Abstract
Seabird colonies with long-term monitoring records, i.e., > 50 years, are rare. The population data for northern gannets (Morus bassanus) in Cape St. Mary’s (CSM) Ecological Reserve (Newfoundland and Labrador, Canada) is robust, extending back to 1883 when the colony was presumed established. We inferred the colony’s historical population shifts by measuring ornithogenic proxies in a dated sediment record collected from a nearby pond. Our record extended to the early eighteenth century, but the proxy data only began to show significant signs of seabird presence between ca. 1832 and 1910, aligning with the period gannets were first observed at CSM. Through the twentieth century, we observed significant increases in δ15N, P, Zn, Cd, and chlorophyll a, coeval with a shift in the dominant diatom species, indicating rapid colony growth. The proxies were overall highest in ca. 2005, corresponding to the reported historical maximum of the gannet colony in 2009. Our results validate that paleo-reconstructions using ornithogenic proxies can accurately reflect population trends and provide a stronger understanding of the colony’s establishment and growth. This study highlights the value of applying paleolimnological methods in seabird population studies to frame the history of a colony’s dynamics and inform conservation efforts.
Similar content being viewed by others
Introduction
Seabirds are well known for subsidizing terrestrial ecosystems with marine-derived nutrients1,2,3, with large breeding colonies greatly affecting the biodiversity and structure of the surrounding environment4,5. Given the crucial role seabirds play in nutrient cycling across ecosystem boundaries6 and supplying energy to island food webs7, a loss of seabird biodiversity could have far-reaching ecological effects. Consequently, monitoring seabird colonies over long time frames is essential, because seabirds can serve as indicators of marine ecosystem health8.
Establishing a population baseline is a necessary component for assessing future colony shifts9. Oftentimes, monitoring data available for seabird colonies do not extend back far enough to determine the long-term status and trends of a population before anthropogenic or climate-related impacts. If we do not understand the underlying long-term population trajectories of a colony, it makes assessing the current population status challenging. Paleolimnology provides an opportunity to track ecosystem changes related to ornithogenic nutrient transfer over extended time scales and can help establish a baseline for long-term monitoring efforts10. Signals of chemical, physical, and biological shifts linked to seabird nutrient transfer are well-preserved within sediment layers of water bodies adjacent to nesting colonies, and modern paleolimnological techniques offer a glimpse into the past ecological shifts occurring in the sediments over long periods (Fig. 1).
Seabird nutrient transfer from Bird Rock, in Cape St. Mary’s Ecological Reserve (Newfoundland and Labrador, Canada), to a pond 240 m away from the seabird colony. Seen in the illustration are northern gannets (Morus bassanus) and black-legged kittiwakes (Rissa tridactyla), which both nest within the reserve on an annual basis. Created using Canva illustrations and graphics.
While multi-proxy methods have proven effective in reconstructing seabird population trajectories in the past10, a gap remains in corroborating these results with population data in historical reports and long-term monitoring efforts. Here, we aim to ground-truth a seabird paleolimnological reconstruction with historical population counts; something that few studies have been able to accomplish. We use a multi-proxy approach to infer trends in the past dynamics of a northern gannet (Morus bassanus) colony in the Cape St. Mary’s (CSM) Ecological Reserve. The population data available for gannets nesting in CSM span across 130 years, with historical reports dating back to 1883, and with the first systematic count in 193411. The main nesting site for seabirds in CSM is known as Bird Rock, a ~ 100-m high sea stack separated from the shore by a deep gorge, 10 m from the cliff edge (Figs. 1 and 2). Northern gannets are the primary nesters on Bird Rock, and they, along with common murres (Uria aalge) and black-legged kittiwakes (Rissa tridactyla), also nest on mainland cliffs. We collected sedimentary records from two different freshwater ponds at CSM, including a pond close to the colony that is impacted by seabird nutrient inputs (impact pond) and a more distant pond not influenced by seabird nutrient inputs (reference pond).
Results
Overall, the geochemical values obtained from the chl a inferences, δ15N values, and metal(loid) analyses were higher at the top of the impact pond’s core compared to the reference core (Fig. 3, Files S1–2). In the impact core, chl a concentration remained relatively stable from the bottom of the core (25.75 cm depth) up to 6 cm, which corresponds to the year ca. 1932 ± 10.3 CE. Chl a concentration in the core from the impact pond increased from ca. 1932 ± 10.3 (6 cm) to 2021 (0 cm). We also observed a brief period of decrease in chl a in the top of the impact core from ca. 2001 (2.75 cm) to ca. 2012 (1.25 cm), and then a longer period of increase from 2012 to the highest concentrations in 2021 (0 cm). The core from the reference pond had values that decreased from 6.25 to 0.25 cm (ca. 2015 ± 0.68 years).
Multi-proxy stratigraphy of the impact pond core (A) and reference pond core (B), including chl a, δ15N, P, Zn/Al, and Cd/Al data and diatom relative abundance data for Stauroforma exiguiformis (S. exiguiformis) and Staurosira construens var.
venter (S. construens). The secondary y-axis shows the 210Pb dates assigned to selected layers of the core using the constant rate of supply (CRS) model, aligned by midpoint depth (cm). Grey shaded bars across the stratigraphy represent the approximate period gannets are known to be nesting at Cape St. Mary’s (Supplementary File S6), from 1883 to present day. The shaded area is much smaller in panel 3B due to the reference core’s slow sedimentation rate yielding a limited record over the past ~ 130 years.
For the water chemistry analysis, we found that the pH of the impact pond (7.4) was higher than the reference pond (6.7), and concentrations of major ions were overall higher in the impact pond than in the reference pond (Supplementary Table S1). Concentrations of total nitrogen (TN) and total phosphorus (TP) were much higher in the impact pond (TN = 2.64 mg L−1 and TP = 414 µg L−1) than in the reference pond (TN = 0.451 mg L–1 and TP = 50 µg L−1) (see supplementary section 4A). Overall, the higher conductivity and concentration of TN and TP in the impact pond water compared to the reference pond water was an indication that the impact pond is receiving an influx of seabird-derived nutrients.
In the impact core, δ15N values fluctuated between 1.2‰ at 25 cm, and 1.3‰ at 8.75 cm (before ca. 1858 according to the dating profile in Table S2). In the reference core, δ15N values fluctuated between − 3.4‰ at 20.25 cm, and 0.2‰ at 8.25 cm. Near 1913, we observed a major increase in δ15N values in the impact core from 1.6‰ in ca. 1892 (~ 7.75 cm) to 10.8‰ in ca. 1992 (~ 3.5 cm). In the reference core, we observed a slight decrease in δ15N from − 1.5‰ at a depth of 7.25 cm to − 3.4‰ at a depth of 0.25 cm. From ca. 1992 to 2021 (0 cm), δ15N values of the impact core plateaued, with a range of 10.8‰ to 10.9‰ (μ = 10.8‰).
Corrected values for δ13C in the impact core ranged from − 26.5‰ in ca. 1821 (~ 9.75 cm) to − 24.7‰ in ca. 2016 (~ 0.75 cm), and uncorrected values through the entire depth ranged from − 27.3 to − 26.4‰. Uncorrected δ13C values in the reference core ranged from − 24.7‰ at 20.25 cm to − 26.6‰ at 3.25 cm and to − 25.9‰ at 0 cm (ca. 2021). Finally, the δ15N values for the two gannet fecal samples were 11.3‰ and 16.8‰, and the uncorrected δ13C values for these samples were − 20.7‰ and − 20.5‰, respectively.
