Abstract
Inbreeding depression, the loss of offspring fitness due to consanguineous mating, is generally detrimental for individual performance and population viability. We investigated inbreeding effects in a declining population of Antarctic fur seals (Arctocephalus gazella) at Bird Island, South Georgia. Here, localised warming has reduced the availability of the seal’s staple diet, Antarctic krill, leading to a temporal increase in the strength of selection against inbred offspring, which are increasingly failing to recruit into the adult breeding population. However, it remains unclear whether selection operates before or after nutritional independence at weaning. We therefore used microsatellite data from 885 pups and their mothers, and SNP array data from 98 mother–offspring pairs, to quantify the effects of individual and maternal inbreeding on three important neonatal fitness traits: birth mass, survival and growth. We did not find any clear or consistent effects of offspring or maternal inbreeding on any of these traits. This suggests that selection filters inbred individuals out of the population as juveniles during the time window between weaning and recruitment. Our study brings into focus a poorly understood life-history stage and emphasises the importance of understanding the ecology and threats facing juvenile pinnipeds.
Similar content being viewed by others
Genetic diversity is fundamental for species survival and adaptation, especially in the Anthropocene where environments are changing rapidly1. Understanding the evolutionary mechanisms that shape genetic diversity is therefore essential for predicting species persistence and for informing conservation policies2,3. Arguably, one of the most important of these mechanisms is inbreeding depression, the loss of offspring fitness that can occur when close relatives mate4. Fitness is reduced because inbreeding increases genome-wide homozygosity, exposing recessive deleterious alleles to selection and, to a lesser extent, reducing heterozygote advantage4. Studies of captive populations have documented strong effects of inbreeding on key fitness traits such as neonatal survival, longevity and reproductive success4,5,6. However, inbreeding has been more challenging to study in wild populations7, leaving numerous open questions about the importance of inbreeding depression and its dependence on life-history and environmental factors8,9.
Historically, pedigrees were considered the gold standard for quantifying inbreeding and its effects on fitness10,11. However, pedigrees are challenging to construct for wild populations as they require the intensive monitoring of entire populations over multiple generations. Furthermore, pedigree inbreeding coefficients measure the expected proportion of an individual’s genome that is identical by descent (IBD) based on the known common ancestors of its parents, whereas realised IBD will differ stochastically from this expectation due to Mendelian segregation and recombination12,13,14. By contrast, molecular genetic approaches can directly quantify variation in heterozygosity across the genome. Hence, many studies have used the heterozygosity of small panels of genetic markers (typically around 10–20 microsatellites) as a proxy for inbreeding15,16. This approach has uncovered heterozygosity fitness correlations (HFCs) for a variety of life-history, physiological and behavioural traits including birth weight and neonatal survival17, resistance to parasites18,19, aggressiveness20 and even attractiveness21.
Due to the relatively low cost and ease of genotyping microsatellites, the HFC approach can be readily scaled up to include hundreds or even thousands of individuals, facilitating large-scale comparisons over time and across different life-history stages22,23,24. However, small panels of microsatellites typically have limited power to capture genome-wide variation in inbreeding25,26,27. Consequently, there has been a growing focus on genome-wide approaches capable of quantifying inbreeding with greater precision19,28,29,30,31. In particular, many studies are now using single nucleotide polymorphism (SNP) arrays or whole genome resequencing to characterise runs of homozygosity (ROHs), long homozygous tracts that occur when an individual inherits the same IBD haplotype from both of its parents30,32,33. By summing up the ROHs within an individual’s genome and expressing this as a proportion of the total genome length, the genomic inbreeding coefficient FROH can be calculated31,34.
Studies based on ROHs have confirmed that inbreeding occurs in many animal species and can have strong effects on individual fitness9,28,35,36. However, less is known about the effects of maternal inbreeding on offspring fitness, although see28,29,37. Filling this knowledge gap is important because transgenerational inbreeding effects can potentially exacerbate individual inbreeding effects, especially in species where mothers provision their offspring37. The interplay between individual and maternal inbreeding might therefore have important consequences for neonatal survival and growth, early-life traits that can influence population dynamics, especially under stressful environmental conditions that can exacerbate inbreeding depression38.
A long-term study of Antarctic fur seals (Arctocephalus gazella) at Bird Island, South Georgia, provides an excellent opportunity to investigate the effects of individual and maternal inbreeding on early-life traits in a wild marine mammal. This species is polygynous39 and adults of both sexes show strong site fidelity40,41, behavioural traits that can promote inbreeding. Furthermore, strong population structure exists across the species geographical range, implying that gene flow is restricted among populations42,43,44,45. In line with this, HFCs have already been documented for multiple traits in Antarctic fur seals including body size and reproductive success in males21,46,47 and the propensity of female offspring to recruit into the adult breeding population24. Furthermore, the population of Antarctic fur seals at Bird Island has been gradually declining since the mid 1980s, a pattern that has been linked to a long-term trend of decreasing local krill abundance24,48,49,50. In parallel, the average heterozygosity of the breeding female population has been steadily increasing over time, and we have shown that recruiting females are significantly more heterozygous than non-recruits24. This suggests that, as environmental conditions have worsened, homozygous female offspring are increasingly being filtered out of the population prior to recruitment24.
To better understand the decline of the Antarctic fur seal population at South Georgia, we need to learn more about how selection operates against homozygous individuals and exactly when this filtering process takes place. We envisage two, non-mutually exclusive possibilities. First, selection may operate during the time-window from birth until weaning at around four months of age51, in which case one would expect to observe a negative relationship between inbreeding and pup survival. Furthermore, as Antarctic fur seal pups are dependent on their mothers for nutrition and protection from predators during this period, one might also expect to observe maternal inbreeding effects on pup survival.
Alternatively, selection may operate during the time-window after weaning and prior to recruitment at around 4–6 years of age49. Indeed, one might expect selection against inbred animals to be stronger during this period as juveniles are nutritionally independent from their mothers and have to fend for themselves. However, this does not necessarily mean that maternal inbreeding effects will be absent, as recruitment success has been linked in pinnipeds to birth mass24 and mass at weaning52, traits which are themselves reflections of the amount of maternal investment53,54,55,56,57.
