Abstract
Hemorrhage is the primary cause of preventable death in both military and civilian trauma cases, and the effective therapeutic options are limited. Activation of Protein Kinase C epsilon (PKC-ε) was shown to have a protective role in ischemia–reperfusion injury models. Thus, we evaluated the effects of a PKC-ε activator peptide in a swine model of controlled hemorrhagic shock. Controlled hemorrhage was induced in 25 Sus Domesticus female pigs by blood withdrawal. Fifteen animals were treated with PKC-ε activator peptide (3 mg/kg IM) five minutes following the initiation of hemorrhage, and 8 animals were bled without receiving the peptide. Two additional animals were treated with the peptide without having been bled for safety validation. Hemodynamic and biochemical parameters were monitored for 7 h, and mitochondrial function markers were analyzed and compared between groups. 73.3% of the pigs that received the peptide survived the hemorrhage until the end of the follow-up compared to only 25% of non-treated control animals. Kaplan–Meier survival analysis showed a significant difference between the groups (p = 0.044). This benefit was associated with a more favorable hemodynamic profile, including more stable blood pressure, heart rate and cardiac output, and a better acid–base balance. Mitochondrial analysis identified a significant increase in electron transport chain complex-I activity in the myocardium of treated animals compared with the controls (p = 0.033). In conclusion, Administration of PKC-ε activator is associated with improved survival, hemodynamic stability, and mitochondrial function in a porcine model of controlled hemorrhage.
Similar content being viewed by others
Introduction
Of all trauma-related complications, hemorrhage remains the most prevalent cause of preventable death in military and civilian settings, contributing to an estimated 60–90% of cases1,2,3,4 and totaling approximately 1.5 million deaths annually worldwide5. In hemorrhagic shock, reduced blood flow to the tissues causes an insufficient supply of oxygen and essential substances necessary for normal cell function6. Conventional treatment for severe hemorrhage is divided into two components: (i) hemostasis – either by direct pressure, tourniquets, or more advanced procedures such as resuscitative endovascular balloon occlusion of the aorta (REBOA)7,8,9, and (ii) volume resuscitation with crystalloids but with preference for blood products such as plasma and/or red blood cells or whole blood10,11,12,13.
However, it was found that, following volume resuscitation, tissues have altered perfusion and consequent ischemia with additional damage due to re-perfusion injury. Models of such injury in several tissues are extensively described in the literature14,15,16,17,18,19 with a particularly large body of information available on cardiac ischemic-reperfusion models20,21. Insights related to the pathogenetic mechanisms of hemorrhage-associated ischemia–reperfusion injury have led to many attempts to test novel therapeutic approaches. Among these were a variety of approaches to preconditioning, whereby pre-ischemic intervention is applied to allow better adaptation and resilience of the tissue to future injury. These approaches include direct ischemic pre-conditioning (IPC) as well as remote IPC (RIPC) which involve repetitive obstructions to blood flow followed by reperfusion, both of which have been shown to exert significant cardioprotective effects22,23,24. Considerable effort has focused on the identification and characterization of specific putative humoral factors and/or cellular pathways that may mediate these positive preconditioning effects25 in an attempt to identify a candidate for pharmacological intervention that would be effective also after the injury.
Multiple studies in this field have suggested that protein kinase C epsilon (PKC-ε) activation plays a pivotal role in cardioprotection by activating structural, signaling, and stress-related proteins, as well as by diminishing mitochondrial dysfunction and oxidative stress26,27,28. Its phosphorylation targets include cardiac troponin I, cardiac troponin T, alpha actin and myosin light chain which regulate muscle contraction, MAPK, MEK, ERK and other tyrosine kinases which are involved in signal transduction and redox processes, and mitochondrial proteins responsible for ATP synthesis 26,27,28.
In view of those findings, we hypothesized that PKC-ε activation could attenuate global ischemic-reperfusion-related damage. The current study was therefore designed to test the effect of a PKC-ε activating peptide on survival, hemodynamics, and mitochondrial parameters in an acute porcine model of controlled hemorrhage with follow up to 7 h (Fig. 1).
Results
Survival analysis
Eleven of 15 (73.3%) pigs treated with the PKC-ε activator peptide survived the hemorrhage until the end of the 7-h follow-up period compared to only 2 of 8 (25%) non-treated control animals. Kaplan–Meier analysis showed a significant difference in survival across the entire 7-h period between the two groups (p = 0.044) (Fig. 2).
The two control animals that were treated with the PKC-ε activator peptide without bleeding survived until the end of the follow-up period without any adverse events. No animals were excluded prior to the study.
Effects of PKC-ε on hemodynamic parameters
Baseline
The mean weights, heights, and measured hemodynamic variables of animals treated with the PKC-ε activator peptide were without statistically significant differences from those of the controls at baseline prior to bleeding and at the beginning of the 7-h follow-up period after termination of the bleeding (Supplementary Table S1A, B).
