Abstract
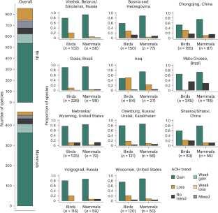
Although cropland expansion continues in many regions, substantial areas of cropland have been abandoned in recent decades as a result of demographic, socioeconomic and technological changes. Variation among species and habitats and limited information on the nature and duration of abandonment have resulted in controversy over how abandonment affects biodiversity. Here, we use annual land-cover maps to estimate habitat changes for 1,322 bird and mammal species at 11 sites across four continents for 1987–2017. We find that most bird (62.7%) and mammal species (77.7%) gain habitat because of cropland abandonment, yet even more would have benefited (74.2% and 86.3%, respectively) if recultivation had not occurred. Furthermore, many birds (32.2%) and mammals (27.8%) experienced net habitat loss after accounting for agricultural conversion that occurred before or alongside abandonment. While cropland abandonment represents an important conservation opportunity, limiting recultivation and reducing additional habitat loss are essential if abandonment is to contribute to biodiversity conservation.
This is a preview of subscription content, access via your institution
Access options
Access Nature and 54 other Nature Portfolio journals
Get Nature+, our best-value online-access subscription
$32.99 / 30 days
cancel any time
Subscribe to this journal
Receive 12 digital issues and online access to articles
$119.00 per year
only $9.92 per issue
Buy this article
- Purchase on SpringerLink
- Instant access to full article PDF
Prices may be subject to local taxes which are calculated during checkout




Similar content being viewed by others
Data availability
The annual land-cover maps18 and abandonment maps19 that were the foundation for our analysis are available via Zenodo at https://doi.org/10.5281/zenodo.5348287 (ref. 68). Derived data products supporting this analysis are available via Zenodo at https://doi.org/10.5281/zenodo.13766321 (ref. 69). Bird and mammal range maps are available on request from BirdLife International (http://datazone.birdlife.org/species/requestdis) and IUCN (https://www.iucnredlist.org/resources/spatial-data-download), respectively. Species assessment data (including habitat and elevation preferences) are freely available from IUCN (https://www.iucnredlist.org/). The 2015 global map of IUCN habitat types developed by ref. 51 is freely available via Zenodo at https://zenodo.org/record/4058819 (ref. 70). Elevation data are freely available at https://developers.google.com/earth-engine/datasets/catalog/USGS_SRTMGL1_003.
Code availability
Code to replicate these analyses is freely available via GitHub (https://github.com/chriscra/biodiversity_abandonment) and is available via Zenodo at https://doi.org/10.5281/zenodo.13777205 (ref. 71).
References
Tilman, D. G. et al. Future threats to biodiversity and pathways to their prevention. Nature 546, 73–81 (2017).
Potapov, P. et al. Global maps of cropland extent and change show accelerated cropland expansion in the twenty-first century. Nat. Food 3, 19–28 (2022).
Rey Benayas, J., Martins, A., Nicolau, J. M. & Schulz, J. Abandonment of agricultural land: an overview of drivers and consequences. CABI Rev. https://doi.org/10.1079/PAVSNNR20072057 (2007).
Li, S. & Li, X. Global understanding of farmland abandonment: a review and prospects. J. Geogr. Sci. 27, 1123–1150 (2017).
Chazdon, R. L. et al. Fostering natural forest regeneration on former agricultural land through economic and policy interventions. Environ. Res. Lett. 15, 043002 (2020).
Zheng, Q. et al. The neglected role of abandoned cropland in supporting both food security and climate change mitigation. Nat. Commun. 14, 6083 (2023).
Campbell, J. E., Lobell, D. B., Genova, R. C. & Field, C. B. The global potential of bioenergy on abandoned agriculture lands. Environ. Sci. Technol. 42, 5791–5794 (2008).
Isbell, F., Tilman, D., Reich, P. B. & Clark, A. T. Deficits of biodiversity and productivity linger a century after agricultural abandonment. Nat. Ecol. Evol. 3, 1533–1538 (2019).
Sanderson, E. W., Walston, J. & Robinson, J. G. From bottleneck to breakthrough: urbanization and the future of biodiversity conservation. BioScience 68, 412–426 (2018).
Taylor, C. A. & Rising, J. Tipping point dynamics in global land use. Environ. Res. Lett. 16, 125012 (2021).