We investigated the above possibilities by analysing relationships between individual inbreeding, maternal inbreeding and three important early-life traits in Antarctic fur seals: pup birth mass, pup survival and pup growth. For this, we generated two datasets. The first of these comprised 885 pups and 342 mothers from a single breeding colony genotyped at 39 microsatellites. This dataset spanned four consecutive breeding seasons, including one of the worst years on record in terms of female breeding numbers, pup birth mass and food availability (Fig. 1). To measure pup growth, the animals were weighed at birth and were subsequently recaptured and weighed again at around 50 days of age. The second dataset comprised 98 pups and their mothers sampled from two adjacent breeding colonies during two consecutive breeding seasons58. These animals were fitted with VHF transmitters, which allowed the pups to be recaptured and weighed every ten days from birth until just before moulting at around 60 days of age, allowing the construction of individual growth curves. These pups and their mothers were genotyped on a recently developed 85 k SNP array59 for the quantification of genomic inbreeding.
Interannual variation in three measures of season quality. (a) Map of Bird Island, South Georgia, showing the location of two adjacent breeding colonies, the Special Study Beach (SSB) and Freshwater Beach (FWB); (b) Annual numbers of breeding females on SSB; (c) The birth mass of female pups born on SSB; (d) The amount of time spent foraging at sea by mothers (data are from FWB). The squares show the means and the whiskers show the 95% confidence intervals. Data from 2019 and 2020 are already published by Nagel et al.61.
We hypothesised that (1) selection against inbred Antarctic fur seals occurs mainly during the time window after weaning and prior to recruitment, which we expect to be the most vulnerable life stage. We therefore expect pup survival prior to weaning to be unrelated to its level of inbreeding. Furthermore, because inbred pups are less likely to recruit24 and recruitment in pinnipeds is often related to body mass24,52, we hypothesised that (2) inbred pups would exhibit slower growth. We additionally hypothesised that (3) pups born to inbred mothers would have lower survivorship and gain less weight.
Results
To test for effects of individual and maternal inbreeding on pup birth mass, survival and growth, we analysed two datasets. The first of these comprised 885 pups (of which 432 were male and 453 were female) and 342 mothers sampled over four consecutive breeding seasons (2018–2021 inclusive) at the Special Study Beach (SSB; Fig. 1a) of which 722 (82%) survived until the end of the field season. These pups were weighed at birth and subsequently recaptured and weighed again at a mean age of 49 days (range 12–89 days). Both the pups and their mothers were genotyped at 39 microsatellites that have previously been shown to be in Hardy–Weinberg equilibrium and linkage equilibrium in the study population42,60. The second dataset comprised 98 mother–offspring pairs (i.e. a total of 196 individuals, comprising 51 male and 47 female pups and their mothers) sampled over two consecutive breeding seasons (2019 and 2020) from SSB and Freshwater Beach (FWB; Fig. 1a), of which 76 pups (78%) survived until the end of the field season. Repeated weight measurements were gathered from these pups from birth until around 60 days of age (mean = 56, range 43–70 days). To increase genetic resolution for this subset of animals, we genotyped them on a custom SNP array, resulting in a dataset of 190 individuals (97 pups and 93 mothers) genotyped at 75,101 informative SNPs.
Seasonal variation
The four years of our study varied in three measures of breeding season quality (Fig. 1). The 2019 season was among the worst on record49, as indicated by substantially lower numbers of breeding females (Fig. 1b), reduced pup birth mass (Fig. 1c) and relatively long foraging trip durations (Fig. 1d), which indicate that fewer food resources were available to the breeding females. By comparison, the 2020 season had the highest pup birth mass and the shortest foraging trip durations, although female numbers were higher in 2018.
Molecular inference of inbreeding
Estimates of the two-locus disequilibrium g2 were positive and significant for both the microsatellite (g2 = 0.00055, 95% CI −0.00008 to 0.00122, p = 0.028) and the SNP (g2 = 0.00012, 95% CI = 0.000086–0.00015, p = 0.001) datasets (see Supplementary Fig. S1) indicating that both sets of markers capture variation in inbreeding in the study population. The genomic inbreeding coefficient FROH varied from 0.0464 to 0.1042 and averaged 0.0720 for the mother–pup pairs genotyped on the SNP array.
Effects of microsatellite heterozygosity on pup birth mass, survival and growth
No effects of either individual or maternal sMLH were found on pup birth mass when controlling for the potentially confounding effects of pup sex, maternal age and breeding season (Fig. 2a, Supplementary Table S1a). Male pups were born heavier than females (p < 0.001, Fig. 2a, Supplementary Table S1a), older mothers gave birth to heavier pups (p < 0.001, Fig. 2a, Supplementary Table S1a) and pups were also born lighter in 2019 compared to 2018 (p = 0.008 Fig. 2a, Supplementary Table S1a). Similarly, when controlling for potentially confounding effects, no effects of individual or maternal sMLH were found on pup survival (Fig. 2b, Supplementary Table S2a), although heavier pups had higher survival (p = 0.003, Fig. 2b, Supplementary Table S2a) and male pups had lower survival than female pups after controlling for birth mass (p = 0.013, Fig. 2b, Supplementary Table S2a). In our pup growth model, we found a weak positive effect of sMLH (p = 0.022, Fig. 2c, Supplementary Table S3a) on growth, and male pups gained significantly more weight than females (p = 0.021, Fig. 2c, Supplementary Table S3a). Older pups were also significantly heavier (p < 0.001, Fig. 2c, Supplementary Table S3a) and pups born in 2019, 2020 and 2021 were heavier than pups born in 2018 (p < 0.001, Fig. 2c, Supplementary Table S3a).
Model estimates and associated 95% confidence intervals for the fixed effects of (a) pup birth mass; (b) pup survival; and (c) pup growth in models including maternal effects; and (d) pup birth mass; (e) pup survival; and (f) pup growth in models excluding maternal effects. Statistically significant relationships are highlighted in salmon pink. Some of the significant relationships have small effect sizes and thus appear to overlap zero in the figure, but their 95% CIs do not overlap zero (see Supplementary Tables 1–3 for the exact values of the parameter estimates).
