADP to conservation and climate solutions.
For the social-historical assessment, we drew from multiple academic disciplines and sources to illuminate the factors influencing the situation under study through qualitative methods: the settlement patterns of enslaved individuals in the Americas and their management of tropical ecosystems, with a specific focus on livelihood practices. These two categories guided the content analysis and facilitated the collection and analysis of descriptive and contextual data from the consulted texts. We reviewed interdisciplinary sources, including works by historians, geographers, anthropologists, botanists, paleontologists, and environmental sociologists. We extensively reviewed Chapter 13, titled “African Presence in the Amazon: A Glance” from the Scientific Panel for the Assessment of the Amazon which included 100 references33. Additionally, we used the Web of Science digital library due to its provision of high-quality bibliographic records and identified 35 more references using the snowball technique to address our selected categories effectively.
The snowball technique led us to bibliographic references focused on regions of origin and domestication of numerous plant and animal species introduced to the Americas. A small but important body of scholarship—primarily from non-Spanish-speaking countries and published in English, Portuguese, and Dutch—has documented the African and Asian origins of many of these species. Although not directly tied to global economic systems, these species played a vital role in the subsistence and food practices of newly arrived populations to the Americas, including ADP. As a result, origin and domestication emerged as a third analytical category, emphasizing Afro-descendant ecosystem management practices and revealing their contributions to biodiversity and environmental stewardship, particularly in Suriname, Brazil, and Colombia. We found fewer references addressing this topic in the case of Ecuador. These scholars also trace the introduction and ecological adaptation of such species within Afro-descendant settlements—ranging from plantations and mining zones to forested regions where Maroons sought refuge. The association between species domestication and these settlement patterns enabled us to trace practices developed in Africa and adapted to the ecological conditions of the American tropics.
There is a linguistic and geographic gap in the literature we reviewed. Many key contributions of ADP to the Americas are documented in non-Spanish-speaking countries, often in English, Portuguese, and Dutch languages. This language barrier limited the analysis and likely excluded valuable insights. Together with spatial and statistical analysis, future research should explore non-Spanish and non-English literature and highlight ADP current practices from underrepresented regions and countries to gain a fuller understanding of ADP’s role in conservation.
Reporting summary
Further information on research design is available in the Nature Portfolio Reporting Summary linked to this article.
Data availability
Data generated or analyzed during this study are included in this article and its Extended Data section. Data are also accessible through Zenodo public data repository at https://doi.org/10.5281/zenodo.15537255. Afro-descendant land data for Brazil and Colombia are freely available at https://www.ibge.gov.br/estatisticas/sociais/populacao/22827-censo-demografico-2022.html?edicao=37415 and at https://www.colombiaenmapas.gov.co/, respectively, but also can be made available from the authors upon reasonable request. The authors cannot share ADP land data for Ecuador and Suriname due to data sharing restrictions but provide source information for data used. The Afro-descendant census data used to map ADP presence are freely available from each country’s census bureau/statistical agency (refs. 93,94,95,96): for Brazil at https://www.ibge.gov.br/estatisticas/sociais/populacao/22827-censo-demografico-2022.html?edicao=37415; for Colombia at https://www.dane.gov.co/index.php/estadisticas-por-tema/demografia-y-poblacion/censo-nacional-de-poblacion-y-vivenda-2018; for Ecuador at https://www.censoecuador.gob.ec/resultados-censo/; and for Suriname at https://statistics-suriname.org/censusstatistieken-2012-2/. Administrative unit data are freely available for each country through their census bureau/statistical agencies and GADM (refs. 88,90,91) at https://www.ibge.gov.br/geociencias/organizacao-do-territorio/malhas-territoriais/15774-malhas.html; at https://geoportal.dane.gov.co/servicios/descarga-y-metadatos/datos-geoestadisticos/; and at https://gadm.org/data.html. The country boundary data are freely available from GADM and ESRI (refs. 88,89) at https://gadm.org/data.html and https://hub.arcgis.com/datasets/esri::world-countries-generalized/. The ecoregions data are freely available from https://ecoregions.appspot.com/. The protected areas data are available by request for non-commercial use from UNEP-WCMC and IUCN at https://www.protectedplanet.net/. The biodiversity data are available by request for non-commercial use from IUCN at https://www.iucnredlist.org/resources/other-spatial-downloads/ and at https://www.iucnredlist.org/resources/grid/ as well as from BirdLife International at http://datazone.birdlife.org/species/requestdis/. The irrecoverable carbon data are freely available for non-commercial use from https://zenodo.org/records/4091029. The Indigenous Peoples and Local Communities lands data used in the quasi-experimental analysis were obtained from the sources listed in Supplementary Table 16. The data will also be available from the corresponding author of this article upon reasonable request. Only those data for which authors have permission to share will be shared. All relevant input data for quasi-experimental analysis is publicly accessible at https://doi.org/10.5281/zenodo.15537255 and the sources are listed in Supplementary Table 10.