Metal concentrations throughout the entire depth of the impact core were higher than the reference core, and the increase in metal concentrations over the depth of the impact core was not observed to the same extent in the reference core. From 16.75 to 6.5 cm (corresponding to the period before ca. 1924) in the impact core, concentrations of P increased from 560 to 1900 μg g−1 dry wt., Zn/Al from 0.002 and 0.008, and Cd/Al from 4.2 × 10−5 and 8.1 × 10−5, respectively. While in the bottom of the reference core, at the depths of 20.25 cm and 6.25 cm, P concentrations were 370 μg g−1 dry wt. and 330 μg g−1 dry wt., Zn/Al were 0.01 to 0.018, and Cd/Al were 1.2 × 10−4 to 1.4 × 10−4, respectively. In the top layers of the impact core, we observed a large increase in P and Cd/Al from ca. 1948 (5.5 cm) to ca. 2017 (0.5 cm), where P increased from 1900 μg g−1 dry wt. to 8700 μg g−1 d.w, and the ratio of Cd/Al increased from 9.1 × 10−5 to 2.1 × 10−4, respectively. Values for Zn/Al did not show the same increase over these depths, from 0.009 in ca. 1948 (5.5 cm) to 0.01 in ca. 2017 (0.5 cm). The large increase in metal(loid)s observed in the impact core was not observed in the reference core, where P only increased from 990 μg g−1 dry wt. at 4.25 cm, to 2600 μg g−1 dry wt. at 0.25 cm, Zn/Al remained stable from 0.02 at 4.25 cm to 0.02 at 0.25 cm, and Cd/Al decreased from 1.2 × 10−4 at 4.25 cm to 5.1 × 10−5 at 0.25 cm. Even though the overall concentration of Cd was higher at some depths in the reference core compared to the impact core, it is important to note that concentrations of Cd/Al in the impact core increased over time, while in the reference core they decreased (Fig. 3). Although we observed higher values of Zn/Al in the top layers of the reference core compared to the impact pond, the Zn/Al values fluctuated less throughout the entire depth of the reference core, while the impact pond’s core showed a more distinct shift between ca. 1849 (9 cm) and ca. 1884 ± 13.1 years (8 cm).
The breakpoint analysis conducted on all 30 metal(loid)s showed the greatest change between ca. 1884 ± 13.1 (8 cm) and ca. 1917 (7 cm) in the impact core (Supplementary Fig. S1), but further analysis showed a rapid change in ornithogenic metalloids such as P between ca. 1964 (5 cm) and ca. 1986 (4 cm) (Fig. 3). Results for all metal(loid)s analyzed in this study are available in supplementary materials, Files S3–4.
At ca. 1884 (8 cm) in the impact core, the change in dominant diatom species matches the timing of the increase in chl a and δ15N (Fig. 3). At 6 cm, the dominant species of Stauroforma exiguiformis disappeared and was replaced by two subspecies of Staurosira construens var. venter that remained dominant until the surface of the core (2021). Interestingly, the reference pond had the same two dominant diatom species as the impact pond; however, their abundances were stable throughout the reference core. Overall, the impact core had a greater range in relative abundance of S. exiguiformis (range = 0–93.3%) and Staurosira construens var. venter (range = 4.8–99.6%) than the reference core, which had more stable abundances of S. exiguiformis (range = 0–26.9%) and Staurosira construens var. venter (range = 15.0–54.2%).
Next, we reviewed the years of significant increase/decrease identified by derivatives for each ornithogenic-related proxy from the Generalized Additive Model (GAM) (Table 1). Overall, we found a statistically significant increase across the proxies studied in the impact pond’s core that are associated with ornithogenic nutrient transfer over the last approximately 140 years. In general, the significant periods of change identified for Zn/Al and δ15N values occurred before the ca. 1880s, when gannets first began nesting on Bird Rock11, while significant periods of change for chl a, Cd/Al and P occurred after the ca. 1880s. The k-value was set to its maximum limit (equal to sample size) to calculate the significant increases and decreases in proxy shifts, resulting in a full convergence for chl a and δ15N after 7 and 8 iterations, respectively, and a positive definite hessian, suggesting a well-performing model despite the low p-values and k-indices used to assess basis dimensionality (Table 1)12,13. The GAM identified a significant period of increase in Staurosira construens var. venter from ca. 1881 to present day (Table 1). The stratigraphy in Fig. 3 shows a more specific increase in the dominant diatom species, where abundance increased from 4.7% at the bottom of the core to 67.5% in ca.1917 (7 cm) and 99.6% in 2021 (0 cm). There was a period of significant decrease observed for S. construens between ca. 1495 and ca. 1575 (between 14 cm and 16.25 cm), where diatom relative abundance ranged from 93.3 to 26.8%. The GAM for the Suess-corrected values of δ13C were plotted against the dates separately due to the restrictions of the correction factor, and showed no significant periods of change throughout the record.
According to the GAM for the reference core, the relative abundance of Staurosira construens var. venter (%) increased significantly from a depth of 20.25 cm to a depth of 9 cm, and we observed a slight, but significant, decrease between approximately 5 and 4 cm. The stratigraphy in Fig. 3 shows a slight overall increase in abundance from 22.0% at 17 cm to 54.2% at 7.25 cm, and 28.5% at 0.25 cm. We found smaller periods of significant increase in our proxy values from the bottom layers of the reference core to the top, for chl a between the depths of 0.25 cm and 4.17 cm, for δ15N values between 13.71 and 20.25 cm, for P between 0.025 cm and 6.78 cm, and Zn/Al between 0.25 cm and 20.25 cm (Supplementary Table S3).
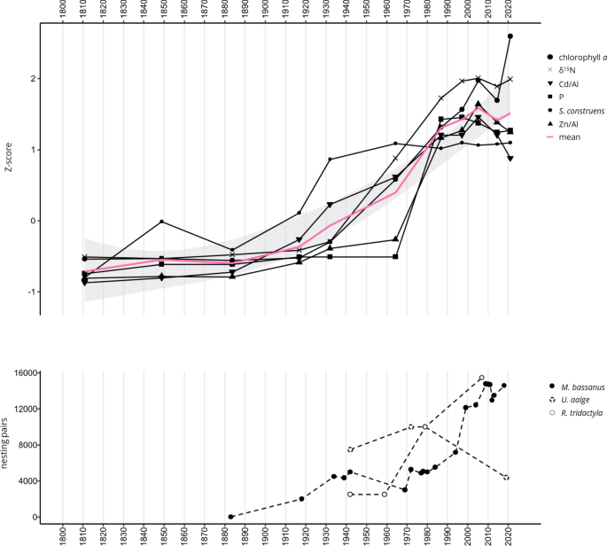
We combined our chosen proxies to illustrate the overall changes in multi-proxy data, based on Z-scores from the impact core, from ca. 1769 (11 cm) to the core collection in 2021 (Fig. 4, Supplementary File S5). We noticed a decrease in chl a around ca. 2010 CE (1.5 cm), which was also observed, to a lesser extent, in the δ15N data. Meanwhile, the concentrations of P, Zn, and Cd declined but did not show the subsequent increase observed in chl a and δ15N values. Aligning our proxy data to the available population data from CSM between 1883 and 2019 (Fig. 4), we found that the large increase in δ15N and Cd/Al between ca. 1931 CE and ca. 1997 CE occurred during a period where the seabird colony was steadily growing.