Follow-up period
After 5 h of follow-up, significant differences were identified in most of the measured variables. The number of live animals decreased substantially afterwards thereby limiting statistically meaningful analyses during the last hour. Detailed Repeated measures analysis for the hemodynamic variables and p values of between-group effect and within group effects are presented in supplementary Table S2A-E, H and Table S3, respectively.
Mean arterial pressure
During the first hour of follow-up, the mean arterial pressure rose 10.0 ± 6.6 mmHg in both groups. Subsequently, however, the animals treated with the PKC-ε activator maintained their blood pressure whereas the MAP of the control group declined significantly (MAP 5:00 h after bleeding: PKC-ε activator vs. control; 40.0 ± 9.9 vs. 30.6 ± 5.2 mmHg, p = 0.033, Fig. 3A).
Heart rate
In the control group, the mean heart rate increased during the first part of the follow-up period and then began to decline while, in the treated group, the rise in HR reached a plateau (Fig. 3B). At 5:00 h of follow-up, there was a significant difference in HR between the treated and control groups (Mean HR: PKC-ε activator vs. control; 131.3 ± 28.6 vs. 151.5 ± 61.0 bpm, p = 0.033, Fig. 3B).
Cardiac output
At time 0 and during the entire follow-up period, the mean cardiac output of the pigs in the intervention group was higher by 0.3–0.6 L/min compared to controls. Nonetheless, after 4:20 h, the mean cardiac output was significantly higher in the intervention group compared with controls (2.9 ± 0.6 vs. 2.1 ± 0.4 L/min, respectively, p = 0.007, Fig. 3C). In order to normalize changes in cardiac output to baseline values, a measurement of the change in cardiac output from baseline throughout follow-up timepoints was performed resulting in non-significant differences between groups (Supplementary Table S2F). Normalization of cardiac output to body weight and height by analyzing the cardiac index yielded also similar results (Supplementary Table S2G).
Serum lactate and acid–base balance
The mean serum lactate at 5:00 h after bleeding in the treated animals was significantly lower than that of the controls (PKC-ε activator vs. control 2.5 ± 1.2 vs. 6.1 ± 5.0 mg/dL, p = 0.026, Fig. 3D; see also Supplementary Table S2 I and J). A significant negative association was observed between blood lactate levels and mean arterial pressure and cardiac output: Spearman correlation − 0.521, p < 0.05 and -0.432, p < 0.05, respectively.
Differences in blood oxygen saturation became significant at 4:20 post bleeding and until 5:40, with higher values measured in the PKC-ε activator group (the time of significant differences between groups in the various hemodynamic variables can be seen in Supplementary Figure S2).
Effects of PKC-ε on the mitochondrial electron transport chain and reactive oxygen species
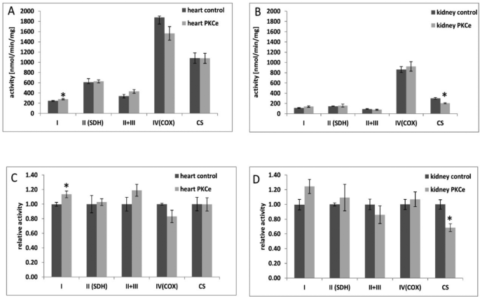
A small but statistically significant increase in complex I activity was detected in the mitochondria of the heart tissue of animals treated with the PKC-ε activator at the onset of bleeding vs. controls (14%, p = 0.033) (Fig. 4). Since citrate synthase (CS) was unaltered in heart, there was no need to normalize values to this control enzyme. Complex I activity in kidney tissue, Complex II + III activity of heart and kidney, and activity of Complex IV in heart and kidney were not significantly different between the groups. Although CS in the heart tissue of both groups were similar, CS activity in kidney was significantly lower in the treated animals (32% decrease, p = 0.009); thus, we calculated complex I activity relative to CS activity. The normalized results showed elevated complex I in kidney of treated animals vs. controls (I/CS = 0.68 versus 0.38 on control, p = 0.053).
Effects of PKC-ε on Mitochondrial Electron Transport Chain Activities. Enzymatic activities of ETC complexes I, II, II + III and IV and citrate synthase (CS) were measured by spectrophotometry in isolated mitochondria from heart (A, C) and kidney (B, D) tissues from control and treated groups. Results are presented as activity (A, B) and as ratio (C, D) to the controls. *p < 0.05.
Next, we examined mitochondrial ROS production (Supplementary Figure S3). In general, kidney mitochondria produced more ROS than heart mitochondria. PKC-ε activation at the outset of bleeding showed an increased production of ROS in heart mitochondria (30% increase at 90 min, p = 0.001); however, the increased basal ROS production in the kidney mitochondria was unaltered with no difference between treatment groups.