Code availability
All codes used in the study are available via Zenodo at https://doi.org/10.5281/zenodo.15537255109. The irrecoverable carbon code can also be directly accessed via Google Earth Engine at https://code.earthengine.google.com/388cc36edcc398f845ac514ffa68ca18.
References
Intergovernmental Science-Policy Platform on Biodiversity and Ecosystem Services (IPBES). Global Assessment Report on Biodiversity and Ecosystem Services of the Intergovernmental Science-Policy Platform on Biodiversity and Ecosystem Services. https://zenodo.org/record/5657041 (2019).
International Panel on Climate Change (IPCC). Climate Change and Land: An IPCC Special Report on Climate Change, Desertification, Land Degradation, Sustainable Land Management, Food Security, and Greenhouse Gas Fluxes in Terrestrial Ecosystems. 906 https://www.ipcc.ch/srccl/ (2019).
McElwee, P. et al. Working with Indigenous and local knowledge (ILK) in large-scale ecological assessments: Reviewing the experience of the IPBES Global Assessment. J. Appl. Ecol. 57, 1666–1676 (2020).
Cottrell, C. Avoiding a new era in biopiracy: Including indigenous and local knowledge in nature-based solutions to climate change. Environ. Sci. Policy 135, 162–168 (2022).
Krug, C. B. et al. Stakeholder participation in IPBES: Connecting local environmental work with global decision making. Ecosyst. People 16, 197–211 (2020).
Cariño, J. & Ferrari, M. F. Negotiating the Futures of Nature and Cultures: Perspectives from Indigenous Peoples and Local Communities about the Post-2020 Global Biodiversity Framework. J. Ethnobiol. 41, 192–208 (2021).
Moreno-Zapata, P. 6. Biodiversity management: A current trace of the African diaspora. in African Brain Circulation 127–141 (Brill, Leiden, The Netherlands, 2007).
Murillo, L. G. & Lalinde, M. A. Environmental equity and racial justice: Natural climate solutions in the Amazon and the Black/Afro-descendant Natural Belt of the Americas. Sur - Int. J. Hum. Rights 18, 143–148 (2021).
World Bank. Afro-Descendants in Latin America: Toward a Framework of Inclusion. 136 https://doi.org/10.1596/30201 (2018).
Rights and Resources Initiative (RRI), Process of Black Communities (PNC), Pontifical Universidad Javeriana’s Observatory of Ethnic and Campesino Territories (OTEC), & National Coordination of Articulation of Rural Black Quilombola Communities (CONAQ). Afro-Descendant Peoples’ Territories in Biodiversity Hotspots across Latin America and the Caribbean: Barriers to Inclusion in Conservation Policies. 37, https://rightsandresources.org/publication/afro-descendant-peoples-biodiversity-hotspots/ (2023).
Vélez, M. A., Robalino, J., Cardenas, J. C., Paz, A. & Pacay, E. Is collective titling enough to protect forests? Evidence from Afro-descendant communities in the Colombian Pacific region. World Dev 128, 104837 (2020).
Pacheco, A. & Meyer, C. Land tenure drives Brazil’s deforestation rates across socio-environmental contexts. Nat. Commun. 13, 5759 (2022).
Alves-Pinto, H. N. et al. The role of different governance regimes in reducing native vegetation conversion and promoting regrowth in the Brazilian Amazon. Biol. Conserv. 267, 109473 (2022).
Magallanes-Blanco, C. Afro-descendancies in Latin America: Afrodescendencias. Voces en resistencia, edited by Rosa Campoalegre Septién, Buenos Aires, CLACSO, 2018, 334 pp. Tapuya Lat. Am. Sci. Technol. Soc. 5, 2117480 (2022).