To investigate further, we repeated the above analyses using a larger dataset including many additional pups with unknown mothers (see Methods for details). Overall, the results were similar, with a few exceptions. For pup birth mass, all of the seasons showed significant differences compared to 2018 (p < 0.01, Fig. 2d, Supplementary Table S1b). For pup survival, we also found significant seasonal differences, with more pups surviving in 2019 compared to 2018 and fewer pups surviving in 2021 (p < 0.05, Fig. 2e, Supplementary Table S2b). For pup growth, we found a significant positive effect of pup birth mass (p = 0.002, Fig. 2f, Supplementary Table S3b) but the effect of pup sMLH was not significant.
Effects of genomic inbreeding on pup birth mass, survival and growth
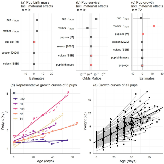
When controlling for the potentially confounding effects of pup sex, breeding season and colony, no effects of individual or maternal FROH were found on pup birth mass (Fig. 3a, Supplementary Table S4), nor were there any differences between the two breeding colonies or seasons (Fig. 3a, Supplementary Table S4), although male pups were born heavier than females (p = 0.021, Fig. 3a, Supplementary Table S4). We also found no effects of individual or maternal FROH on pup survival (Fig. 3b, Supplementary Table S5), although survivorship was higher at SSB (p = 0.028, Fig. 3b, Supplementary Table S5) and heavier born pups were more likely to survive (p = 0.042, Fig. 3b, Supplementary Table S5) when the other covariates were held constant. Maternal FROH was positively associated with pup growth (p = 0.003, Fig. 3c, Supplementary Table S6), male pups gained more weight than females (p < 0.001, Fig. 3c, Supplementary Table S6) and older pups were heavier (p < 0.001, Fig. 3c, Supplementary Table 6). Analyses of the repeated weight measurements revealed that individual growth trajectories were best described by a linear relationship (Fig. 3d,e). Pup FROH, birth mass, season and breeding colony had no significant effects on growth (Fig. 3c, Supplementary Table S6).
Results of genomic inbreeding analyses, including model estimates and associated 95% confidence intervals (CIs) for the fixed effects of (a) pup birth mass; (b) pup survival; and (c) pup growth. Statistically significant relationships are highlighted in salmon pink. Some of the significant relationships have small effect sizes and thus appear to overlap zero in the figure, but their 95% CIs do not overlap zero (see Supplementary Tables 4–6 for the exact values of the parameter estimates). Panels (d) and (e) depict approximately linear increases in pup mass over time for a representative subset of five pups and for all 98 pups respectively. The dark line in panel (e) indicates the global average rate of change over time (y = 0.081x + 5.617).
Discussion
We used molecular and life-history data from an intensively studied Antarctic fur seal population to test for inbreeding depression for three important early acting traits. Using microsatellite and SNP array data, we found no effects of individual or maternal inbreeding on pup birth mass and survival. The results for pup growth were less clear as they depended on the dataset, but again we did not find any consistent evidence for inbreeding depression. Taken together, our results suggest that selection against inbred pups is unlikely to be important during the first three months of life. By implication, selection against inbred offspring likely operates during the juvenile stage after nutritional independence.
Study design and comparison to previous studies
Our study complements and builds upon two previous studies of inbreeding depression in Antarctic fur seal pups. The first of these found no effects of individual or maternal heterozygosity at nine microsatellites on pup birth mass and survival62 and the second found no effects of individual heterozygosity at 48 microsatellites on neonatal mortality due to bacterial infection60. However, both of these studies had limitations. The first had a relatively large sample size of individuals and incorporated maternal effects, but simulations and empirical studies have since shown that nine microsatellites provide a poor estimate of inbreeding in all but the most inbred of populations25. The second study, on the other hand, used a larger panel of microsatellites but focused on a more narrowly defined trait and did not incorporate maternal effects. The current study aimed to produce a more comprehensive and detailed picture of how selection acts in early life by incorporating three main improvements. First, we broadened the focus to include not only pup birth weight and survival, but also growth, inferred from repeated measurements of the same individuals. Understanding the effects of inbreeding on early growth is important because body size at weaning is known to influence subadult survival and recruitment success in several pinniped species52,57,63,64,65. Second, genetic parentage analysis allowed us to confirm the maternity of the majority of pups, allowing us to jointly analyse individual and maternal inbreeding effects for all three traits. Third, we genotyped a sufficiently large number of microsatellites to capture a clear signal of identity disequilibrium, as indicated by a statistically significant g2 statistic, indicating that these markers capture variation in genome-wide heterozygosity due to inbreeding. We furthermore used a SNP array to quantify genomic inbreeding for a smaller number of animals that were radio tracked from birth until moulting, allowing the construction of detailed individual growth curves. While microsatellite-based sMLH and SNP-based FROH are not strictly comparable measures, we consider them to be the most appropriate inbreeding estimators for the respective data types31,66.
Pup birth mass and survival
We found that male pups were born heavier but had lower survival than female pups, older mothers gave birth to heavier pups, and heavier pups had higher survival. The associations that we found between pup sex and pup birth mass, and between pup weight and maternal age have already been reported for the study population51,54,67. By contrast, we did not find any effects of individual or maternal inbreeding on pup birth mass or survival after controlling for pup sex and breeding season. We note that the estimates that we obtained for pup sMLH and pup FROH are larger than the estimates for the other covariates in the models of pup survival, but the correspondingly large 95% CIs indicate that these estimates are imprecise. Therefore, we cannot reject the null hypothesis of no effects of pup sMLH and pup FROH on survival. Consequently, we currently have no evidence that inbreeding affects survival during the first three months of life, which aligns with the results of previous studies of the same species60,62. This is in contrast to the situation with harbour seals17, grey seals68 and California sea lions69, where microsatellite heterozygosity is strongly associated with neonatal survival. The most likely explanation for this difference is that most Antarctic fur seal pups die of causes that may not have a genetic basis including starvation, trauma62 and predation61,70,71. These findings do not support the hypothesis that selection operates to filter inbred pups out of the population prior to weaning. However, it is important to note that we could only follow the pups intensively until they began to moult at around 50–60 days of age, which is around two months before weaning takes place51. Nevertheless, 50% of the pup mortality that we observed in our study occurred in the first seven days of life, 90% of the pups had died before 35 days, and only seven individuals were older than 60 days when they died, similar to previously reported by Doidge et al.72. Consequently, it seems unlikely that (m)any of our focal pups died between moulting and weaning.