Summary of ornithogenic proxies measured in the impact pond (top) compared to the historical monitoring data (bottom) for northern gannets (M. bassanus), common murres (U. aalge) and black-legged kittiwakes (R. tridactyla) nesting on Bird Rock and surrounding mainland areas (bottom; observation data are in Supplementary File S6). The Z-score values are represented as points and X-axis dates are extrapolated from 210Pb dates via a polynomial regression (top panel). The thick pink line shows the calculated arithmetic mean, fitted with a polynomial regression using ggplot2 in R and the shaded grey area represents the confidence interval. A cut-off was set at ca. 1811 CE (10 cm) to ensure data continuity due to variations in proxy data depth.
Discussion
Nutrients from avian vectors are traditionally believed to enter water bodies in four main ways: direct deposition, runoff from land, leaching into groundwater, and precipitation14. However, wind is also now considered as a mechanism of nutrient transport, an idea first proposed in the 1980s15. From a paleolimnological perspective, Hargan et al.16 studied the large population (~ 400,000 breeding pairs) of thick-billed murres occupying the cliffs on Digges Island (Nunavut, Canada), and found they influenced the water chemistry, sediment δ15N values, metal(loid)s, and P concentrations in a pond situated above, and < 100 m away from the nesting colony, as a result of wind transport. However, certain oligotrophic and benthic diatom assemblages were not influenced by the presence of seabird nutrients as they were found in all four of the ponds sampled by Hargan et al.16 at various distances from the colony (from < 100 m to > 1 km away). Vonnahme et al.17 proposed wind transport of dust and soil particles, unrelated to seabird guano, as a selection mechanism for certain cyanobacterial groups based on this means of moving nutrients into polar freshwater habitats of valley glaciers in Svalbard (Norway). A study by Bokhorst et al.18 on external nutrient sources affecting Antarctic islands found that the high δ15N signature of the wind-blown material on Signy Island was related most to the proximity of a south polar skua (Stercorarius maccormicki) and elephant seal (Mirounga leonina) colony nearby the study site. Therefore, wind can play a significant role in the transfer of nutrients from large coastal seabird colonies to in-land areas. Especially in tree-less, windswept coastal environments, akin to the tundra barrens in CSM, wind is more likely an abiotic agent of nutrient dispersal that helps facilitate the water chemistry effects19 seabirds have on their surroundings.
While we aimed to minimize the effects of environmental variability by choosing a control pond within the same ecoregion as our impacted pond, the difference in size and depth of our two ponds (Supplementary Table S5) may have affected the 210Pb record in the reference core, as evidenced by the slow sedimentation rate and limited sediment capturing the ~ 130 years of interest (Supplementary Table S4). However, it is not unusual for the sedimentation rate to be higher in seabird impacted ponds as there is increased production from nutrient enrichment. Ponds in the hyper-oceanic barren ecoregion are typically shallow, and many ponds located within the reserve are inaccessible due to the rough terrain. Therefore, it was challenging to find a pond within the reserve that was a similar depth as our impact pond and far enough away from the nesting site that it was not receiving seabird nutrients. While smaller ponds might have a stronger signal of seabird presence, past studies have shown that large and/or deep waterbodies also capture a strong signal of seabird presence over time if they are close enough to the colony16,22,30. When Duda et al.22 showed that the pond on Grand Colombier had been receiving seabird nutrients (1600 m2), they referenced these values to three ponds on St. Pierre which ranged from 3100 to 18,600 m2. Ponds on Baccalieu Island, NL receiving seabird nutrients were also smaller (ranging from 4000 to 14,300 m2) compared to the reference pond (27,000 m2) chosen by Duda et al.30. The study lake in Hargan et al.16 was situated above the murre colony, like our impact pond, but it was substantially larger and deeper (12.8 m), and still captured a historical signal from the murre colony.
Our multi-proxy approach suggests that the pond situated 240 m away from Bird Rock has historically received and continues to receive seabird nutrients from the birds nesting nearby via wind transport, as well as direct deposition from kittiwakes defecating in the pond, starting at some point between 191 and 113 years ago. Our chl a data indicates that the impact pond’s primary production began to significantly change ca. 1910, while δ15N and Zn/Al values suggest that significant changes in nutrient transfer began before the 1860s. Relative abundance of S. construensx var. venter, P Cd/Al values indicated that the significant shifts began between ca. 1881 and ca. 1891. Even though the exact timing of the demonstrable nutrient input from seabirds varies across proxies, they demonstrate the effects of nesting gannets, with the δ15N values and Zn/Al suggesting a shift in nutrients approximately 28 and 51 years, respectively, before the first documented report of gannets at CSM in 188311.
The period of significant increases in S. construens var. venter, Cd/Al and P starting between ca. 1881 to 1891 closely corresponds with the first monitoring report for gannets, and is corroborated by a remark made by Wynne-Edwards11 regarding the phenomenal growth of the gannet colony at CSM between 1880 and 1890. The subsequent increase in sedimentary P starting at ca. 1940 may also be a result of post-depositional processes and redox mobility, rather than just seabird nutrient input, as observed by Ginn et al.20 in Lake Simcoe (Ontario, Canada). However, the P increase still aligns with the other proxies.
The concentration of chl a in sediments has been used in combination with other proxies to track shifts in primary production over long periods and has even been used to identify short periods of nesting at a small cormorant colony (Phalacrocorax auritus)21, as well as other bird species such as the Leach’s storm-petrel (Hydrobates leucorhoa)22,23, and northern fulmars (Fulmarus glacialis)24. We found that concentrations of chl a at the bottom of our impact core were similar to that of the reference core, but at a depth of 6 cm, corresponding to the ca. 1930s, the impact pond showed a shift in primary production that is not recorded in the reference core. In ca. 1910, chl a began increasing significantly and the estimate of gannets on Bird Rock in 1918 had risen to 2000 pairs25. Interestingly, we also see a shift in chl a at the core’s uppermost part where there is a brief decline followed by a substantial increase, which aligns with the timing of a dip in gannets from 14,789 pairs in 200926 to 12,970 pairs in 201227.
Studies have shown that the pH of seabird guano influences pond pH, where guano with a high pH increases the pH of ponds (e.g. northern fulmars28 and little auk (Alle alle)29) and guano with low pH decreases pond pH (e.g. Leach’s storm-petrel22,23). We observed a low diversity of diatom assemblages in our impact pond and a distinctive shift in the dominant diatom taxa at a similar depth as a shift in primary production. There is an increase in the diatom taxon Staurosira construens var. venter in the impact core, and a decline in the taxon S. exiguiformis (formerly known as Fragilaria (virescens v.) exigua), while our reference core showed no significant shift in dominant diatom species over time. Even though gannet guano has acidic pH (5.13 ± 0.9430), S. construens var. venter is often found in higher pH lakes but, like other benthic fragilarioid taxa, is found in many environments while S. exiguiformis is a benthic taxon that is most commonly associated with lower pH31,32,33. So, this shift in the diatom assemblage may be linked with the change in the trophic state of the pond due to the nutrient inputs caused by the presence of gannets, since S. exiguiformis is oligo-mesotrophic and Staurosira construens var. venter may be meso-eutrophic32.
Aquatic primary producers have negative δ13C values relative to terrestrial vegetation and marine primary producers and/or organisms that feed within the marine food web34,35. As gannet nutrients entering the impact pond increased autochthonous primary production, observed through the increase in sedimentary chl a and elevated modern lakewater chl a concentrations relative to the reference pond, sediment δ13C values are likely a mixed result of the more negative δ13C values for aquatic primary producers and the more positive δ13C of gannet guano. This will somewhat obscure the gannets’ contributions, as seen in a previous study on Antarctic sediment profiles influenced by penguins, where δ13C overlapped with values from natural terrestrial and aquatic plant sources in the region36. Therefore, this could explain why our δ13C values do not reach the levels that could be expected based on the values found in gannet feces.