Convention on Biological Diversity (CBD). Convention on Biological Diversity (CBD) Decision adopted by the Conference of the Parties to the Convention on Biological Diversity on 1 November 2024, CBD/COP/DEC/16/6 (2024).
Convention on Biological Diversity (CBD). Kunming-Montreal Global Biodiversity Framework, CBD/COP/DEC/15/4 (2022).
United Nations. The UN Sustainable Development Goals. https://unosd.un.org/content/sustainable-development-goals-sdgs (2015).
United Nations Framework Convention on Climate Change. Paris Agreement to the United Nations Framework Convention on Climate Change (2015).
Williams, P. et al. A Comparison of Richness Hotspots, Rarity Hotspots, and Complementary Areas for Conserving Diversity of British Birds. Conserv. Biol. 10, 155–174 (1996).
Noon, M. L. et al. Mapping the irrecoverable carbon in Earth’s ecosystems. Nat. Sustain. 5, 37–46 (2022).
Mosley, S. Common ground: Integrating social and environmental history. J. Soc. Hist. 39, 915–933 (2006).
The Turning Points of Environmental History. (University of Pittsburgh Press). https://doi.org/10.2307/j.ctt5hjsg1 (2010).
Turner, K. L., Idrobo, C. J., Desmarais, A. A. & Peredo, A. M. Food sovereignty, gender and everyday practice: the role of Afro-Colombian women in sustaining localised food systems. J. Peasant Stud. 49, 402–428 (2022).
Limeberry, V. (Agro)Biodiversity in Resistance: Indigenous and Afro-descendant Territorial Rights via Environmental Governance in the Americas. (American University, Washington, D.C, 2023).
Dotson, T. E. Regenerative Revolution: Planning for Regenerative Transformation through Black Ancestral Ecological Knowledge. (California Polytechnic University, Pomona, 2024).
Moulton, A. A. & Salo, I. Black Geographies and Black Ecologies as Insurgent Ecocriticism. Environ. Soc. 13, 156–174 (2022).
Moulton, A. A. Racializing Nature: The Place of Race in Environmental Imaginaries and Histories. in Doing Political Ecology 238–257 (Routledge, 2024).
Pérez-Escobar, O. A. et al. The Origin and Diversification of the Hyperdiverse Flora in the Chocó Biogeographic Region. Front. Plant Sci. 10, 1–9 (2019).
Mejía, J. F. et al. Towards a Mechanistic Understanding of Precipitation Over the Far Eastern Tropical Pacific and Western Colombia, One of the Rainiest Spots on Earth. J. Geophys. Res. Atmospheres 126, e2020JD033415 (2021).
Griscom, B. W. et al. National mitigation potential from natural climate solutions in the tropics. Philos. Trans. R. Soc. B Biol. Sci. 375, 20190126 (2020).
Carney, J. A. & Voeks, R. A. Landscape legacies of the African diaspora in Brazil. Prog. Hum. Geogr. 27, 139–152 (2003).
Carney, J. A. Subsistence in the Plantationocene: dooryard gardens, agrobiodiversity, and the subaltern economies of slavery. J. Peasant Stud. 48, 1075–1099 (2021).
Rosero-Peña, M. C. Chapter 13: African presence in the Amazon: A glance. in Amazon Assessment Report 2021 (eds. Nobre, C. et al.) (UN Sustainable Development Solutions Network (SDSN), New York, NY). https://doi.org/10.55161/CDPM6805 (2021)
Leal, C. M. & van Ausdal, S. Paisajes de libertad y desigualdad: Historias ambientales de las costas Pacífica y Caribe de Colombia. in Desigualdades socioambientales en América Latina 169–210 (Universidad Nacional de Colombia, Bogotá, Colombia, 2014).
Carney, J. A. & Rosomoff, R. N. In the Shadow of Slavery: Africa’s Botanical Legacy in the Atlantic World (University of California Press, 2009).
de la Torre, O. The People of the River: Nature and Identity in Black Amazonia, 1835–1945 (University of North Carolina Press, 2018).
Voeks, R. A. Traditions in transition: African diaspora ethnobotany in lowland South America. in Mobility and migration in Indigenous Amazonia: Contemporary ethnoecological perspectives (ed. Alexiades, M. N.) 275–294 (Berghahn Books, New York, NY, 2009).