Effects of PKC-ε on the mitochondrial proteome
We performed proteomic analysis in order to further investigate the mechanistic implications of the findings of increased ETC activity and ROS production in heart mitochondria after PKC-ε activation. Figure 5 depicts a heatmap created from the 42 significantly changed proteins (p < 0.05). Two distinct clusters were found—one of the PKC-ε activator treated group and one of the control group. To gain insight into pathways involved, we analyzed the 42 relevant proteins using the DAVID annotation tool—the Krypto encyclopedia of genomes and genes pathways (KEGG) and Gene Ontology (GO). The terms were all related to mitochondrial complex I function, thermogenesis and complex diseases involving mitochondrial dysfunction (Supplementary Table S4). Interestingly, both clusters included the same five genes encoding complex I subunits (NDUF8, NDUFB1(CI-NLL), NDUFB2, NDUFB3, NDUFB7), and one cluster also included PSMA1 (proteasome subunit alpha). Surprisingly, all complex I genes were downregulated in the treatment group (Fig. 5A). Notably, some of the most significantly changed proteins (Fig. 5B) are uncharacterized and were thus not included in the pathway analysis.
Effects of PKC-ε on the Mitochondrial Proteome. Heart mitochondria (n = 5) from PKC-ε treated and control animals were subjected to proteomic analysis. A heat map (A) was created from 42 proteins that were significantly changed (p < 0.05) between the groups. The identity of the genes encoding these proteins are marked on the right side of the figure. A volcano plot (B) was created from all proteins. Proteins that showed significant change (p < 0.05) are marked in green. The relevant mitochondrial complex I subunits are annotated with their gene names.
Effects of PKC-ε on tissue damage
Pathologic examination of kidney, heart and small intestinal samples found evidence of tissue damage, including 1st-2nd degree tubulointerstitial damage with interstitial hemorrhage, cardiomyocyte necrosis, and mucosal epithelial sloughing, respectively. However, no statistically significant difference was found in the incidence or degree of tissue damage between the study groups.
Discussion
Previous studies have shown that Protein Kinase C epsilon (PKC-ε) has a protective role in ischemia–reperfusion injury models26,27,28. The current study examines the effects of administration of a PKC-ε activator peptide in an acute large animal model of controlled hemorrhage. Our findings suggest that administration of this peptide shortly after the onset of bleeding and prior to ischemia is associated with a significant early survival advantage and improved hemodynamic stability manifested in more favorable hemodynamics as reflected by blood pressure, heart rate, cardiac output and acid–base balance.
Massive bleeding with consequent hemorrhagic shock is the most common cause of preventable death among trauma victims5. Current therapeutic interventions, including volume replacement, are often associated with severe adverse effects including ischemic-reperfusion injury. This understanding has led to extensive research seeking additional therapies that will improve the tissue response to hypo-perfusion and minimize reperfusion injury. Mechanical and pharmacologic interventions delivered prior to, or following, injury have been assessed. Jianrong et al.29 showed that limb remote ischemic post-conditioning (RIPostC) attenuated myocardial dysfunction and improved survival outcomes in a rat model of hemorrhagic shock. Limb RIPC also mitigated myocardial and neurological dysfunction with improved survival in a similar model30. However, RIPC in a porcine model of controlled hemorrhage, which is closer to humans, was shown to cause improved hemodynamic and metabolic profile following hemorrhage but without survival benefit31. Studies assessing pharmacological preconditioning following hemorrhagic shock yielded inconclusive results regarding the affected organs and survival advantage32,33,34,35,36.
The current study was performed using a validated porcine model of hemorrhagic shock to increase relevance for the pre-hospital operational setting37. A large body of evidence has established the vital role of PKC-ε activation in mediating protection of hypo-perfused tissues. This includes evidence gathered on cardiomyocytes and cardiac tissue in-vitro38, ex-vivo39, and in-vivo40. Similar effects have been shown in other tissue types27. The results obtained in this study with PKC-ε activation regarding survival, hemodynamic stability, and mitochondrial function support the potential usefulness of this therapeutic approach for the mitigation of the deleterious effects of massive hemorrhage. The positive metabolic effect on acid–base balance seen in the current study concur with results reported whereby myocardial acidosis was attenuated by a PKC-ε-dependent mechanism41.
Various mechanisms have been proposed for the effects of PKC-ε on vascular reactivity and smooth muscle tone. Reduced vascular resistance, following trauma or severe bleeding, plays an important role in the outcome of hemorrhagic shock42. Yang et al.43 found that activation of PKC-ε enhances noradrenaline and arginine vasopressin-induced vascular reactivity and calcium sensitivity in an isolated superior mesenteric artery preparation from rats subjected to hemorrhagic shock and vascular smooth muscle cells subjected to hypoxia via phosphorylation of myosin light chain. The vascular effects of PKC-ε activation seen in the current model of hemorrhagic shock might be explained by these mechanisms.