Navarro, L. M. & Pereira, H. M. Rewilding abandoned landscapes in Europe. Ecosystems 15, 900–912 (2012).
Griscom, B. W. et al. Natural climate solutions. Proc. Natl Acad. Sci. USA 114, 11645–11650 (2017).
Yang, Y. et al. Restoring abandoned farmland to mitigate climate change on a full Earth. One Earth 3, 176–186 (2020).
Xie, Z. et al. Conservation opportunities on uncontested lands. Nat. Sustain. 3, 9–15 (2020).
Baumann, M. et al. Declining human pressure and opportunities for rewilding in the steppes of Eurasia. Divers. Distrib. 26, 1058–1070 (2020).
Acevedo-Charry, O. & Aide, T. M. Recovery of amphibian, reptile, bird and mammal diversity during secondary forest succession in the tropics. Oikos 128, 1065–1078 (2019).
Nerlekar, A. N. & Veldman, J. W. High plant diversity and slow assembly of old-growth grasslands. Proc. Natl Acad. Sci. USA 117, 18550–18556 (2020).
Yin, H. et al. Monitoring cropland abandonment with Landsat time series. Remote Sens. Environ. 246, 111873 (2020).
Crawford, C. L., Yin, H., Radeloff, V. C. & Wilcove, D. S. Rural land abandonment is too ephemeral to provide major benefits for biodiversity and climate. Sci. Adv. 8, eabm8999 (2022).
Dara, A. et al. Mapping the timing of cropland abandonment and recultivation in northern Kazakhstan using annual Landsat time series. Remote Sens. Environ. 213, 49–60 (2018).
Queiroz, C., Beilin, R., Folke, C. & Lindborg, R. Farmland abandonment: threat or opportunity for biodiversity conservation? A global review. Front. Ecol. Environ. 12, 288–296 (2014).
Daskalova, G. N. & Kamp, J. Abandoning land transforms biodiversity. Science 380, 581–583 (2023).
Batáry, P., Dicks, L. V., Kleijn, D. & Sutherland, W. J. The role of agri-environment schemes in conservation and environmental management. Conserv. Biol. 29, 1006–1016 (2015).
Fischer, J. et al. Should agricultural policies encourage land sparing or wildlife-friendly farming? Front. Ecol. Environ. 6, 380–385 (2008).
Fischer, J., Hartel, T. & Kuemmerle, T. Conservation policy in traditional farming landscapes. Conserv. Lett. 5, 167–175 (2012).
Sirami, C., Brotons, L., Burfield, I., Fonderflick, J. & Martin, J. L. Is land abandonment having an impact on biodiversity? A meta-analytical approach to bird distribution changes in the north-western Mediterranean. Biol. Conserv. 141, 450–459 (2008).
Finch, T. et al. Bird conservation and the land sharing-sparing continuum in farmland-dominated landscapes of lowland England. Conserv. Biol. 33, 1045–1055 (2019).
Sugimoto, N. et al. Positive and negative effects of land abandonment on butterfly communities revealed by a hierarchical sampling design across climatic regions. Proc. R. Soc. B 289, 20212222 (2022).
Koshida, C. & Katayama, N. Meta-analysis of the effects of rice-field abandonment on biodiversity in Japan. Conserv. Biol. 32, 1392–1402 (2018).
van der Zanden, E. H., Verburg, P. H., Schulp, C. J. E. & Verkerk, P. J. Trade-offs of European agricultural abandonment. Land Use Policy 62, 290–301 (2017).
Bowen, M. E., McAlpine, C. A., House, A. P. N. & Smith, G. C. Regrowth forests on abandoned agricultural land: a review of their habitat values for recovering forest fauna. Biol. Conserv. 140, 273–296 (2007).
Uchida, K. & Ushimaru, A. Biodiversity declines due to abandonment and intensification of agricultural lands: patterns and mechanisms. Ecol. Monogr. 84, 637–658 (2014).
Plieninger, T., Hui, C., Gaertner, M. & Huntsinger, L. The impact of land abandonment on species richness and abundance in the Mediterranean Basin: a meta-analysis. PLoS ONE 9, e98355 (2014).
Regos, A. et al. Rural abandoned landscapes and bird assemblages: winners and losers in the rewilding of a marginal mountain area (NW Spain). Reg. Environ. Change 16, 199–211 (2016).