Other multi-proxy studies have linked shifts in stable isotopes (δ15N and δ13C) and geochemistry within sediment cores to the population shifts of northern fulmars37, common eiders (Somateria mollissima)38, and Leach’s storm-petrels (Hydrobates leucorhous)23. We observed a significant increase in δ15N values beginning ca. 1869 and continuing to ca. 2017, which, along with the other proxies, most strongly reflects the population trends of the gannets. However, disentangling the exact contributions of gannets versus kittiwakes to all of the observed changes is difficult. Kittiwakes were first surveyed at CSM in 1942 by Peters and Burleigh39, who at the time estimated that approximately 7500 nesting pairs of kittiwakes and 5000 pairs of gannets were present. Between ca. 1992 and 2017, the rate of δ15N value increase is slower compared to the earlier 1900s (Fig. 4), roughly coinciding with a time period when the gannet colony increased by approximately 7400 nesting pairs, from 1994 to 2018, and the kittiwake colony decreased from 10,000 pairs estimated in 1979 to 4391 pairs censused in 2019 (Supplementary File S7).
The amount of guano produced by the gannets at CSM will be much greater than that of the kittiwakes, as their relative body mass (2470–3610 g40) is an order of magnitude heavier than the kittiwakes’ (365–400 g41). Kittiwakes would, however, be expected to make direct deposition of fecal material into the impact pond since they use the pond directly, whereas gannet transfers will be only via wind. The decline in the kittiwake population at CSM (Supplementary File S7,27) is consistent with their decline observed across Newfoundland between approximately 1983 and 2012 on Great Island, Baccalieu Island, and Gull Island42. In the early 1990s, kittiwake populations in eastern Canada experienced low breeding success linked to gull predation and a cold-water event affecting capelin biomass, which contributed to a near 50% decline in their population across breeding sites in Newfoundland43,44. If kittiwakes are the main contributors of nutrients to the impact pond, we would see a significant decline in the proxy data beginning around the early 2000s given their population trends, but this was not observed.
Another reason we see a plateau in the overall proxy data (Fig. 4) could be attributed to a δ15N input over-saturation of the pond interfering with the reconstruction. Duda et al.22 show that, once a pond on Grand Colombier Island (St. Pierre and Miquelon, France) became saturated with storm-petrel δ15N, it could no longer track increases in the population. The δ15N value from our gannet fecal samples (16.8‰ and 11.8‰) are very high and were similar to values found by Tait45, who measured the δ15N values of gannet feces collected from 27 individuals on the Scottish island of Alisa Craig (μ = 15.9 ± 3.37‰) and at Bass Rock (μ = 13.5 ± 1.1‰) for a total range of 13.1–16.3‰. They also sampled 213 black-legged kittiwakes in Scotland from the island of Rùm (μ = 9.1 ± 0.53‰), the Isle of May (μ = 10.9‰), and the Dunbar Harbour (μ = 9.9‰), with a total range of 7.1‰ to 12.9‰. The maximum δ15N value in the CSM impact pond’s core was approximately 11‰ when it began to plateau, possibly reflecting the contributions from kittiwakes to the deposition of nutrients.
δ15N values in tissues are also known to shift over time as an animal is exposed to various environmental conditions and diet may change and/or the δ15N signatures of primary producers supporting marine food webs may shift. A study by Gagné et al.46 revealed long-term declines in seabird trophic positions from δ15N tissue values, which were indicative of broader ecosystem shifts influenced by climate change, pollution, and fisheries dynamics. Using stable nitrogen isotopes of amino acids of puffin and petrel feather tissues, Morrissey47 found that Newfoundland Atlantic puffin trophic position has been decreasing since the 1940–1960s and there was little change in the δ15N values of baseline amino acids from ~ 1890–2020. Thus, a decline in gannet trophic position, similar to other piscovore, diving seabirds of NL could influence guano δ15N values and thus the sediment core δ15N profile, possibly contributing to a slowing in the increase in δ15N values despite a growing gannet population. Furthermore, the shifts in δ15N values of ornithogenic sediments do not solely reflect changes in population size of a colony, and may also reflect broader changes in nutrient concentration and primary production48. Hargan et al.16 review how denitrification, occurring under sustained low oxygen conditions such as in sediments, can significantly alter δ15N values; however, the impact pond is shallow and located in a tree-less, windy landscape so water column anoxia is unlikely. Despite these findings, we cannot know the extent to which environmental covariates impact our stable nitrogen isotope data. Furthermore, given that bulk stable carbon isotopes did not clearly track seabirds, other techniques should be explored. For example, Besser et al.49 identified distinct amino acid carbon fingerprints among terrestrial and freshwater producer groups in arid land habitats, demonstrating the potential to improve trophic level estimates in freshwater ecosystems. Unfortunately, to date, the use of compound specific stable isotopes have not been fully validated in sediment cores. Future studies using stable isotopes to track ornithogenic presence should incorporate more advanced techniques in their analyses to consider other factors influencing shifts in stable isotope values46,47,48,49.
Lastly, the plateau observed near the present day may be due to the more recent expansion of the gannet colony on the mainland nesting areas that are further from the impact pond. This is because Bird Rock has finite nesting area that is completely occupied. In 1935, Wynne-Edwards11 consulted with locals who observed approximately 12 nests established on the mainland between 1931 and 1934, which were all destroyed by fishermen and so did not succeed or persist. In 1972, only two nests were found on the mainland east of Bird Rock50,51. Five years after CSM was officially protected as a Seabird Ecological Reserve52, the estimate for mainland-nesting gannets had risen to 400 pairs25.
In 1935, Wynne-Edwards11 lamented that the timing of the colony’s establishment on Bird Rock may never be determined. He met with a resident from the nearby community of St. Bride’s who reported no evidence of nesting [gannet] activity on Bird Rock when they visited as a child in 1877 and recorded about eight to 10 pairs nesting on the stack in 1883 when they visited a second time11. Tuck’s53 examination of prominent seabird colonies in eastern Canada underscored 1830 to 1880 as a period of significant growth for new gannet nesting sites in North America. He presumed that many juvenile gannets, unattached to traditional breeding grounds, were establishing colonies elsewhere. Wynne-Edwards11 pointed to the abandonment of gannet nests on the Perroquet Islands (Quebec, Canada) between 1881 and 1887 as a possible explanation for the establishment of the colony at CSM, > 500 km away. Interestingly, gannets were first reported on Funk Island in 1534 by Jacques Cartier54,55, and were not found in the area again until 188854, suggesting that gannets were in fact recruiting in the northwest Atlantic in the 1880’s. Once it was established in 1883, the CSM colony continued to grow at a steady rate until 1918, at which point nesting pairs remained relatively stable for more than 60 years (Supplementary File S7). Between 1984 and 2018, the population at CSM grew from the approximately 5515 nesting pairs56 to an estimated 14,600 nesting pairs57. Our paleolimnological results align closely with these available gannet population trends. While gannet guano enrichment in δ15N values was notable (11–16.8‰), the surface δ15N plateau in our pond core suggests contributions from various sources, including kittiwake guano, and the potential influence of other environmental covariates. Future work to identify species-specific markers will help disentangle these contributions.