Pup growth
As body mass at weaning is an important predictor of juvenile survival in pinnipeds52,57,63,64,65, we hypothesised that the higher recruitment success of outbred individuals might be explained by increased growth rates during early life. We therefore used two approaches to quantify pup growth. First, for a large dataset of pups spanning four consecutive seasons and genotyped at 39 microsatellites, we captured pups shortly after birth and subsequently at tagging 12–89 (mean = 49) days later. We then controlled for the variation in recapture time by including age as a fixed effect in our models. Second, we made use of more detailed growth information available for 100 pups that were recaptured every 10 days from birth until moulting. This revealed growth trajectories to be approximately linear during the first 60 days of life, which justifies our approach of applying linear models of weight gain for both datasets.
Starting with the microsatellite dataset, the model including maternal effects revealed a significant positive association between individual heterozygosity and pup growth, but this was not significant in the model excluding maternal effects. It is possible that the significant relationship could be genuine, but we consider this unlikely given that the non-significant model is based on a dataset containing over twice as many individuals. Alternatively, this discrepancy might be due to collider bias73, which is a type of selection bias where the likelihood of a sample’s inclusion in a given dataset is influenced by an unknown variable (the “collider”), which is affected by both the response variable (x) and the predictor (y). When the collider is included in the model, it could induce an association between x and y that does not exist, or flip the estimate in the opposite direction if an association does exist. It is possible that this could have occurred in our study, as pups for which maternal information was available were born to tagged females in the study population, who tend to be older and thus more experienced than untagged females. Hence, pups born to untagged females might experience weaker inbreeding depression due to their fitness being primarily determined by the lack of experience of their mothers. However, this seems unlikely given that we did not find a significant effect of mother’s age on pup growth. Alternatively, including maternal sMLH in the model might have masked a significant effect of pup sMLH. However, this is again not supported by our data as the association between pup sMLH and growth remained significant even after removing maternal sMLH from the model (data not shown). Given that no relationship between inbreeding and pup growth was found for the larger microsatellite dataset as well as for the genomic dataset (see below), a final possibility could be type I error.
Genomic inbreeding
To quantify inbreeding with greater precision, we genotyped 100 pups and their mothers on an 85 k SNP array59 and quantified each individual’s FROH as a measure of IBD. These individuals were sampled in two consecutive years from two neighbouring breeding colonies, SSB and FWB61. In line with the results of the microsatellite analyses, no effects of individual or maternal FROH were found on pup birth mass and survival. In addition, a significant effect of colony was found on pup survival, with pups from SSB being more likely to survive. This has been shown previously61 and can be attributed to predation being higher at the lower density FWB colony61,71.
In contrast to the results of the microsatellite analyses, we found a significant effect of maternal FROH on pup growth, although the direction of the relationship was the opposite to what we originally hypothesised, with inbred mothers tending to have pups that gained more weight. Again, this could potentially be due to type I error given our relatively small sample size for this analysis. However, taking this result at face value, we can think of two alternative explanations. First, because inbreeding tends to reduce longevity7,29, inbred mothers may trade-off current versus future reproduction and invest more heavily into their current offspring. However, theoretical models suggest maternal inbreeding is unlikely to affect optimal parental investment74, while an empirical study of zebra finches found that inbred mothers showed reduced, rather than increased, maternal care75. Another possibility is that Antarctic fur seal pups may be better able to extract resources from inbred mothers, for example via more effective food solicitation. In line with this, it has been shown that maternal provisioning in Antarctic fur seals varies over time and depends on a combination of both maternal and offspring traits, with heavier pups receiving more milk at around one month of age, but maternal mass being the primary determinant of energy allocation in newborn and two-month old pups76. This suggests that who is in control of parental investment is dynamic across the investment period and that maternal traits are more important determinants of maternal care overall.
Implications
A previous study of Antarctic fur seals found that inbred female offspring are increasingly less likely to recruit into the adult breeding population due to climate-mediated reductions in local food availability24. This suggests that inbred offspring are increasingly failing to survive until adulthood in a changing environment. Our study aimed to evaluate whether viability selection against inbred offspring operates before or after nutritional independence. We found that selection against inbred animals is weak or absent prior to weaning, suggesting that environmental factors have a greater impact on these early-life history traits than genetic factors, and that inbreeding depression primarily acts during the juvenile stage. In line with this, survival has been shown to decline after weaning and is strongly related to sea surface temperature during the first six months of nutritional independence in a closely related pinniped, the subantarctic fur seal64. This environmental dependence of early survival mirrors the situation in Antarctic fur seals, where Forcada et al.24 showed that the strength of inbreeding depression varies with the Southern Annular Mode, a measure of climate variability in the Southern Ocean, which is positively correlated with SST, low krill supply and reduced fur seal viability24,49. Collectively, these studies suggest that juvenile pinnipeds may be particularly vulnerable to the selection pressures imposed by changing environments. Hence, we urgently need to learn more about the ecology of juvenile pinnipeds and the threats facing them during this critical life history stage.
Conclusion
To summarise our main results, we did not find any significant effects of either individual or maternal inbreeding on pup birth mass and survival in Antarctic fur seals. Furthermore, our results for pup growth were not consistent across datasets and methods, leading us to conclude that there is no clear evidence for inbreeding depression for pup growth. While larger sample sizes would be required to reach more definitive conclusions, our results suggest that selection against inbred Antarctic fur seals operates mainly after nutritional independence at weaning. Our study therefore brings into focus a life-history stage that is little studied and poorly understood.
Methods
Field methods
This study was conducted at an intensively studied breeding population of Antarctic fur seals at Bird Island, South Georgia (54°00024.800 S, 38°03004.100 W) during the austral summers of 2017–2018 to 2020–2021 (hereafter, breeding seasons are referred to by the year in which they ended). Our main study colony (Special Study Beach; SSB, see Fig. 1a) is located at a small cobblestone breeding beach (approximately 440 m2 at high tide) where a scaffold walkway72 provides safe access to the animals while minimizing disturbance. A second breeding colony, referred to as Freshwater Beach (FWB, see Fig. 1a), is located approximately 200 m to the north.