Agorsah, E. K. The other side of freedom: The Maroon trail in Suriname. in African re-genesis: Confronting social issues in the diaspora (eds. Haviser, J. B. & MacDonald, K. C.) 191–203 (Routledge, New York, 2006) https://doi.org/10.4324/9781315435374.
D’Salete, M. from Cumbe. Callaloo 41, 70–72 (2018).
Kambel, E.-R. Indigenous Peoples and Maroons in Suriname. (2006).
Aprile-Gniset, J. Los pueblos negros caucanos y la fundación de Puerto Tejada (Imprenta Departamental del Valle, Colombia, 1994).
Arocha, J. Unidades de producción nortecaucanas (Colombia): Modernización y funcionamiento. América Negra 9, 185–205.
Bouisson, E. Esclavos de la tierra: los campesinos negros del Chota-Mira, siglos XVII-XX. Procesos. Revista Ecuatoriana de Historia 45–67 (1997).
Heilbron, T. Botanical relics of the plantations of Suriname. (Universiteit van Amsterdam, Amsterdam, Netherlands, 2012). https://doi.org/10.13140/RG.2.2.17800.93440.
Leal, C., Van Ausdal, S., Miraglia, M. M., Dutra, E. & Silva, S. Africa and the Americas in the Columbian Exchange: an Interview with Judith Carney. Hist. Ambient. Latinoam. Caribeña HALAC Rev. Solcha 10, 380–401 (2020).
Leal, C. M. Black forests: The Pacific lowlands of Colombia, 1850–1930 (University of California, Berkeley, Berkeley, CA, 2004).
Prado, H. M., Murrieta, R. S. S., Shepard, G. H., de Lima Souza, T. & Schlindwein, M. N. Sympathetic science: analogism in Brazilian ethnobiological repertoires among quilombolas of the Atlantic forest and Amazonian ribeirinhos. J. Ethnobiol. Ethnomedicine 18, 1 (2022).
Mina, M. Esclavitud y libertad en el valle del Río Cauca. (Ediciones Uniandes-Universidad de los Andes, 2011).
Pensar el suroccidente: Antropología hecha en Colombia (Universidad Icesi, Cali, Colombia, 2019).
O’Bryan, C. J. et al. The importance of Indigenous Peoples’ lands for the conservation of terrestrial mammals. Conserv. Biol. 35, 1002–1008 (2021).
Schuster, R., Germain, R. R., Bennett, J. R., Reo, N. J. & Arcese, P. Vertebrate biodiversity on indigenous-managed lands in Australia, Brazil, and Canada equals that in protected areas. Environ. Sci. Policy 101, 1–6 (2019).
Resende, F. M. et al. The importance of protected areas and Indigenous lands in securing ecosystem services and biodiversity in the Cerrado. Ecosyst. Serv. 49, 101282 (2021).
Mair, L. et al. A metric for spatially explicit contributions to science-based species targets. Nat. Ecol. Evol. 5, 836–844 (2021).
Rodrigues, A. S. L. et al. Spatially Explicit Trends in the Global Conservation Status of Vertebrates. PLOS ONE 9, e113934 (2014).
Jenkins, C. N., Pimm, S. L. & Joppa, L. N. Global patterns of terrestrial vertebrate diversity and conservation. Proc. Natl. Acad. Sci. 110, E2602–E2610 (2013).
Soto-Navarro, C. et al. Mapping co-benefits for carbon storage and biodiversity to inform conservation policy and action. Philos. Trans. R. Soc. B Biol. Sci. 375, 20190128 (2020).
Ritchie, H., Rosado, P. & Roser, M. C. O2 and Greenhouse Gas Emissions. Our World Data (2023).
Osborne, T. et al. Climate justice, forests, and Indigenous Peoples: toward an alternative to REDD + for the Amazon. Clim. Change 177, 128 (2024).
Viet, P., Gibbs, D. & Reytar, K. Indigenous forests are some of the Amazon’s last carbon sinks. https://www.wri.org/insights/amazon-carbon-sink-indigenous-forests (2023).
Alejo, C., Walker, W. S., Gorelik, S. R. & Potvin, C. Community Managed Protected Areas Conserve Aboveground Carbon Stocks: Implications for REDD+. Front. For. Glob. Change 5, 1–19 (2022).