With respect to mitochondrial function, the results of the current study suggest that the effect of PKC-ε activation involves primarily mitochondrial complex I function, and mainly in heart tissue rather than kidney. It is seemingly counterintuitive that an increased enzymatic activity was found, while five of the 45 complex I subunits were downregulated. Nevertheless, these subunits are all accessory subunits with regulatory roles and not those involved in catalytic activity. Both NDUFA8 and NDUFB7 reside on the intermembrane space (IMS) surface of the complex I membrane arm and are essential for its stability. A total knockout of any of these subunits is likely to severely reduce overall complex activity44,45, but very little is known concerning the effect of a partial downregulation or decreased stability of these subunits. It is possible that the elevated mitochondrial ROS production seen here in the PKC-ε treated tissues is not due to mitochondrial dysfunction but rather the result of the observed increase in complex I activity, since this complex is a known major contributor to ROS formation46. Moreover, since complex I is a major control point in ETC flux, we anticipate that an increased complex I activity would be advantageous for energy supply. Additional studies are warranted to determine the effects of PKC-ε activation on other aspects of mitochondrial function for additional clarity regarding the potential of this targeted therapeutic approach in this porcine model of controlled hemorrhagic shock.
This study has several limitations. Only female pigs were used in the study, and due to cost–benefit and ethical considerations, the sample size was limited to the minimum necessary for adequate power for a study aimed at assessing initial feasibility and usefulness. No randomization or blinding were performed during the study, and therefore a placebo was not used as well. Third, the protocols for deep anesthesia, ventilation with 100% oxygen and analgesia, in accordance with ethics committee and veterinary guidelines, are not representative for the battlefield or hospital environment and might have affected the hemodynamic indices and endogenous sympathetic response. However, we used the same protocol for all animals in all groups of the study which virtually rules out differential bias on this basis. Fourth, while our model does not fully capture the complexities of a prehospital environment due to the use of controlled hemorrhage and allows for some physiological compensation during the relatively prolonged bleeding process, it successfully demonstrates hemodynamic changes characteristic of shock and reveals meaningful differences in early survival between study groups. Future investigations using uncontrolled hemorrhage models would provide additional insights into the potential utility of this peptide in prehospital settings. Lastly, there is no direct proof of PCK-e activation or downstream analysis of its phosphorylated targets, and it is therefore only speculative that the peptide administration is associated with the mitochondrial findings.
Conclusions
This study shows that treatment with a PKC-ε activator peptide in an acute large animal model of controlled hemorrhage is associated with improved early survival, better hemodynamic stability, and enhanced mitochondrial function compared to controls. These findings emphasize the need for further investigation of this novel therapeutic approach for evaluation of its usefulness as an additional tool for prolonging survival and reducing preventable deaths in the pre-hospital setting.
Methods
The study was performed according to the Guide for the Care and Use of Laboratory Animals and was approved by the Hebrew University institutional Ethics Committee (NIH approval number: OPRR-A01-5011). The work has been reported in accordance with the ARRIVE guidelines (Animals in Research: Reporting In Vivo Experiments)47 (supplementary Figure S4).
Study design (Fig. 1)
Hemorrhagic shock was induced in 25 four months old, non-SPF domestic female pigs (Laboratory Animal Farm, Lahav, Israel) by controlled hemorrhage involving withdrawal of 35% of the estimated blood volume (65 ml/Kg). Fifteen animals were treated with the PKC-ε activator peptide (HDAPIGYD-GG-YGRKKRRQRRR, Ontores Biotechnologies, Hangzhou, China; 3 mg/kg IM) five minutes after initiation of bleeding, and 8 animals were bled without treatment of the peptide. Two additional animals were treated with the peptide without having been bled for additional control and validation of its safety. Hemodynamic and biochemical parameters were monitored for up to 7 h, and mitochondrial function markers were analyzed and compared between groups.
The study was designed as a pragmatic large animal study, and a-priori sample size calculations were focused on adequate power with the minimum necessary number of animals. Exclusion criteria included infectious diarrhea during housing prior to the experiment or hemodynamic collapse during anesthesia.
Detailed protocol (Fig. 6)
Study protocol. Black arrows: time of first hemodynamic recordings of blood pressure, heart rate, cardiac output and oxygen saturation level—and then every 5 min from baseline through the bleeding period (60 min max.) and every 20 min during follow-up; Red arrows: time of withdrawal of blood samples; Upward pointing Blue arrows labeled “PKC-ε": time of PKC-ε activator administration (5 min after bleeding initiation); Downward pointing blue arrows: time of administration of 100 ml Ringer Lactate IV (at the end of bleeding).