The seals were captured and restrained following protocols that have been established over more than 40 consecutive years of the long-term monitoring and survey program of the British Antarctic Survey (BAS). As part of this long-term monitoring program, almost a thousand adult females were tagged using cattle ear tags (Dalton Supplies, Henley on Thames, UK) placed in the trailing edge of the foreflipper77,78. The majority of these females were aged from canine tooth sections79,80. Pups were captured on the day of birth, sexed, and weighed. Piglet ear notching pliers were used to collect a small skin sample from the interdigital margin of the foreflipper, which was stored individually in 20% dimethyl sulphoxide (DMSO) saturated with salt81 at − 20 °C. The pups were then marked with temporary serial numbers by bleaching the fur on their backs before returning them to their mothers, which were tissue sampled later in the season (January–March).
Twice-daily surveys were made of all females and their pups present in the colony from the beginning of November until the end of January. To gather data on growth and survival, we recaptured the pups and weighed them again after a mean of 49 days (min: 12 days, max: 89 days) and we recorded the identities of any pups that died during this period.
To provide more detailed insights into pup growth, we also collected serial weight measurements from a subset of pups as described by Nagel et al.82. Briefly, during the breeding seasons of 2019 and 2020, a total of 100 unique mother–pup pairs (n = 200 individuals) were captured, 50 pairs from SSB and 50 pairs from FWB. Because mothers and their offspring become increasingly mobile as the pups mature58, VHF transmitters were attached to the animals to allow them to be located, recaptured and weighed every ten days from birth until they started to moult (ca. 60 days).
Microsatellite genotyping
Total genomic DNA was extracted using an adapted chloroform-isoamylalcohol protocol82 and genotyped for 39 microsatellite loci as described by Paijmans et al.42. Briefly, the microsatellite loci were PCR‐amplified in five separate multiplexed reactions using a Type It Kit (Qiagen). Fluorescently labelled PCR products were then resolved by electrophoresis on an ABI 3730xl capillary sequencer (Applied Biosystems, Waltham, MA, USA). Allele sizes were scored automatically using GeneMarker v. 2.6.2 (SoftGenetics, LLC., State College, PA, USA) and the resulting genotypes were manually inspected and corrected where necessary. Those genotypes with fewer than five missing loci were then used to quantify individual standardized multilocus heterozygosity (sMLH)18 using the sMLH function of the InbreedR package83. The same package was also used to quantify identity disequilibrium using the g2 statistic84, with 1000 permutations.
Up to around ten percent of mother–offspring pairs identified in the field are known to genetically mismatch, mainly due to a combination of fostering and milk-stealing85. We therefore used NEWPAT86 to check the maternity of all pups. Any pairs of genotypes with up to three mismatching loci were visually inspected as described by Hoffman et al.87. Mismatches that could be clearly attributed to scoring errors were then corrected. Mothers with zero (n = 500, 90%) or one mismatching locus (n = 29, 5%) were considered to be biological mothers and were retained in the final dataset, while the remaining mothers (n = 26, 5%) were removed.
SNP genotyping
Additional genotyping was performed for the 98 pups and their mothers for which detailed growth data were available. These animals were genotyped using a custom 85 k Affymetrix SNP array (for details, see Humble et al.59). Quality control was performed in the Axiom Analysis Suite (5.0.1.38, Affymetrix) using the standard parameter threshold settings for diploid organisms. To recover SNPs that were initially classified as “off-target variants”, we used the “Run OTV caller” function in the Axiom Analysis Suite. This resulted in a dataset of 77,895 SNPs (97% of the 85,359 SNPs tiled on the array), of which 75% were categorised as “polymorphic high resolution”, 14% as “no minor homozygote” and 2.5% as “monomorphic high resolution”. SNPs showing a high Mendelian error rate were removed (n = 240) using the –me flag in PLINK version 1.988, with a per-sample error rate of at most 0.05 and a per-variant error rate of at most 0.1. In addition, SNPs that departed significantly from Hardy Weinberg equilibrium (HWE, n = 238) were removed using the –hwe flag with a p-value threshold of 0.001 and the midp modifier in PLINK. Finally, we removed SNPs that did not map to the reference genome and filtered the dataset to only include autosomal SNPs, resulting in a final filtered dataset of 75,101 SNPs.
We then used the SNP data to calculate each individual’s genomic inbreeding coefficient, FROH. For this, we first called ROHs on autosomes using the PLINK function –homozyg with the parameter settings described by Humble et al.59. Briefly, we called ROH with a minimum length of 1000 kb and containing at least 20 SNPs while allowing no more than one heterozygous site and a maximum gap of 1,000 kb using the command –homozygwindow-snp 20 –homozyg-snp 20 –homozyg-kb 1000 –homozyg-gap 1000 –homozyg-density 100 –homozyg-window-missing 5 –homozyg-het 1 –homozyg-window-het 1 –homozyg-window-threshold 0.05. The sum of the calculated ROH lengths was then divided by the total autosome length (2.28 Gb) to obtain FROH. The two-locus heterozygosity disequilibrium (g2) was also calculated for the SNP data as described above.
Statistical analyses
We implemented a series of statistical models to investigate whether individual and / or maternal heterozygosity explain a significant proportion of the variation in (i) pup birth mass, (ii) pup survival, and (iii) pup growth. Models of pup growth could only be implemented for surviving pups because the majority of dead pups could either not be recovered or were scavenged by skuas and giant petrels. In order to allow the joint analysis of individual and maternal effects, we initially focused on the subset of pups with known, genetically assigned mothers (342 out of 885 pups, 39%). To maximise our sample size, we also ran the same models for the full dataset while excluding maternal effects. In other words, models based on the full dataset did not include maternal effects because maternal data were not available for all individuals. These analyses were performed separately for the microsatellite and SNP datasets.
Microsatellite data analyses
To test for effects of individual and maternal microsatellite heterozygosity on pup birth mass, we constructed a linear model. Pup and mother sMLH were included as continuous predictor variables. Pup sex (male/female) and season (2017/2018/2019/2020) were included as additional covariates (factors with two and four levels respectively) together with mother’s age (as a continuous variable):
where pup birth mass represents the observed value of the i-th individual in the sample, βInt, β1–β5 are regression coefficients for the intercept and the predictor variables, and ε is the random error.