Brooks, T. M. et al. Measuring terrestrial area of habitat (AOH) and its utility for the IUCN Red List. Trends Ecol. Evol. 34, 977–986 (2019).
Šavrič, B., Patterson, T. & Jenny, B. The Equal Earth map projection. Int. J. Geogr. Inf. Sci. 33, 454–465 (2019).
Wright, H. L., Lake, I. R. & Dolman, P. M. Agriculture—a key element for conservation in the developing world. Conserv. Lett. 5, 11–19 (2012).
Schwartz, N. B., Aide, T. M., Graesser, J., Grau, H. R. & Uriarte, M. Reversals of reforestation across Latin America limit climate mitigation potential of tropical forests. Front. For. Glob. Change 3, 85 (2020).
Jenkins, C. N., Pimm, S. L. & Joppa, L. N. Global patterns of terrestrial vertebrate diversity and conservation. Proc. Natl Acad. Sci. USA 110, E2602–E2610 (2013).
Newbold, T., Oppenheimer, P., Etard, A. & Williams, J. J. Tropical and Mediterranean biodiversity is disproportionately sensitive to land-use and climate change. Nat. Ecol. Evol. 4, 1630–1638 (2020).
Balter, M. Seeking agriculture’s ancient roots. Science 316, 1830–1835 (2007).
Otero, I. et al. Land abandonment, landscape and biodiversity: questioning the restorative character of the forest transition in the Mediterranean. Ecol. Soc. 20, 2 (2015).
Tscharntke, T. et al. Landscape moderation of biodiversity patterns and processes—eight hypotheses. Biol. Rev. 87, 661–685 (2012).
The IUCN Red List of Threatened Species Version 2021-3 (IUCN, 2021).
Bird Species Distribution Maps of the World Version 2021.1 (BirdLife International, 2021).
Crouzeilles, R. et al. A global meta-analysis on the ecological drivers of forest restoration success. Nat. Commun. 7, 11666 (2016).
Crouzeilles, R. Ecological restoration success is higher for natural regeneration than for active restoration in tropical forests. Sci. Adv. 3, e1701345 (2017).
Chazdon, R. L. & Guariguata, M. R. Natural regeneration as a tool for large-scale forest restoration in the tropics: prospects and challenges. Biotropica 48, 716–730 (2016).
Mantero, G. et al. The influence of land abandonment on forest disturbance regimes: a global review. Landsc. Ecol. 35, 2723–2744 (2020).
Di Marco, M., Watson, J. E. M., Possingham, H. P. & Venter, O. Limitations and trade‐offs in the use of species distribution maps for protected area planning. J. Appl. Ecol. 54, 402–411 (2017).
Jung, M. et al. A global map of terrestrial habitat types. Sci. Data 7, 256 (2020).
Muscatello, A., Elith, J. & Kujala, H. How decisions about fitting species distribution models affect conservation outcomes. Conserv. Biol. 35, 1309–1320 (2021).
Westgate, M. J., Tulloch, A. I. T., Barton, P. S., Pierson, J. C. & Lindenmayer, D. B. Optimal taxonomic groups for biodiversity assessment: a meta-analytic approach. Ecography 40, 539–548 (2017).
Xie, Y. et al. Cropland abandonment between 1986 and 2018 across the United States: spatiotemporal patterns and current land uses. Environ. Res. Lett. 19, 044009 (2024).
Dinerstein, E. et al. An ecoregion-based approach to protecting half the terrestrial realm. BioScience 67, 534–545 (2017).
FAOSTAT Statistical Database: Methods & Standards (FAO, 2016).
Birds of the World (Cornell Lab of Ornithology, 2022).
Handbook of the Mammals of the World (IUCN, 2019).
Newey, W. K. & West, K. D. A simple, positive semi-definite, heteroskedasticity and autocorrelation consistent covariance matrix. Econometrica 55, 703–708 (1987).
Berge, L. Fixest: fast fixed-effects estimations. R package version 0.10.4. CRAN https://cran.r-project.org/package=fixest (2022).
Etard, A., Morrill, S. & Newbold, T. Global gaps in trait data for terrestrial vertebrates. Glob. Ecol. Biogeogr. 29, 2143–2158 (2020).
RStudio Team. RStudio: Integrated Development Environment for R (RStudio, PBC, 2022).