Conclusion
We found that the seabird population trends at CSM collected over the past 110 years validate the shifts indicated by our multi-proxy data. Since our records pre-date historical reports and extend back beyond the ca. 1700s, we show that seabirds’ inputs were not present at historical periods long before the period gannets were first documented at this site. Our results therefore suggest the colony at CSM is relatively newly established, and support the previous proposal that some juvenile gannets did not recruit to traditional colonies to establish nesting sites in areas of the Northwest Atlantic between 1830 and 188053. Furthermore, our reconstruction shows how the colony grew to large numbers in a relatively short period of time after its establishment, highlighting the resilience of northern gannets at CSM, despite facing many stressors, including direct human disturbances11,51, adverse weather conditions, prey shortages caused by ocean heatwaves58, animal predation51,59, and most recently, avian influenza outbreaks60. This work contributes to a growing body of literature on the use of paleolimnology as a tool in seabird conservation to broaden our understanding of past population trajectories and allow us to make accurate inter-year population comparisons across a long time period, pre-dating scientific data collection. Within Newfoundland and Labrador alone, there are more than 30 regions designated as important bird areas61, many of which have short-term (< 50 years) population monitoring data available for the various species that nest there. Given the availability of adequate sampling sites for a paleolimnological study, there should be further research aligning multiproxy paleolimnological data with historical population counts to further validate their congruence and provide valuable information to current conservation and management programs.
Methods
Ethics statement
Fecal samples from two individual gannets nesting in CSM were collected by an experienced seabird biologist, following methods established by the Canadian Council on Animal Care (CACC) under an Environment and Climate Change Canada (ECCC) Scientific Permit to Capture and Band (#10332 K). Sediment samples were collected in CSM under a Wilderness and Ecological Reserve Permit (#03294).
Study site description
The CSM Ecological Reserve protects a small portion of Newfoundland’s fragmented Eastern Hyper-Oceanic Barren ecoregion52, spanning a total of 64 km2, of which only 10 km2 is land mass. The reserve has a cool summer climate (July average = 14 °C) and, due to prevailing onshore winds, experiences an average of 200 days of fog throughout the year62. The topography is generally flat and consists of exposed rocky terrain, patches of alpine mosses, and small, windswept stands of black spruce (Picea mariana), white spruce (Picea glauca), and balsam fir (Abies balsamea)63. Soils in this ecoregion are composed mostly of organic matter that occurs in peatlands dominated by alpine mosses (Diapensia spp. and Racomitrium lanuginosum)52.
The current population monitoring data for CSM (Supplementary File S3) estimated that there are approximately 14,600 pairs of northern gannets57, 4400 pairs of black-legged kittiwakes27, 15,500 pairs of common murres27, and ~ 1000 pairs of thick-billed murres (Uria lomvia) breeding within the reserve64. Around half of the northern gannets at CSM nest on Bird Rock, while the other half occupy the top portion of the mainland cliffs to the east and west of the stack65. The population data for gannets, murres and kittiwakes provided by the Canadian Wildlife Service27 (Supplementary File S7) was compiled into a single file for the purpose of this analysis (Supplementary File S6).
Samples were collected from the impact pond, which is ~ 240 m away from Bird Rock (46.818242N, − 54.179744W), and the reference pond, which is 2.56 km away from the colony (46.838427N, − 54.167954W) (Fig. 2, Supplementary Table S5). We collected water samples from both sites using 1 L Nalgene bottles to measure pond water pH and conductivity (µS cm−1) with a Hanna portable pH/conductivity meter. We also analyzed water chemistry to help assess changes in the diatom assemblages within the sediment record, given the sensitivity of many sub-fossil diatoms to changes in pH and nutrient content31 (see supplementary materials for further details, section 4A).
Sedimentary records
Sediment cores were collected using a push-corer66 with a polypropylene tube. A vertical extruder67 and plastic scraper tool were used to section the sediment cores. The impact pond’s sediment core was sectioned every 0.25 cm to a core depth of 16 cm and then sectioned every 0.5 cm to the bottom of the core, while the reference core was sectioned every 0.5 cm (Supplementary Table S5). The samples were freeze-dried for 48 h in a Labconco FreeZone 12 L Console apparatus and sub-sampled for 210Pb dating, chlorophyll a (chl a), stable isotopes, diatom assemblages, and metal(loid)s.
Preparation of the sediment samples for 210Pb-dating followed methods designed for low-background gamma counting68,69. Approximately 0.5 g of freeze-dried sediment from every other cm of the impact and reference cores were placed into a gamma tube with a cap and sealed with a 50:50 epoxy resin and polyamine hardener (2-Ton Epoxy). The Paleoecological Environmental Assessment and Research Lab (PEARL) of Queen’s University assigned sediment chronologies to each core with the constant rate of supply (CRS) model64 using the software ScienTissiME (Barry’s Bay, ON). Results for the 210Pb activity profiles are provided in the supplementary materials (Supplementary Files S8–9, Fig. S2, and section 4B).
Multi-proxy analyses
A detailed methodology for each proxy used in this study is available in the electronic supplementary materials (sections 4C–F). δ15N and δ13C analyses were conducted using a Carlo Erba elemental analyzer coupled to a Delta V Plus isotope ratio mass spectrometer (Thermo Scientific) via a ConFlo III interface at the Earth Resources Research and Analysis Facility (TERRA—Memorial University of Newfoundland). Due to the high organic content of the sediment, we also sent several of the same samples from the cores to be analyzed by the Ján Veizer Stable Isotope Lab (Veizer SIL—University of Ottawa, ON). Bulk δ13C values were corrected to account for the Suess effect70 in the impact core only, up until ca. 1863 CE (~ 9.75 cm), and not corrected in the reference core due to very slow sedimentation rate (> 25 years in a 0.5 cm sediment slice). We also collected fecal samples from two individual gannets to obtain reference δ15N and δ13C values for their feces.
Sediment samples were geochemically analyzed at SGS Inc. (Lakefield, Ontario) for 35 different metal(loid)s using inductively coupled plasma mass spectrometry (ICP-MS) (Supplementary Table S6)71. Subsequent data analysis focused on the concentrations of metal(loid)s associated with seabird nutrient input, such as phosphorus (P) and the concentrations of cadmium (Cd) and zinc (Zn), which were normalized against levels of aluminum (Al) to reduce signals from any long-term changes in erosion22.
To assess trends in overall lake primary production, the concentrations of sedimentary chl a (which includes its isomers and main diagenetic products72,73) were analyzed at PEARL using visible range spectroscopy (VRS) with a Model 6500 series Rapid Content Analyzer (FOSS NIRSystems Inc.) and estimated using the log-transformed data from Michelutti et al.72. For diatom isolation, at least 400 diatom valves per sample were counted and identified to species using a Leica DMRB microscope under oil immersion at 1000×magnification and the Krammer and Lange-Bertalot74 taxonomic volumes.
Numerical analyses and visualization
We used the R/v4.2.2 packages tidyverse/v1.3.275 and tidypaleo/v0.1.276 to plot stratigraphic diagrams of the geochemical data from each site, including chl a, δ15N values, P, Cd/Al, Zn/Al and diatom abundance data for species of S. exiguiformis and Staurosira construens var. venter. To provide a time period estimate slightly beyond the scope of 210Pb dates, we extrapolated the dates from the impact core’s record to 15.25 cm (ca. 1557), and the reference core’s record only to 2.25 cm (ca. 1852) due to the limited data points we obtained for the core, using a polynomial regression (Supplementary Tables S2 and S4). We also used tidypaleo to run a stratigraphically constrained cluster analysis (breakpoint analysis) on the metal(loid)s data to find periods of significant change based on the data collected from 30 metal(loid)s77.