To test for effects of individual and maternal microsatellite heterozygosity on pup survival, we constructed a generalized linear model (GLM) with a binomial error structure. Pup survival was encoded as 1 = survived and 0 = dead. Pup and mother sMLH were included as continuous predictor variables. Pup sex, season and mother’s age were included as additional covariates, together with birth mass (as a continuous variable):
where Pup survivali represents the probability that survival is equal to 1 for the i-th individual in the sample, βInt, β1–β6 are regression coefficients for the intercept and the predictor variables, and ε is the random error.
To test for effects of individual and maternal microsatellite heterozygosity on pup growth, we constructed a linear model. Growth was calculated as the difference in body mass between birth and recapture. To correct for variation in the number of days between birth and recapture, pup age (defined as the number of days between birth and recapture) was included as a fixed effect in the model. Pup and mother sMLH were included as continuous predictor variables and pup sex, birth mass, season and mother’s age were included as additional covariates:
where pup survival represents the observed value of the i-th individual in the sample, βInt, β1–β7 are regression coefficients for the intercept and the predictor variables, and ε is the random error.
SNP data analysis
To test for effects of individual and maternal genomic inbreeding on birth mass, we constructed a linear model. Pup and mother FROH were included as continuous predictor variables. Pup sex (male/female), colony (SSB/FWB) and season (2019/2020) were included as additional two-level covariates:
where pup birth mass represents the observed value of the i-th individual in the sample, βInt, β1–β5 are regression coefficients for the intercept and the predictor variables, and ε is the random error.
To test for effects of individual and maternal genomic inbreeding on pup survival, we constructed a generalized linear model (GLM) with a binomial error structure. Pup survival was encoded as 1 = survived and 0 = dead. Pup and mother FROH were included as continuous predictor variables. Pup sex, colony and season were included as two-level covariates as described above and birth mass was included as a continuous covariate.
where Pup survivali represents the probability that survival is equal to 1 for the i-th individual in the sample, βInt, β1–β6 are regression coefficients for the intercept and the predictor variables, and ε is the random error.
To test for effects of individual and maternal genomic inbreeding on pup growth, we used the repeated weight measurements of individual pups to model growth curves. In a preliminary analysis, we investigated the fit of linear, logistic and gompertz models to the growth data, and found that pup growth was best described by a linear model (see Supplementary R markdown file, “Exploration of growth curve fit” pp 33–35, Fig. 3e and f). We therefore constructed a linear model of pup growth (calculated as the difference in body mass between birth and last capture). The predictor variables in this model were pup FROH, mother FROH and the covariates pup sex, birth mass, age, colony and season:
where pup survival represents the observed value of the i-th individual in the sample, βInt, β1–β7 are regression coefficients for the intercept and the predictor variables, and ε is the random error.
For all of the models, the residuals were visually inspected for linearity and equality of error variances (using plots of residuals versus fits) and normality (using Q-Q plots). Testing for under- or over-dispersion was done by comparing the dispersion of simulated and observed residuals. Model inspection was performed using DHARMa89. Analyses and visualisations were implemented in R version 4.0.290 using the integrated development environment RStudio91.
Animal ethics
Fur seal samples were collected as part of the Polar Science for Planet Earth program of the British Antarctic Survey, under permits from the Government of South Georgia and the South Sandwich Islands (GSGSSI, Wildlife and Protected Areas Ordinance (2011), RAP permit numbers 2018/024 and 2019/032). Samples originating from South Georgia Islands were imported into the United Kingdom under permits from the Department for Environment, Food, and Rural Affairs (Animal Health Act, import license number ITIMP18.1397) and from the Convention on International Trade in Endangered Species of Wild Fauna and Flora (import numbers 578938/01-15 and 590196/01-18), and exported under permits issued by the GSGSSI and the UK Department for Environment, Food and Rural Affairs, under European Communities Act 1972. All procedures used were approved by the British Antarctic Survey Animal Welfare and Ethics Review Body (reference no. PEA6, AWERB applications 2018/1050 and 2019/1058). All procedures were carried out in accordance with relevant guidelines and regulations, and reported in accordance with ARRIVE guidelines where applicable.
Data and code availability
Scripts are provided in the form of a Supplementary R Markdown file. The scripts and data needed to reproduce all of the analyses and figures can also be accessed via GitHub https://github.com/apaijmans/inbreeding-pup-growth)92. Microsatellite and SNP data are available via the Zenodo repository, https://doi.org/10.5281/zenodo.1085433393.
References
Bonnet, T. et al. Genetic variance in fitness indicates rapid contemporary adaptive evolution in wild animals. Science 376, 1012–1016 (2022).
Ellegren, H. & Galtier, N. Determinants of genetic diversity. Nat. Rev. Genet. 17, 422 (2016).
Hoban, S. et al. Global commitments to conserving and monitoring genetic diversity are now necessary and feasible. BioScience 71, 964–976 (2021).
Charlesworth, D. & Charlesworth, B. Inbreeding depression and its evolutionary consequences. Annu. Rev. Ecol. Syst. 18, 237–268 (1987).
Boakes, E. H., Wang, J. & Amos, W. An investigation of inbreeding depression and purging in captive pedigreed populations. Heredity 98, 172–182 (2007).
Leroy, G. Inbreeding depression in livestock species: review and meta-analysis. Anim. Genet. 45, 618–628 (2014).
Keller, L. F. & Waller, D. M. Inbreeding effects in wild populations. Trends Ecol. Evol. 17, 230–241 (2002).
Hasselgren, M. & Norén, K. Inbreeding in natural mammal populations: Historical perspectives and future challenges. Mammal Rev. 49, 369–383 (2019).
Hedrick, P. W. & Garcia-Dorado, A. Understanding inbreeding depression, purging, and genetic rescue. Trends Ecol. Evol. 31, 940–952 (2016).
Pemberton, J. Measuring inbreeding depression in the wild: the old ways are the best. Trends Ecol. Evol. 19, 613–615 (2004).
Pemberton, J. M. Wild pedigrees: the way forward. Proc. R. Soc. B: Biol. Sci. 275(1635), 613–621 (2008).
Hedrick, P. W., Kardos, M., Peterson, R. O. & Vucetich, J. A. Genomic variation of inbreeding and ancestry in the remaining two isle royale wolves. J. Hered. 108, 120–126 (2017).