R Core Team. R: A Language and Environment for Statistical Computing (R Foundation for Statistical Computing, 2021).
Hijmans, R. J. Terra: spatial data analysis. R package version 1.6-17. CRAN https://cran.r-project.org/package=terra (2022).
Dowle, M. & Srinivasan, A. Data.table: extension of ‘data.frame’. R package version 1.14.6. CRAN https://cran.r-project.org/package=data.table (2022).
Wickham, H. Tidyverse: easily install and load the tidyverse. R package version 1.3.2. CRAN https://cran.r-project.org/package=tidyverse (2022).
Hesselbarth, M. H. K., Sciaini, M., Nowosad, J. & Hanss, S. Landscapemetrics: landscape metrics for categorical map patterns. R package version 2.1.1. CRAN https://cran.r-project.org/package=landscapemetrics (2024).
Crawford, C. L., Yin, H., Radeloff, V. C. & Wilcove, D. S. Annual maps of cropland abandonment, land cover, and other derived data for time-series analysis of cropland abandonment (1.0.0) [Data set]. Zenodo https://doi.org/10.5281/zenodo.5348287 (2022).
Crawford, C. L., Wiebe, R. A., Yin, H., Radeloff, V. C. & Wilcove, D. S. Supporting data for Crawford et al. 2024, Effects of Cropland Abandonment on Biodiversity (1.0.0) [Data set]. Zenodo https://doi.org/10.5281/zenodo.13766321 (2024).
Jung, M. et al. A global map of terrestrial habitat types (Version 004) [Data set]. Zenodo https://doi.org/10.5281/zenodo.4058819 (2020).
Crawford, C. L. chriscra/biodiversity_abandonment: archive for publication (v1.0.1). Zenodo https://doi.org/10.5281/zenodo.13777205 (2024).
Acknowledgements
We thank the following researchers at the University of Wisconsin–Madison, who generously shared the land-cover maps that made our analysis possible: A. Brandão, J. Buchner, D. Helmers, B. G. Iuliano, N. E. Kimambo, K. E. Lewińska, E. Razenkova, A. Rizayeva, N. Rogova, S. A. Spawn-Lee and Y. Xie. We thank the Drongos research group for advice and companionship. We thank T. Bearpark and U. Srinivasan for invaluable statistical advice and D. Liang for advice on our traits analysis. Our analysis would not be possible without the dedication of the IUCN, BirdLife International and numerous individual experts who contributed to species assessments. We thank the Macaulay Library at the Cornell Lab of Ornithology for licensing the photos in Fig. 1. Analyses were performed using Princeton Research Computing resources at Princeton University. This research was supported by the High Meadows Foundation (D.S.W.) and the NASA Land Cover and Land Use Change Program (grant no. 80NSSC18K0343 to V.C.R. and H.Y.) and contributes to the Global Land Programme (https://glp.earth/).
Author information
Authors and Affiliations
Contributions
C.L.C. curated data and designed and conducted data analysis, with feedback from R.A.W., H.Y., V.C.R. and D.S.W. C.L.C. cleaned species data, with assistance from R.A.W. in classifying Neotropical bird species. C.L.C. produced figures and wrote the initial draft, with all authors contributing to subsequent revisions.
Corresponding author
Ethics declarations
Competing interests
The authors declare no competing interests.
Peer review
Peer review information
Nature Sustainability thanks Naoki Katayama, Jose Rey-Benayas and the other, anonymous, reviewer(s) for their contribution to the peer review of this work.
Additional information
Publisher’s note Springer Nature remains neutral with regard to jurisdictional claims in published maps and institutional affiliations.
Supplementary information
Supplementary Information
Supplementary Methods, Results, Discussion, Tables 1–10, Figs. 1–54 and references.
Rights and permissions
Springer Nature or its licensor (e.g. a society or other partner) holds exclusive rights to this article under a publishing agreement with the author(s) or other rightsholder(s); author self-archiving of the accepted manuscript version of this article is solely governed by the terms of such publishing agreement and applicable law.
About this article
Cite this article
Crawford, C.L., Wiebe, R.A., Yin, H. et al. Biodiversity consequences of cropland abandonment. Nat Sustain 7, 1596–1607 (2024). https://doi.org/10.1038/s41893-024-01452-1
Received:
Accepted:
Published:
Issue date:
DOI: https://doi.org/10.1038/s41893-024-01452-1