The proxy data from chl a, δ15N values, Cd/Al, Zn/Al, P, and the two dominant diatom species were normalized by transforming the data to a Z-score value and then fitted to a GAM using a restricted maximum likelihood (REML) function available through the R/v4.2.1 package mgcv/v1.8-4012. To find significant periods of change in the proxy data we identified periods where 95% confidence intervals in the first derivative of the GAM did not bound 013,78. Finally, we combined the Z-score values from selected ornithogenic proxies aligned against 210Pb-dates to infer colony trends over approximately 200 years. Z-scores were calculated for each sediment core independently. Further descriptions of our statistical methods are outlined in the supplementary materials (section 4G).
Data availability
Datasets supporting this article have been uploaded as part of the electronic supplementary materials. Access to the code used in this study can be obtained through a GitHub repository, available at the following link https://github.com/johannabosch/Paleolimnological_Analysis_in_R.
References
Gillham, M. E. Ecology of the Pembrokeshire Islands: V. Manuring by the colonial seabirds and mammals, with a note on seed distribution by gulls. J. Ecol. 44(2), 429. https://doi.org/10.2307/2256831 (1956).
Ellis, J. C., Fariña, J. M. & Witman, J. D. Nutrient transfer from sea to land: the case of gulls and cormorants in the Gulf of Maine: Soils, plants and seabird nesting densities. J. Anim. Ecol. 75(2), 565–574. https://doi.org/10.1111/j.1365-2656.2006.01077.x (2006).
Hentati-Sundberg, J. et al. Fueling of a marine-terrestrial ecosystem by a major seabird colony. Sci. Rep. 10(1), 15455. https://doi.org/10.1038/s41598-020-72238-6 (2020).
Vidal, E., Médail, F., Tatoni, T. & Bonnet, V. Seabirds drive plant species turnover on small Mediterranean islands at the expense of native taxa. Oecologia 10, 427–434. https://doi.org/10.1007/s004420050049 (2000).
Kolb, G. S., Jerling, L. & Hambäck, P. A. The impact of cormorants on plant-arthropod food webs on their nesting islands. Ecosystems 13, 353–366. https://doi.org/10.1007/s10021-010-9323-8 (2010).
De La Peña-Lastra, S. Seabird droppings: Effects on a global and local level. Sci. Total Environ. 754, 142148. https://doi.org/10.1016/j.scitotenv.2020.142148 (2021).
Anderson, W. B. & Polis, G. A. Nutrient fluxes from water to land: seabirds affect plant nutrient status on Gulf of California islands. Oecologia 118, 324–332. https://doi.org/10.1007/s004420050733 (1999).
Piatt, J. F., Sydeman, W. J. & Wiese, F. Introduction: a modern role for seabirds as indicators. Mar. Ecol. Prog. Ser. 352, 199–204. https://doi.org/10.3354/meps07070 (2007).
Rodrigues, A. S. L. et al. Unshifting the baseline: a framework for documenting historical population changes and assessing long-term anthropogenic impacts. Philos. Trans. R. B Soc. Biol. Sci. 374(1788), 20190220. https://doi.org/10.1098/rstb.2019.0220 (2019).
Duda, M. P. et al. Reconstructing long-term changes in avian populations using lake sediments: Opening a window onto the past. Front. Ecol. Evol. 9, 698175. https://doi.org/10.3389/fevo.2021.698175 (2021).
Wynne-Edwards, V. C. XXX: The Newfoundland gannet colony—with recent information on the other North American Gannetries. Ibis 77(3), 584–594. https://doi.org/10.1111/j.1474-919X.1935.tb02152.x (1935).
Wood, S. N. Fast stable restricted maximum likelihood and marginal likelihood estimation of semiparametric generalized linear models: Estimation of semiparametric generalized linear models. J. R. Stat. Soc. Ser. B Stat. Methodol. 73, 3–36. https://doi.org/10.1111/j.1467-9868.2010.00749.x (2011).
Simpson, G. L. Modelling palaeoecological time series using generalised additive models. Front. Ecol. Evol. 6, 149. https://doi.org/10.3389/fevo.2018.00149 (2018).
Young, H. S., Hurrey, L. & Kolb, G. S. Effects of Seabird-derived nutrients on aquatic systems. In Seabird Islands: Ecology, Invasion, and Restoration (eds Mulder, C. P. H. et al.) 242–260 (Oxford University Press, 2011). https://doi.org/10.1093/acprof:osobl/9780199735693.003.0008.
Bosman, A. & Hockey, P. Seabird guano as a determinant of rocky intertidal community structure. Mar. Ecol. Prog. Ser. 32, 247–257. https://doi.org/10.3354/meps032247 (1986).
Hargan, K. E. et al. Cliff-nesting seabirds influence production and sediment chemistry of lakes situated above their colony. Sci. Total Environ. 576, 85–98. https://doi.org/10.1016/j.scitotenv.2016.10.024 (2017).
Vonnahme, T. R., Devetter, M., Žárský, J. D., Šabacká, M. & Elster, J. Controls on microalgal community structures in cryoconite holes upon high-Arctic glaciers. Svalbard. Biogeosci. 13(3), 659–674. https://doi.org/10.5194/bg-13-659-2016 (2016).
Bokhorst, S., Huiskes, A., Convey, P. & Aerts, R. External nutrient inputs into terrestrial ecosystems of the Falkland Islands and the maritime Antarctic region. Polar Biol. 30, 1315–1321. https://doi.org/10.1007/s00300-007-0292-0 (2007).
Kazama, K. Bottom-up effects on coastal marine ecosystems due to nitrogen input from seabird feces. Ornithol. Sci. 18(2), 117–126. https://doi.org/10.2326/osj.18.117 (2019).
Ginn, B. et al. The perils of using sedimentary phosphorus concentrations for inferring long-term changes in lake nutrient levels: Comments on Hiriart-Baer et al., 2011. J. Gt. Lakes Res. 38(4), 825–829. https://doi.org/10.1016/j.jglr.2012.09.002 (2012).
Stewart, E. M. et al. Pond sediments on nesting islands in eastern Lake Ontario provide insights into the population dynamics and impacts of waterbird colonies. J. Great Lakes Res. 45(2), 350–359. https://doi.org/10.1016/j.jglr.2019.01.009 (2019).
Duda, M. P. et al. Linking 19th century European settlement to the disruption of a seabird’s natural population dynamics. Proc. Natl. Acad. Sci. 117(5), 32484–32492. https://doi.org/10.1073/pnas.2016811117 (2020).
Duda, M. P. et al. Long-term changes in terrestrial vegetation linked to shifts in a colonial seabird population. Ecosystems 23, 1643–1656. https://doi.org/10.1007/s10021-020-00494-8 (2020).
Michelutti, N. et al. Seabird-driven shifts in Arctic pond ecosystems. Proc. R. Soc. B Biol. Sci. 276(1656), 591–596. https://doi.org/10.1098/rspb.2008.1103 (2009).
Russel, J. & Fifield, D. Marine bird important bird areas in southeast newfoundland: Conservation concerns and potential strategies. Can. Nature Fed., Bird Studies Can., Natural History Society of Newfoundland and Labrador. 1–160 (2001). ibacanada.ca/documents/conservationplans/nlsoutheastnewfoundland.pdf. Accessed on 2024 Jan 27.
Chardine, J. W., Rail, J.-F. & Wilhelm, S. Population dynamics of Northern Gannets in North America, 1984–2009. J. Field Ornithol. 84, 187–192. https://doi.org/10.1111/jofo.12017 (2013).
Wilhelm, S. I. Colonial Seabird Database: Cape St. Mary’s Ecological Reserve (Unpublished). Mount Pearl, NL: Canadian Wildlife Service Branch, Environment and Climate Change Canada (2023). Accessed on 2024 Jan 10.