Hill, W. G. & Weir, B. S. Variation in actual relationship as a consequence of Mendelian sampling and linkage. Genet. Res. 93, 47–64 (2011).
Knief, U., Kempenaers, B. & Forstmeier, W. Meiotic recombination shapes precision of pedigree- and marker-based estimates of inbreeding. Heredity 118, 239–248 (2017).
Chapman, J. R., Nakagawa, S., Coltman, D. W., Slate, J. & Sheldon, B. C. A quantitative review of heterozygosity–fitness correlations in animal populations. Mol. Ecol. 18, 2746–2765 (2009).
Szulkin, M., Bierne, N. & David, P. Heterozygosity-fitness correlations: a time for reappraisal. Evolution 64, 1202–1217 (2010).
Coltman, D. W., Bowen, W. D. & Wright, J. M. Birth weight and neonatal survival of harbour seal pups are positively correlated with genetic variation measured by microsatellites. Proc. R. Soc. Lond. B Biol. Sci. 265, 803–809 (1998).
Coltman, D. W., Pilkington, J. G., Smith, J. A. & Pemberton, J. M. Parasite-mediated selection against inbred soay sheep in a free-living island population. Evolution 53, 1259–1267 (1999).
Hoffman, J. I. et al. High-throughput sequencing reveals inbreeding depression in a natural population. Proc. Natl. Acad. Sci. U. S. A. 111, 3775 (2014).
Tiira, K. et al. Aggressiveness is associated with genetic diversity in landlocked salmon (Salmo salar). Mol. Ecol. 12, 2399–2407 (2003).
Hoffman, J. I., Forcada, J., Trathan, P. N. & Amos, W. Female fur seals show active choice for males that are heterozygous and unrelated. Nature 445, 912 (2007).
Bichet, C. et al. Contrasting heterozygosity-fitness correlations across life in a long-lived seabird. Mol. Ecol. 28, 671–685 (2019).
Chen, N., Cosgrove, E. J., Bowman, R., Fitzpatrick, J. W. & Clark, A. G. Genomic consequences of population decline in the endangered Florida scrub-jay. Curr. Biol. 26, 2974–2979 (2016).
Forcada, J. & Hoffman, J. I. Climate change selects for heterozygosity in a declining fur seal population. Nature 511, 462 (2014).
Balloux, F., Amos, W. & Coulson, T. Does heterozygosity estimate inbreeding in real populations?. Mol. Ecol. 13, 3021–3031 (2004).
Kardos, M., Allendorf, F. W. & Luikart, G. Evaluating the role of inbreeding depression in heterozygosity-fitness correlations: how useful are tests for identity disequilibrium?. Mol. Ecol. Resour. 14, 519–530 (2014).
Miller, J. M. & Coltman, D. W. Assessment of identity disequilibrium and its relation to empirical heterozygosity fitness correlations: a meta-analysis. Mol. Ecol. 23, 1899–1909 (2014).
Bérénos, C., Ellis, P. A., Pilkington, J. G. & Pemberton, J. M. Genomic analysis reveals depression due to both individual and maternal inbreeding in a free-living mammal population. Mol. Ecol. 25, 3152–3168 (2016).
Huisman, J., Kruuk, L. E. B., Ellis, P. A., Clutton-Brock, T. & Pemberton, J. M. Inbreeding depression across the lifespan in a wild mammal population. Proc. Natl. Acad. Sci. U. S. A. 113, 3585 (2016).
Kardos, M., Luikart, G. & Allendorf, F. W. Measuring individual inbreeding in the age of genomics: Marker-based measures are better than pedigrees. Heredity 115, 63 (2015).
Kardos, M., Taylor, H. R., Ellegren, H., Luikart, G. & Allendorf, F. W. Genomics advances the study of inbreeding depression in the wild. Evol. Appl. 9, 1205–1218 (2016).
Keller, M. C., Visscher, P. M. & Goddard, M. E. Quantification of inbreeding due to distant ancestors and its detection using dense single nucleotide polymorphism data. Genetics 189, 237–249 (2011).
Leutenegger, A.-L. et al. Estimation of the inbreeding coefficient through use of genomic data. Am. J. Hum. Genet. 73, 516–523 (2003).
McQuillan, R. et al. Runs of homozygosity in european populations. Am. J. Hum. Genet. 83, 359–372 (2008).
Niskanen, A. K. et al. Consistent scaling of inbreeding depression in space and time in a house sparrow metapopulation. Proc. Natl. Acad. Sci. 117, 14584–14592 (2020).
Stoffel, M. A., Johnston, S. E., Pilkington, J. G. & Pemberton, J. M. Genetic architecture and lifetime dynamics of inbreeding depression in a wild mammal. Nat. Commun. 12, 2972 (2021).
Brouwer, L., Komdeur, J. & Richardson, D. S. Heterozygosity–fitness correlations in a bottlenecked island species: a case study on the Seychelles warbler. Mol. Ecol. 16, 3134–3144 (2007).
Richardson, D. S., Komdeur, J. & Burke, T. Inbreeding in the Seychelles warbler: Environment-dependent maternal effects. Evolution 58, 2037–2048 (2004).
Hoffman, J. I., Boyd, I. L., Amos, W. & Ashley, M. Male reproductive strategy and the importance of maternal status in the Antarctic fur seal Arctocephalus gazella. Evolution 57, 1917–1930 (2003).
Hoffman, J. I., Trathan, P. N. & Amos, W. Genetic tagging reveals extreme site fidelity in territorial male Antarctic fur seals Arctocephalus gazella. Mol. Ecol. 15, 3841–3847 (2006).
Hoffman, J. I. & Forcada, J. Extreme natal philopatry in female Antarctic fur seals (Arctocephalus gazella). Mamm. Biol. Z. Für Säugetierkd. 77, 71–73 (2012).
Paijmans, A. J. et al. The genetic legacy of extreme exploitation in a polar vertebrate. Sci. Rep. 10, 5089 (2020).
Hoffman, J. I. et al. A global cline in a colour polymorphism suggests a limited contribution of gene flow towards the recovery of a heavily exploited marine mammal. R. Soc. Open Sci. 5, 181227 (2018).