Animal preparation
All animals were continuously monitored by three-lead electrocardiogram (ECG), arterial line for blood pressure, pulse oximeter located on the tail, and rectal thermometer. Peripheral venous access was gained for administration of medications and fluid replacement. Sedation and anesthesia were induced (inhaled Isoflurane 5%, intravenous Xylazine 2 mg/kg, Ketamine 10 mg/kg, and Propofol 4 mg/kg) followed by analgesia (intramuscular Tramadol 5 mg/kg) and antibiotics (Cefazolin 1 g). All animals were intubated with a 7.0 mm cuffed endotracheal tube and ventilated with controlled mechanical ventilation. Anesthesia was maintained with 2% Isoflurane in 100% oxygen. Cannulations of blood vessels were performed as follows (Supplementary Figure S1): The left femoral artery was cannulated for blood withdrawal, the left carotid artery was cannulated for invasive blood pressure monitoring, and a Swan-Ganz catheter was inserted through the right jugular vein for direct hemodynamic monitoring. A urinary catheter was inserted for monitoring output. No thermal support was provided during the experiment.
Baseline laboratory and hemodynamic measurements
These included complete blood count; routine biochemistry including electrolytes, kidney and liver functions; and arterial blood gases including lactate levels. Measurements of hemodynamic indices were repeated every 5 min and at the end of the first half hour (See below for laboratory and hemodynamic monitoring in the “Follow-Up” period).
Bleeding procedure
Hemorrhagic shock was induced by removal of 35% of the animal’s individually estimated blood volume (65 ml/kg). Fifty ml of blood were drawn from the left femoral artery every 90 s. Bleeding rate was limited to maintain mean arterial pressure above 30 mmHg. If the latter was lower, a recovery time longer than 90 s was allowed before continuation of bleeding (bleeding period ranges were between 15 and 60 min, with a median of 40 min). 100 ml of Lactated Ringer’s Solution were administered immediately at the cessation of the bleeding phase.
PKC-ε activator administration
The peptide HDAPIGYD-GG-YGRKKRRQRRR (Manufactured by Ontores Biotechnologies, Hangzhou, China) was administered intra-muscularly (3 mg/kg) in a powder form that dissolves in 2 ml of water for injection to the right gluteus maximus muscle 5 min following bleeding initiation. The administration of the peptide to the two control animals that were not bled was timed at one hour after the initiation of the study protocol. The intramuscular route of administration was chosen to increase usefulness for first responders under difficult or remote field conditions—similar to the rationale behind the intramuscular route of administration of analgesics in the battlefield.48.
Follow-up
During the 7-h follow-up period, hemodynamic indices were recorded every 20 min, and blood samples were withdrawn hourly (amounts to 15 ml total hourly). Systolic blood pressure (SBP), diastolic blood pressure (DBP), and mean arterial pressure (MAP) were measured continuously through an arterial line. Heart rate (HR) was assessed with continuous cardiac monitoring. Cardiac output (CO) was calculated using the thermodilution method through a Swan-Ganz catheter. Oxygen saturation was measured by pulse oximeter. Animals that survived until the end of the follow-up were euthanized by intravenous injection of potassium-chloride under veterinarian supervision and in accordance with the study protocol approved by the ethics committee. Tissue samples were taken post-mortem from all animals from the heart, lung, kidney, liver, intestine, and skeletal muscle for pathological evaluation.
Mitochondrial function
Mitochondria were isolated from fresh frozen tissue samples (snap frozen in liquid nitrogen and stored at − 70C) of heart (n = 5) and kidney (n = 3) of animals treated with PKC-ε activator as well as control subjects. Isolation of mitochondria was performed by differential centrifugation in sucrose in the presence of heparin49.
Electron transport chain (ETC) enzymatic activities of complexes I, II,II + III and IV in isolated mitochondria from heart and kidney tissues from treated and untreated control group animals were measured by spectrophotometry using a Uvikon 930 spectrophotometer (Kontron Instruments, Switzerland) as described previously50,51.
Briefly, Complex I was measured as rotenone-sensitive NADH-CoQ reductase. Complex II was measured as succinate dehydrogenase (SDH) based on the succinate-mediated phenazine methosulfate reduction of dichloroindophenol. Complex II + III was measured as succinate cytochrome-c reductase. Complex IV (cytochrome-c oxidase) was measured by following the oxidation of reduced cytochrome. Citrate synthase (CS), a ubiquitous mitochondrial matrix enzyme, served as a control. Activity assessment for all is presented as nmol/min per milligram protein or as a ratio to CS. All chemicals for enzyme determinations were from Sigma-Aldrich, St. Louis, MO, USA.
Mitochondrial reactive oxygen species (ROS) production was determined by fluorescence H2DCF-DA (Invitrogen, Carlsbad, CA, USA) in the presence of succinate52. Fluorescence was monitored for 20 min using a Synergy HT microplate reader (Bio-Tek Instruments, Vinoosky, VT). Heart mitochondrial proteins were analyzed by liquid chromatography- tandem mass spectrometry (LC-MSMS, Q-Exactive HF (ThermoFisher) and analyzed using the MaxQuant software for fee at the Smoler Protein Research Center, The Technion–Israel Institute of Technology, Haifa, Israel. The intensities between the samples were quantified by Label-free quantitation (LFQ). Data evaluation, annotation, and statistical analysis were performed using the Perseus 2 software. Pathway analysis was performed using the Database for Annotation, Visualization, and Integrated Discovery (DAVID) annotation tool.