Keatley, B. E., Douglas, M. S. V., Blais, J. M., Mallory, M. L. & Smol, J. P. Impacts of seabird-derived nutrients on water quality and diatom assemblages from Cape Vera, Devon Island, Canadian high Arctic. Hydrobiologia 621, 191–205. https://doi.org/10.1007/s10750-008-9670-z (2009).
Nagar, N. et al. Seabird-mediated transport of organohalogen compounds to remote sites (North West Greenland polynya). Sci. Total Environ. 827, 154219. https://doi.org/10.1016/j.scitotenv.2022.154219 (2022).
Duda, M. Long-term trends in a vulnerable seabird species: Explorations of population dynamics using paleolimnology (Unpublished data). (Queen’s University, 2022). http://hdl.handle.net/1974/30051. Accessed on 2024 Mar 1.
Duda, M. P. et al. Environmental optima for common diatoms from Ontario lakes along gradients of lakewater pH, total phosphorus concentration, and depth. J. Paleolimnol. 70, 131–158. https://doi.org/10.1007/s10933-023-00288-7 (2023).
Van Dam, H., Mertens, A. & Sinkeldam, J. A coded checklist and ecological indicator values of freshwater diatoms from The Netherlands. Netherland J. Aquat. Ecol. 28, 117–133. https://doi.org/10.1007/BF02334251 (1994).
Thomas, E. & John, J. Diatoms in wetlands from the south-west of Western Australia: Community structure in relation to pH. J. R. Soc. West. Aust. 93(1), 29–42 (2010).
Lamb, A., Wilson, G. & Leng, M. A review of coastal palaeoclimate and relative sea-level reconstructions using [delta] 13C and C/N ratios in organic material. Earth-Sci. Rev. 74(1), 29–57. https://doi.org/10.1016/j.earscirev.2005.10.003 (2006).
Mackensen, A. & Schmiedl, G. Stable carbon isotopes in paleoceanography: Atmosphere, oceans, and sediments. Earth-Sci. Rev. 197, 102893. https://doi.org/10.1016/j.earscirev.2019.102893 (2019).
Liu, X.-D. et al. δ13C and δ15N in the ornithogenic sediments from the Antarctic maritime as palaeoecological proxies during the past 2000 year. Earth Planet. Sci. Lett. 243, 424–438. https://doi.org/10.1016/j.epsl.2006.01.018 (2006).
Cheng, W. et al. Sterols and stanols preserved in pond sediments track seabird biovectors in a high arctic environment. Environ. Sci. Technol. 50(17), 9351–9360. https://doi.org/10.1021/acs.est.6b02767 (2016).
Hargan, K. E. et al. 2018 Sterols and stanols as novel tracers of waterbird population dynamics in freshwater ponds. Proc. R. Soc. B Biol. Sci. 285, 20180631. https://doi.org/10.1098/rspb.2018.0631 (1877).
Peters, H. S. & Burleigh, T. D. The Birds of Newfoundland. Department of Natural Resources, Province of Newfoundland [by] Houghton Mifflin (1951).
Mowbray, T. B. Northern Gannet (Morus bassanus), version 1.0. Ithaca NY Birds World Cornell Lab Ornithol (2020). https://doi.org/10.2173/bow.norgan.01species_shared.bow.project_name
Hatch, S. A., Robertson, G. J. & Baird, P. H. Black-legged Kittiwake (Rissa tridactyla), version 1.0. Ithaca NY Birds World Cornell Lab Ornithol. (2020). https://doi.org/10.2173/bow.bklkit.01species_shared.bow.project_name
Robertson, G. J., Wilhelm, S. I. & Taylor, P. A. Population Size and Trends of Seabirds Breeding on Gull and Great Islands, Witless Bay Islands Ecological Reserve, Newfoundland, up to 2003 (Environment and Climate Change Canada, 2004).
Massaro, M., Chardine, J. W., Jones, I. L. & Robertson, G. J. Delayed capelin (Mallotus villosus) availability influences predatory behaviour of large gulls on black-legged kittiwakes (Rissa tridactyla), causing a reduction in kittiwake breeding success. Can. J. Zool. 78(9), 1588–1596. https://doi.org/10.1139/z00-085 (2000).
Dempson, J. B., O’Connell, M. F. & Schwarz, C. J. Spatial and temporal trends in abundance of Atlantic salmon, Salmo salar, in Newfoundland with emphasis on impacts of the 1992 closure of the commercial fishery. Fish. Manag. Ecol. 11, 387–402. https://doi.org/10.1111/j.1365-2400.2004.00407.x (2004).
Tait, E. M. Monitoring environmental change and ecosystem health using seabird guano chemistry. Thesis (University of St Andrews, 2017). hdl.handle.net/10023/15602. Accessed on 2023 Feb 25.
Gagne, T. O., Hyrenbach, K. D., Hagemann, M. E. & Van Houtan, K. S. Trophic signatures of seabirds suggest shifts in oceanic ecosystems. Sci. Adv. 4(2), eaao3946. https://doi.org/10.1126/sciadv.aao3946 (2018).
Morrissey. Seabirds of Newfoundland and Labrador: Using stable isotope techniques to investigate changing trophic position over ~120 years, and examining their influence on terrestrial coastal ecosystems [Thesis]. (Memorial University of Newfoundland, 2023). research.library.mun.ca/16136/1/converted.pdf. Accessed on 2024 June 29.
Blais, J. Tracing contaminants with d15N measurements: Response. Science 310, 443 (2005).
Besser, A. C., Elliot Smith, E. A. & Newsome, S. D. Assessing the potential of amino acid δ13C and δ15N analysis in terrestrial and freshwater ecosystems. J. Ecol. 110(4), 935–950. https://doi.org/10.1111/1365-2745.13853 (2022).
Threlfall, W. [n.d.] Pers. comm. (Primary reference from Montevecchi & Wells 1984). Department of Biology, Memorial University, St. John's, Newfoundland.
Montevecchi, W. A. & Wells, J. Mainland expansion of the Northern Gannet colony at Cape St. Mary’s. Newfoundland. Am. Birds 38, 259–262 (1984).
Protected Areas Association (PAA). Management Plan Cape St. Mary’s Ecological Reserve (1994). gov.nl.ca/ecc/files/natural-areas-pdf-cape-st-marys-ecological-reserve.pdf. Accessed on 2024 June 29.
Tuck, L. M. Comments on the Major Sea Bird Colonies of Eastern Canada (Unpublished) (Canadian Wildlife Service, Environment and Climate Change Canada, 1969).
Gilliard, E. T. The gannets of funk island. The Auk 54, 379–381. https://doi.org/10.2307/4078093 (1937).
Nelson, B. The Atlantic Gannet. 2nd Edition. Fenix. (Canadian Wildlife Service, Environment and Climate Change Canada, 2002).
Nettleship, D. N. & Chapdelaine, G. Population size and status of the Northern Gannet Sula bassanus in North America, 1984 (Tamaño de las Poblaciones y Status de Sula bassanus en Norte America). J. Field Ornithol. 59(2), 120–127 (1988).
d’Entremont, K. J. N. et al. Northern gannets (Morus bassanus) breeding at their southern limit struggle with prey shortages as a result of warming waters. ICES J. Mar. Sci. 79(1), 50–60. https://doi.org/10.1093/icesjms/fsab240 (2022).
Montevecchi, W. et al. Ocean heat wave induces breeding failure at the southern breeding limit of the Northern Gannet Morus bassanus. Mar. Ornithol. 49(1), 71–78 (2021).