Gurney, G. G. et al. Biodiversity needs every tool in the box: use OECMs. Nature 595, 646–649 (2021).
Sze, J. S., Carrasco, L. R., Childs, D. & Edwards, D. P. Reduced deforestation and degradation in Indigenous Lands pan-tropically. Nat. Sustain. 5, 123–130 (2022).
Schleicher, J. et al. Statistical matching for conservation science. Conserv. Biol. 34, 538–549 (2020).
Velez, M. A. Collective Titling and the Process of Institution Building: The New Common Property Regime in the Colombian Pacific. Hum. Ecol. 39, 117–129 (2011).
Carney, J. A. & Acevedo Marín, R. Plantas de la Diáspora Africana en la botánica americana de la fase Colonial. Mem. Soc. 7, 9–23 (2003).
Quintero-Angel, M., Coles, A. & Duque-Nivia, A. A. A historical perspective of landscape appropriation and land use transitions in the Colombian South Pacific. Ecol. Econ. 181, 106901 (2021).
Song, X.-P. et al. Massive soybean expansion in South America since 2000 and implications for conservation. Nat. Sustain. 4, 784–792 (2021).
Guerena, A. Unearthed: Land, Power and Inequality in Latin America. https://www-cdn.oxfam.org/s3fs-public/file_attachments/bp-land-power-inequality-latin-america-301116-en.pdf (2016).
A. Oviedo, W. P. Lima, & Francisco das Chagas Sousa. As Pressões Ambientais nos Territórios Quilombolas no Brasi. https://acervo.socioambiental.org/acervo/documentos/pressoes-ambientais-nos-territorios-quilombolas-no-brasil (N.D).
Boudewijn, I. A. M., Bone, J. C. F., Jenkins, K. & Zaragocin, S. Afro-Ecuadorian Women, Territory and Natural Resource Extraction in Esmeraldas, Ecuador. Prog. Dev. Stud. 24, 321–339 (2024).
Huezo, A. Contested natures: Coca, the War on Drugs, and ecologies of difference in Colombia’s Afro-Pacific. J. Polit. Ecol. 26, 305–322 (2019).
Ospina, H. & P, M. Afro Colombian communities, conflict, and collective land titling. (Rutgers University - School of Graduate Studies, 2020). https://doi.org/10.7282/t3-0pnt-b903.
Ramirez Gomez, S. O. & Bourgoin, J. Suriname: The Greenest Country in the World? The Case of the Saamaka and Their Fight against Deforestation (2024).
The Amazon Conservation Team. Amazon Gold Rush: Gold Mining in Suriname. https://www.amazonteam.org/maps/suriname-gold/ (2015).
Pasquini, M. W., Mendoza, J.-S. & Sánchez-Ospina, C. Traditional Food Plant Knowledge and Use in Three Afro-Descendant Communities in the Colombian Caribbean: Coast: Part I Generational Differences. Econ. Bot. 72, 278–294 (2018).
Salinas-Castro, R. V., Cevallos, W. & Levy, K. Afrodescendientes e indígenas vulnerables al cambio climático: desacuerdos frente a medidas preventivas estatales ecuatorianas. Íconos - Rev. Cienc. Soc. 107–129 https://doi.org/10.17141/iconos.66.2020.4012 (2020).
Cadilhac, L. Ecuador: Comunidades afrodescendientes protegen su territorio y cultura frente a la crisis climática. Programa Mundial de Alimentos. https://es.wfp.org/historias/ecuador-afrodescendientes-protegen-su-territorio-y-cultura-frente-la-crisis-climatica (2021).
Rights and Resources Initiative (RRI). Estimated Area of Land and Territories of Indigenous Peoples, Local Communities and Afro-Descendants Where Their Rights Are Not Recognized. 32 https://rightsandresources.org/wp-content/uploads/Area-Study-v2021.pdf (2020).
Reyes-García, V. et al. Recognizing Indigenous peoples’ and local communities’ rights and agency in the post-2020 Biodiversity Agenda. Ambio 51, 84–92 (2022).
República de Colombia. Constitución Política de Colombia (1991).
República del Ecuador. Constitución de la República del Ecuador (2008).
República Federativa do Brasil. Constituição da República Federativa do Brasil de 1988 (1988).