Statistical analyses
The two animals that were treated with the peptide without having been bled for safety evaluation were not included in the statistical analysis. Differences between study groups in baseline values of each variable (determined as the mean of measurements throughout the baseline period), including procedure endpoint values, were assessed by t-test. Normal distribution of the variables was assured using the Kolmogorov–Smirnov test.
Kaplan–Meier survival analyses and Log Rank test were applied to compare survival between groups. Follow-up started from the end of bleeding and terminated at the earlier of 7-h euthanasia or animal death. Repeated measures models using Greenhouse–Geisser and Huynh–Feldt tests were applied for within-group effects, and Bonferroni was used for effects between groups during the follow-up period. Correlation between variables was assessed by Pearson and Spearman correlation tests (according to normal distribution of variables) in three time points: baseline, end of bleeding, and end of follow-up of each animal. Two-sided P-value < 0.05 was considered significant. Statistical analyses were performed with IBM SPSS Statistics for Windows, version 27.0. Armonk, NY: IBM Corp.
Data availability
The datasets used and/or analysed during the current study are available from the corresponding author on reasonable request.
References
Murphy, S. L., Xu, J., Kochanek, K. D. & Arias, E. Mortality in the United States, 2020. NCHS Data Brief 1–8 (2021).
Kotwal, R. S. et al. Eliminating preventable death on the battlefield. Arch. Surg. 146, 1350–1358 (2011).
Butler, F. K. & Blackbourne, L. H. Battlefield trauma care then and now: A decade of tactical combat casualty care. J. Trauma Acute Care Surg. 73, 395 (2012).
Champion, H. R., Bellamy, R. F., Roberts, C. P. & Leppaniemi, A. A profile of combat injury. J. Trauma Injury Infect. Crit. Care 54, S13 (2003).
Cannon, J. W. Hemorrhagic shock. N. Engl. J. Med. 378, 370–379 (2018).
Famularo, G. Hemorrhagic shock. N. Engl. J. Med. 378, 1850 (2018).
Scerbo, M. H. et al. The trauma center is too late: Major limb trauma without a pre-hospital tourniquet has increased death from hemorrhagic shock. J. Trauma Acute Care Surg. 83, 1165–1172 (2017).
Kragh, J. F. et al. Battle casualty survival with emergency tourniquet use to stop limb bleeding. J. Emerg. Med. 41, 590–597 (2011).
Beekley, A. C. et al. Prehospital tourniquet use in Operation Iraqi Freedom: Effect on hemorrhage control and outcomes. J. Trauma 64, S28 (2008).
Shaz, B. H., Dente, C. J., Harris, R. S., MacLeod, J. B. & Hillyer, C. D. Transfusion management of trauma patients. Anesth. Analg. 108, 1760–1768 (2009).
Jenkins, D., Bowling, F. & Strandenes, G. N / A fluid resuscitation for hemorrhagic shock in tactical combat casualty care : TCCC guidelines change 14–01–2 June 2014 United States Army Institute of Surgical Research, JBSA Fort Sam. J. Special Oper. Med. 14, 13 (2014).
Revell, M., Greaves, I. & Porter, K. Endpoints for fluid resuscitation in hemorrhagic shock. J. Trauma Injury Infect. Crit. Care 54, S63 (2003).
Kalkwarf, K. J. & Holcomb, J. B. Damage control resuscitation. Surg. Crit. Care Therapy Clin. Orient. Pract. Approach 112, 337–345 (2018).
Kauvar, D. S., Baer, D. G., Dubick, M. A. & Walters, T. J. Effect of fluid resuscitation on acute skeletal muscle ischemia-reperfusion injury after hemorrhagic shock in rats. J. Am. Coll. Surg. 202, 888–896 (2006).
Soncul, H., Öz, E. & Kalaycioglu, S. Role of ischemic preconditioning on ischemia-reperfusion injury of the lung. Chest 115, 1672–1677 (1999).
Portella, A. O. V. et al. Effects of N-Acetylcysteine in hepatic ischemia-reperfusion injury during hemorrhagic shock. Transplant. Proc. 36, 846–848 (2004).
Haq, M., Norman, J., Saba, S. R., Ramirez, G. & Rabb, H. Role of IL-1 in renal ischemic reperfusion injury. J. Am. Soc. Nephrol. 9, 614–619 (1998).
Sayan, H. et al. Pharmacological preconditioning with erythropoietin reduces ischemia-reperfusion injury in the small intestine of rats. Life Sci. 84, 364–371 (2009).
Eser, O. et al. The effect of aprotinin on brain ischemic-reperfusion injury after hemorrhagic shock in rats: An experimental study. J. Trauma Injury Infect. Crit. Care 63, 373–378 (2007).