Montevecchi, W. A. et al. Eastern coyote (Canis latrans) predation on adult and pre-fledgling northern gannets (Morus bassanus) nesting on mainland cliffs at Cape St. Mary’s, Newfoundland. Canada. Mar. Ornithol. 47, 39–42 (2018).
Avery-Gomm, S., Barychka, T., English, M., Ronconi, R., Wilhelm, S. I., Rail & J. F., et al. Wild bird mass mortalities in eastern Canada associated with the Highly Pathogenic Avian Influenza A (H5N1) virus, 2022. bioRxiv [pre-print] (2024). https://doi.org/10.1101/2024.01.05.574233
IBA.Important Bird Areas of Newfoundland [Interactive Map]. Important Bird Area Program, BirdLife International (2024). ibacanada.ca/explore_how.jsp?lang=en. Accessed on 2024 Jan 25.
Meades, W. J. A phytosociological classification of the Avalon Peninsula heath, Newfoundland. [thesis] (Memorial University of Newfoundland, 1973). research.library.mun.ca/7215/. Accessed on 2023 August 26
Cannings, R. J. & Threlfall, W. Horned lark breeding biology at Cape St. Mary’s Newfoundland. Wilson Bull. 93, 519–530 (1981).
Gaston, A. J. & Hipfner, J. M. Thick-billed Murre (Uria lomvia), version 1.0. Ithaca NY Birds World Cornell Lab Ornithol (2020). https://doi.org/10.2173/bow.thbmur.01species_shared.bow.project_name
Wilhelm, S. I. Pers. comm (Canadian Wildlife Service Branch, Environment and Climate Change Canada, 2023).
Glew, J. R. & Smol, J. P. A push corer developed for retrieving high-resolution sediment cores from shallow waters. J. Paleolimnol. 56, 67–71. https://doi.org/10.1007/s10933-015-9873-z (2016).
Glew John, R. A portable extruding device for close interval sectioning of unconsolidated core samples. J. Paleolimnol. https://doi.org/10.1007/BF00177769 (1988).
Appleby, O. The calculation of lead-210 dates assuming a constant rate of supply of unsupported 210Pb to the sediment. CATENA 5(1), 1–8. https://doi.org/10.1016/S0341-8162(78)80002-2 (1978).
Schelske, C. L., Peplow, A., Brenner, M. & Spencer, C. N. Low-background gamma counting: Applications for210Pb dating of sediments. J. Paleolimnol. 10, 115–128. https://doi.org/10.1007/BF00682508 (1994).
Schelske, C. L. & Hodell, D. A. Using carbon isotopes of bulk sedimentary organic matter to reconstruct the history of nutrient loading and eutrophication in Lake Erie. Limnol. Oceanogr. 40, 918–929. https://doi.org/10.4319/lo.1995.40.5.0918 (1995).
SGS Canada Inc. Geochemistry guide: The foundation of project success. [website] Lakefield, ON: Société Générale de Surveillance (2020). sgs.com/en/-. Accessed on 2022 Feb 10
Michelutti, N. et al. Do spectrally inferred determinations of chlorophyll a reflect trends in lake trophic status?. J. Paleolimnol. 43, 205–217. https://doi.org/10.1007/s10933-009-9325-8 (2010).
Michelutti, N. & Smol, J. P. Visible spectroscopy reliably tracks trends in paleo-production. J. Paleolimnol. 56, 253–265. https://doi.org/10.1007/s10933-016-9921-3 (2016).
Krammer, K. & Lange-Bertalot, H. Bacillariophyceae. 3. Teil: Centrales, Fragilariaceae. Eunotiaceae. Süsswasserflora von Mitteleuropa 2, 1–576 (1991).
Wickham, H. et al. Welcome to the Tidyverse. J. Open Source Softw. 4(43), 1–6. https://doi.org/10.21105/joss.01686 (2019).
Dunnington, D. W., Libera, N., Kurek, J., Spooner, I. S. & Gagnon, G. A. tidypaleo: Visualizing paleoenvironmental archives using ggplot2. J. Stat. Softw. 101, 1–20. https://doi.org/10.18637/jss.v101.i07 (2022).
Grimm, E. C. CONISS: A FORTRAN 77 program for stratigraphically constrained cluster analysis by the method of incremental sum of squares. Comput. Geosci. 13, 13–35. https://doi.org/10.1016/0098-3004(87)90022-7 (1987).
Duda, M. P. et al. Climate oscillations drive millennial-scale changes in seabird colony size. Glob. Change Biol. 28(14), 4292–4307. https://doi.org/10.1111/gcb.16171 (2022).
Acknowledgements
We acknowledge Tina Leonard of the Natural Areas Program for their Wilderness and Ecological Reserve Permit #03294, as well as the Paleoecological Environmental Assessment and Research Lab and Dr. Geert Van Biesen and Joanne Potter of The Earth Resources Research and Analysis Facility (TERRA) of Memorial University of Newfoundland for their help while undertaking this research. Thank you to Molly Morrissey, Madeline Sceviour, Maliya Cassels, and Veronica Smith of the Paleoecology Lab of Memorial University of Newfoundland for fieldwork and lab assistance. Lastly, we would also like to acknowledge the individuals who work at Cape St. Mary’s Ecological Reserve for their support and guidance while conducting research within the Reserve. This work was supported by Environment and Climate Change Canada’s Strategic Technology Applications of Genomics in the Environment program, as part of the federal Genomics Research and Development Initiative, and NSERC. This work was also within the project PAST, financially supported by the European Commission (H2020-MSCA-IF-2019, Grant No. 897535).
Author information
Authors and Affiliations
Contributions
K.E.H., A.S.L., W.A.M. conceptualized study. K.E.H., J.P.S., N.M. provided methodology foundation. J.B., I.A-M. undertook investigation and formal analysis. K.E.H., A.S.L., J.P.S. provided resources. K.E.H., A.S.L., G.J.R. applied for funding. S.I.W. curated seabird population data. J.B. wrote the original draft. I.A-M.,K.E.H., A.S.L., J.P.S., N.M., G.J.R., S.I.W., W.A.M. reviewed and edited the draft manuscript.
Corresponding author
Ethics declarations
Competing interests
The authors declare no competing interests.
Additional information
Publisher's note
Springer Nature remains neutral with regard to jurisdictional claims in published maps and institutional affiliations.
Supplementary Information
Rights and permissions
Open Access This article is licensed under a Creative Commons Attribution-NonCommercial-NoDerivatives 4.0 International License, which permits any non-commercial use, sharing, distribution and reproduction in any medium or format, as long as you give appropriate credit to the original author(s) and the source, provide a link to the Creative Commons licence, and indicate if you modified the licensed material. You do not have permission under this licence to share adapted material derived from this article or parts of it. The images or other third party material in this article are included in the article’s Creative Commons licence, unless indicated otherwise in a credit line to the material. If material is not included in the article’s Creative Commons licence and your intended use is not permitted by statutory regulation or exceeds the permitted use, you will need to obtain permission directly from the copyright holder. To view a copy of this licence, visit http://creativecommons.org/licenses/by-nc-nd/4.0/.
About this article
Cite this article
Bosch, JL., Álvarez-Manzaneda, I., Smol, J.P. et al. Blending census and paleolimnological data allows for tracking the establishment and growth of a major gannet colony over several centuries. Sci Rep 14, 20462 (2024). https://doi.org/10.1038/s41598-024-69860-z
Received:
Accepted:
Published:
Version of record:
DOI: https://doi.org/10.1038/s41598-024-69860-z