Republiek Suriname. Forest Management Act of 1992 (1992).
Schlager, E. & Ostrom, E. Property-rights regimes and natural resources: A conceptual analysis. Land Econ 68, 249–262 (1992).
Instituto Brasileiro de Geografia e Estatística - IBGE. Territórios Quilombolas Oficialmente Delimitados por Unidade da Federação – 2022 (2023).
Agencia Nacional de Tierras - ANT. Territorios de Comunidades Negras de Colombia (2023).
EcoCiencia. Socio-environmental Information System of the Chocó Manabí Corridor (2011).
University of California, Berkeley. Global Administrative Areas Version 4.1. GADM (2022).
Esri. World Countries Generalized (2023).
Instituto Brasileiro de Geografia e Estatística - IBGE. Malha municipal digital e áreas territoriais: 2022 (2022).
Departamento Administrativo Nacional de Estadística - DANE. Versión MGN2018-Nivel Departamento (2018).
Rights and Resources (RRI). Mapping the Presence, Lands, and Territories of Afro-Descendant Peoples in Latin America and the Caribbean: Findings and Challenges for the Climate Debate and Collective Tenure Rights. https://rightsandresources.org/wp-content/uploads/AfroCOPBrief_English_v146.pdf (2022).
Instituto Nacional de Estadística y Censos – INEC. Tabela 1.2 – Población por autoidentificación según cultura y costumbres, según provincia, cantón, parroquia de residencia y sexo al nacer (Componente de Metodología y Análisis – CPV 2022).
Algemeen Bureau voor de Statistiek in Suriname (General Bureau of Statistics). Excel Districten naar Ressort en Etnische groep Census 8 (Censusstatistieken 2012) (2012).
Instituto Brasileiro de Geografia e Estatística - IBGE. População residente, total e quilombola, por localização do domicílio - Primeiros Resultados do Universo - Municípios (População quilombola) (2023).
Departamento Administrativo Nacional de Estadística - DANE. Cuadros personas demografícas - CNPV 2018 (2022).
Dinerstein, E. et al. An Ecoregion-Based Approach to Protecting Half the Terrestrial Realm. BioScience 67, 534–545 (2017).
UNEP-WCMC and IUCN. Protected Area Profile for Latin America & Caribbean from the World Database on Protected Areas, June 2023. World Database on Protected Areas (2023).
IUCN. Red List version 2023-1 Rarity-Weighted Richness (2023).
BirdLife International & Handbook of the Birds of the World. Bird species distribution maps of the world. BirdLife International Data Zone (2020).
IUCN. The IUCN Red List of Threatened Species. IUCN Red List (2021).
Brooks, T. M. et al. Measuring terrestrial area of habitat (AOH) and its utility for the IUCN Red List. Trends Ecol. Evol. 34, 977–986 (2019).
R Core Team. R: A Language and Environment for Statistical Computing. R Foundation for Statistical Computing (2023).
Hijmans, R. terra: Spatial Data Analysis (2023).
Hansen, M. C. et al. High-Resolution Global Maps of 21st-Century Forest Cover Change. Science 342, 850–853 (2013).
Mokany, K., Raison, R. J. & Prokushkin, A. S. Critical analysis of root: shoot ratios in terrestrial biomes. Glob. Change Biol. 12, 84–96 (2006).
Ho, D., Imai, K., King, G. & Stuart, E. A. MatchIt: Nonparametric Preprocessing for Parametric Causal Inference. J. Stat. Softw. 42, 1–28 (2011).
Bürkner, P.-C. brms: An R Package for Bayesian Multilevel Models Using Stan. J. Stat. Softw. 80, 1–28 (2017).
Sangat, S. S. et al. Data outputs and code for ‘Afro-descendant lands in South America contribute to biodiversity conservation and climate change mitigation’ (1.0) [Data set]. Zenodo. https://doi.org/10.5281/zenodo.15537255 (2025).
Almeida, F. de. Strategies to perform a mixed methods study. Eur. J. Educ. 5, 139–140 (2018).