Hayward, R., Campbell, B., Shin, Y. K., Scalia, R. & Lefer, A. M. Recombinant soluble P-selectin glycoprotein ligand-1 protects against myocardial ischemic reperfusion injury in cats. Cardiovasc. Res. 41, 65–76 (1999).
Piper, H. M., Meuter, K. & Schäfer, C. Cellular mechanisms of ischemia-reperfusion injury. Ann. Thoracic Surg. 75, S644 (2003).
Chen, C. L. et al. The cardioprotective effect of hypoxic and ischemic preconditioning in dogs with myocardial ischemia-reperfusion injury using a double-bypass model. Life Sci. 141, 25–31 (2015).
Yellon, D. M., Alkhulaifi, A. M. & Pugsley, W. B. Preconditioning the human myocardium. Lancet 342, 276–277 (1993).
Li, G. C., Vasquez, J. A., Gallagher, K. P. & Lucchesi, B. R. Myocardial protection with preconditioning. Circulation 82, 609–619 (1990).
Kukreja, R. C. et al. Pharmacological preconditioning with sildenafil: Basic mechanisms and clinical implications. Vascul. Pharmacol. 42, 219–232 (2005).
Ping, P., Zhang, J., Pierce, W. M. & Bolli, R. Functional proteomic analysis of protein kinase C ε signaling complexes in the normal heart and during cardioprotection. Circ. Res. 88, 59–62 (2001).
Xu, J., Lan, D., Yang, G., Li, T. & Liu, L. Hemorrhagic preconditioning improves vascular reactivity after hemorrhagic shock by activation of PKCα and PKCε via the adenosine A1 receptor in rats. J. Trauma Acute Care Surg. 74, 1266–1274 (2013).
Chen, L., Shi, D. & Guo, M. The roles of PKC-δ and PKC-ε in myocardial ischemia/reperfusion injury. Pharmacol. Res. 170, 105716 (2021).
Huang, J. et al. Remote ischemic postconditioning improves myocardial dysfunction via the risk and safe pathways in a rat model of severe hemorrhagic shock. Shock 49, 460–465 (2018).
Hu, X. et al. Remote ischemic preconditioning mitigates myocardial and neurological dysfunction via KATP channel activation in a rat model of hemorrhagic shock. Shock 42, 228–233 (2014).
Yaniv, G. et al. Remote ischemic preconditioning improves tissue oxygenation in a porcine model of controlled hemorrhage without fluid resuscitation. Sci. Rep. 11, 1–14 (2021).
Oeltgen, P. R., Govindaswami, M. & Witzke, D. B. 24-hour pretreatment with δ opioid enhances survival from hemorrhagic shock. Acad. Emerg. Med. 13, 127–133 (2006).
Yao, L. et al. Pretreatment with fentanyl and propofol attenuates myocardial injury in rabbits with acute hemorrhagic shock. J. Surg. Res. 155, 25–31 (2009).
Haugaa, H. et al. Effects of inhalation of low-dose nitrite or carbon monoxide on post-reperfusion mitochondrial function and tissue injury in hemorrhagic shock swine. Crit. Care 19, 1–12 (2015).
Raddatz, A. et al. Dobutamine improves liver function after hemorrhagic shock through induction of heme oxygenase-1. Am. J. Respir. Crit. Care Med. 174, 198–207 (2006).
Zhao, B. et al. Pharmacological preconditioning with vitamin C attenuates intestinal injury via the induction of heme oxygenase-1 after hemorrhagic shock in rats. PLoS One 9, 1–12 (2014).
Hauser, C. J. Preclinical models of traumatic, hemorrhagic shock. Shock 24, 24–32 (2005).
Liu, H., McPherson, B. C. & Yao, Z. Preconditioning attenuates apoptosis and necrosis: Role of protein kinase Cε and -δ isoforms. Am. J. Physiol. Heart Circ. Physiol. 281, 404–410 (2001).
Inagaki, K., Hahn, H. S., Dorn, G. W. & Mochly-Rosen, D. Additive protection of the ischemic heart ex vivo by combined treatment with δ-protein kinase C inhibitor and ε-protein kinase C activator. Circulation 108, 869–875 (2003).
Inagaki, K., Begley, R., Ikeno, F. & Mochly-Rosen, D. Cardioprotection by ε-protein kinase C activation from ischemia: Continuous delivery and antiarrhythmic effect of an ε-protein kinase C-activating peptide. Circulation 111, 44–50 (2005).
Rehring, T. F. et al. α-adrenergic preservation of myocardial pH during ischemia is PKC isoform dependent. J. Surg. Res. 63, 324–327 (1996).
Fang, Y., Li, T., Fan, X., Zhu, Y. & Liu, L. Beneficial effects of activation of PKC on hemorrhagic shock in rats. J. Trauma Injury Infect. Crit. Care 68, 865–873 (2010).
Yang, G., Li, T., Xu, J. & Liu, L. PKC plays an important mediated effect in arginine vasopressin induced restoration of vascular responsiveness and calcium sensitization following hemorrhagic shock in rats. Eur. J. Pharmacol. 628, 148–154 (2010).
Stroud, D. A. et al. Accessory subunits are integral for assembly and function of human mitochondrial complex i. Nature 538, 123–126 (2016).
Padavannil, A., Ayala-Hernandez, M. G., Castellanos-Silva, E. A. & Letts, J. A. The mysterious multitude: Structural perspective on the accessory subunits of respiratory complex I. Front. Mol. Biosci. 8, 1–33 (2022).
Hirst, J., King, M. S. & Pryde, K. R. The production of reactive oxygen species by complex I. Biochem. Soc. Trans. 36, 976–980 (2008).
Kilkenny, C., Browne, W. J., Cuthill, I. C., Emerson, M. & Altman, D. G. Improving bioscience research reporting: The ARRIVE guidelines for reporting animal research. J. Pharmacol. Pharmacother. 1, 94–99 (2010).
Blankenstein, T. N., Gibson, L. M. & Claydon, M. A. Is intramuscular morphine satisfying frontline medical personnels’ requirement for battlefield analgesia in Helmand Province, Afghanistan? A questionnaire study. Br. J. Pain 9, 115–121 (2015).
Saada, A., Shaag, A. & Elpeleg, O. mtDNA depletion myopathy: Elucidation of the tissue specificity in the mitochondrial thymidine kinase (TK2) deficiency. Mol. Genet. Metab. 79, 1–5 (2003).
Saada, A., Bar-Meir, M., Belaiche, C., Miller, C. & Elpeleg, O. Evaluation of enzymatic assays and compounds affecting ATP production in mitochondrial respiratory chain complex I deficiency. Anal. Biochem. 335, 66–72 (2004).
Shufaro, Y. et al. Human granulosa luteal cell oxidative phosphorylation function is not affected by age or ovarian response. Fertil. Steril. 98, 166-172.e2 (2012).
Zigdon, H. et al. Ablation of ceramide synthase 2 causes chronic oxidative stress due to disruption of the mitochondrial respiratory chain. J. Biol. Chem. 288, 4947–4956 (2013).
Acknowledgements
Assistance with the study: Almog Lachmish and Dr. Liza Douiev, The Department of Genetics, Hadassah Medical Center, are acknowledged for technical support. Prof. Hanna Rosenman, Department of Neurology, Hadassah Medical Center, is acknowledged for fruitful discussions. Dr. Tamar Ziv and Dr. Yael Haimovich from the Smoler Proteomics Center, Technion Haifa, are acknowledged for proteomics data.
Funding
The Israel Defense Forces Medical Corps and Directorate of Defense Research and Development, Israeli Ministry of Defense (IMOD DDR&D), Grant no. 4440701101 (AF, SDG). The Milgrom Family Support Fund; The Saul and Joyce Brandman Fund for Cardiovascular Research; The Alexander Grass Family Research Fund; The Dr. Bruce and Baila Waldholtz Research Fund; The Dr. Martin and Grace Rosman Research Fund, Faculty of Medicine, The Hebrew University of Jerusalem, Israel. The Stuart Roden Family Research Fund, London, UK.
Author information
Authors and Affiliations
Contributions
Study concept or design: AF. Data collection: MS, LWA, DN, YG, ECL, AH, YC, MN, YG, NS, AS. Data analysis or interpretation: MS, ED, SDG, AS, AF. Writing the paper: MS, AS, AF. Review and editing: AE, GT, SDG. Funding acquisition: SDG, AF. Project administration: LWA, AF. Supervision: AF.
Corresponding author
Ethics declarations
Competing interests
The authors declare no competing interests.
Additional information
Publisher’s note
Springer Nature remains neutral with regard to jurisdictional claims in published maps and institutional affiliations.
Rights and permissions
Open Access This article is licensed under a Creative Commons Attribution-NonCommercial-NoDerivatives 4.0 International License, which permits any non-commercial use, sharing, distribution and reproduction in any medium or format, as long as you give appropriate credit to the original author(s) and the source, provide a link to the Creative Commons licence, and indicate if you modified the licensed material. You do not have permission under this licence to share adapted material derived from this article or parts of it. The images or other third party material in this article are included in the article’s Creative Commons licence, unless indicated otherwise in a credit line to the material. If material is not included in the article’s Creative Commons licence and your intended use is not permitted by statutory regulation or exceeds the permitted use, you will need to obtain permission directly from the copyright holder. To view a copy of this licence, visit http://creativecommons.org/licenses/by-nc-nd/4.0/.
About this article
Cite this article
Simchoni, M., Wagnert-Avraham, L., Derazne, E. et al. Protein kinase C epsilon activation improves early survival in an acute porcine model of controlled hemorrhage. Sci Rep 15, 9126 (2025). https://doi.org/10.1038/s41598-025-92310-3
Received:
Accepted:
Published:
DOI: https://doi.org/10.1038/s41598-025-92310-3