Acknowledgements
We thank the following entities for making the recognized Afro-descendant lands datasets publicly available for use: the governments of Brazil and Colombia, and EcoCiencia for Ecuador data. We are grateful to the Matawai community of Suriname and acknowledge that the data we use is their intellectual property, and to our late colleague Eunike Alexander Misiekaba who provided the data. We are also grateful to the following individuals: Richard Anderson for providing Colombia spatial data; Kellee Koenig for input and guidance with map visualization; Allie Goldstein, Kellee Koenig, Jonah Busch, and Gina Griffith for input to earlier versions of the manuscripts; MLK Fellow at the MIT Environmental Solutions Initiative, Angelica Mayolo, and Chairperson of the UN Permanent Forum on People of African Descent, Epsy Campbell, for supporting this research through the Afro-Inter-American Forum for Climate Change. The funding for this research was provided by Conservation International.
Author information
Authors and Affiliations
Contributions
Sushma Shrestha Sangat conceptualized and designed the study, contributed to data acquisition, writing-original draft, writing-substantial review and editing of the manuscript, and directed the study. Martha Rosero contributed to analysis, writing-substantial review and editing of the manuscript. Erik Olsson contributed to data acquisition, analysis, visualization, writing-substantial review and editing of the manuscript. Justin Nowakowski contributed to analysis, visualization, writing-substantial review and editing of the manuscript. Jonathan Drescher-Lehman contributed to analysis, visualization, writing-reviewing the manuscript. Patrick R. Roehrdanz contributed to analysis, writing- review and editing the manuscript. Monica L. Noon contributed to analysis, writing- review and editing the manuscript. Nickolas McManus contributed to analysis, writing- review and editing the manuscript. Stephen G. Perz, writing- substantial review and editing of the manuscript. Marcela Angel contributed to conceptualization, writing- review and editing the manuscript. Joana M. Krieger contributed to analysis, writing-reviewed the manuscript. Cameryn Brock contributed to analysis and writing-reviewed the manuscript Bruno Coutinho contributed to data acquisition and writing- reviewed the manuscript. Christian Martinez contributed to data acquisition and writing-reviewed the manuscript. Leo R. Douglas contributed to writing-review and editing manuscript. Curtis Bernard contributed to writing-review and editing the manuscript. Loes Trustfull contributed to writing-review and editing the manuscript. Daniela Raik contributed to writing- review and editing the manuscript. Sebastian Troëng contributed to conceptualization and writing- review and editing manuscript Kelvin Alie contributed to conceptualization, writing-original draft, and writing-reviewed manuscript.
Corresponding author
Ethics declarations
Competing interests
The authors declare no competing interests.
Ethical approval
This study included collaboration and co-creation with researchers from the four countries of focus in all stages of the research process. All collaborators fulfilling the criteria for authorships required by Nature are included as authors of this study. The research and its findings are locally relevant and have been determined in collaboration with local researchers, some of whom self-identify as Afro-descendants. Roles and responsibilities were discussed before the research commenced. Local and regional research relevant to our study was taken into account in our citations.
Peer review
Peer review information
Communications Earth & Environment thanks Ernest Molua and Pradeep Dubey for their contribution to the peer review of this work. Primary Handling Editors: Paula Prist and Martina Grecequet. A peer review file is available.
Additional information
Publisher’s note Springer Nature remains neutral with regard to jurisdictional claims in published maps and institutional affiliations.
Supplementary information
Rights and permissions
Open Access This article is licensed under a Creative Commons Attribution-NonCommercial-NoDerivatives 4.0 International License, which permits any non-commercial use, sharing, distribution and reproduction in any medium or format, as long as you give appropriate credit to the original author(s) and the source, provide a link to the Creative Commons licence, and indicate if you modified the licensed material. You do not have permission under this licence to share adapted material derived from this article or parts of it. The images or other third party material in this article are included in the article’s Creative Commons licence, unless indicated otherwise in a credit line to the material. If material is not included in the article’s Creative Commons licence and your intended use is not permitted by statutory regulation or exceeds the permitted use, you will need to obtain permission directly from the copyright holder. To view a copy of this licence, visit http://creativecommons.org/licenses/by-nc-nd/4.0/.
About this article
Cite this article
Sangat, S.S., Rosero, M., Olsson, E. et al. Afro-descendant lands in South America contribute to biodiversity conservation and climate change mitigation. Commun Earth Environ 6, 458 (2025). https://doi.org/10.1038/s43247-025-02339-5
Received:
Accepted:
Published:
DOI: https://doi.org/10.1038/s43247-025-02339-5