Humble, E. et al. RAD sequencing and a hybrid Antarctic fur seal genome assembly reveal rapidly decaying linkage disequilibrium, global population structure and evidence for inbreeding. G3 Genes Genomes Genet. 8, 2709–2722 (2018).
Cleary, A. C. et al. Prey differences drive local genetic adaptation in Antarctic fur seals. Mar. Ecol. Prog. Ser. 628, 195–209 (2019).
Hoffman, J. I., Hanson, N., Forcada, J., Trathan, P. N. & Amos, W. Getting long in the tooth: A strong positive correlation between canine size and heterozygosity in Antarctic fur seals Arctocephalus gazella. J. Hered. 101, 527–538 (2010).
Hoffman, J. I., Boyd, I. L., Amos, W. & Harrison, R. Exploring the relationship between parental relatedness and male reproductive success in the Antarctic fur seal Arctocephalus gazella. Evolution 58, 2087–2099 (2004).
Atkinson, A. et al. Krill (Euphausia superba) distribution contracts southward during rapid regional warming. Nat. Clim. Change 9, 142–147 (2019).
Forcada, J. et al. Ninety years of change, from commercial extinction to recovery, range expansion and decline for Antarctic fur seals at South Georgia. Glob. Change Biol. 29, 6867–6887 (2023).
McBride, M. M. et al. Antarctic krill Euphausia superba: Spatial distribution, abundance, and management of fisheries in a changing climate. Mar. Ecol. Prog. Ser. 668, 185–214 (2021).
Payne, M. R. Growth in the Antarctic fur seal Arctocephalus gazella. J. Zool. 187, 1–20 (1979).
Bowen, W. D., den Heyer, C. E., McMillan, J. I. & Iverson, S. J. Offspring size at weaning affects survival to recruitment and reproductive performance of primiparous gray seals. Ecol. Evol. 5(7), 1412–1424 (2015).
Costa, D. P., Trillmich, F. & Croxall, J. P. Intraspecific allometry of neonatal size in the Antarctic fur seal (Arctocephalus galapagoensis). Behav. Ecol. Sociobiol. 22, 361–364 (1988).
Doidge, D. W. & Croxall, J. P. Factors affecting weaning weight in Antarctic fur seals Arctocephalus gazella at South Georgia. Polar Biol. 9, 155–160 (1989).
Georges, J.-Y. & Guinet, C. Maternal care in the subantarctic fur seals on Amsterdam island. Ecology 81, 295–308 (2000).
Jeanniard-du-Dot, T., Trites, A. W., Arnould, J. P. Y. & Guinet, C. Reproductive success is energetically linked to foraging efficiency in Antarctic fur seals. PLOS ONE 12, e0174001 (2017).
Bowen, W. D. Maternal effects on offspring size and development in pinnipeds. In Maternal Effects in Mammals 104–132 (University of Chicago Press, 2009).
Nagel, R. et al. Movement patterns and activity levels are shaped by the neonatal environment in Antarctic fur seal pups. Sci. Rep. 11, 14323 (2021).
Humble, E., Paijmans, A. J., Forcada, J. & Hoffman, J. I. An 85K SNP array uncovers inbreeding and cryptic relatedness in an antarctic fur seal breeding colony. G3 Genes Genomes Genetics 10, 2787 (2020).
Litzke, V., Ottensmann, M., Forcada, J., Heitzmann, L. & Ivan Hoffman, J. Heterozygosity at neutral and immune loci is not associated with neonatal mortality due to microbial infection in Antarctic fur seals. Ecol. Evol. 9, 7985–7996 (2019).
Nagel, R. et al. Evidence for an Allee effect in a declining fur seal population. Proc. R. Soc. B Biol. Sci. 288, 20202882 (2021).
Hoffman, J. I., Forcada, J. & Amos, W. No relationship between microsatellite variation and neonatal fitness in Antarctic fur seals, Arctocephalus gazella. Mol. Ecol. 15, 1995–2005 (2006).
Badger, J. J., Bowen, W. D., den Heyer, C. E. & Breed, G. A. Large offspring have enhanced lifetime reproductive success: Long-term carry-over effects of weaning size in gray seals (Halichoerus grypus). Ecol. Evol. 13, e10095 (2023).
Beauplet, G., Barbraud, C., Chambellant, M. & Guinet, C. Interannual variation in the post-weaning and juvenile survival of subantarctic fur seals: Influence of pup sex, growth rate and oceanographic conditions. J. Anim. Ecol. 74, 1160–1172 (2005).
McMahon, C. R., Burton, H. R. & Bester, M. N. Weaning mass and the future survival of juvenile southern elephant seals, Mirounga leonina, at Macquarie Island. Antarct. Sci. 12, 149–153 (2000).
Slate, J. & Pemberton, J. M. Comparing molecular measures for detecting inbreeding depression. J. Evol. Biol. 15, 20–31 (2002).
Lunn, N. J., Boyd, I. L., Barton, T. & Croxall, J. P. Factors affecting the growth rate and mass at weaning of antarctic fur seals at Bird Island. South Georgia. J. Mammal. 74, 908–919 (1993).
Bean, K. et al. Patterns of parental relatedness and pup survival in the grey seal (Halichoerus grypus). Mol. Ecol. 13, 2365–2370 (2004).
Acevedo-Whitehouse, K. et al. Contrasting effects of heterozygosity on survival and hookworm resistance in California sea lion pups. Mol. Ecol. 15, 1973–1982 (2006).
Boveng, P. L., Hiruki, L. M., Schwartz, M. K. & Bengtson, J. L. Population growth of antarctic fur seals: Limitation by a top predator, the leopard seal?. Ecology 79, 2863–2877 (1998).
Nagel, R., Coleman, J., Stainfield, C., Forcada, J. & Hoffman, J. I. Observations of giant petrels (Macronectes sp.) attacking and killing antarctic fur seal (Arctocephalus gazella) Pups. Aquat. Mamm. 48, 509–512 (2022).
Doidge, D. W., Croxall, J. P. & Baker, J. R. Density-dependent pup mortality in the Antarctic fur seal Arctocephalus gazella at South Georgia. J. Zool. 202, 449–460 (1984).
Laubach, Z. M., Murray, E. J., Hoke, K. L., Safran, R. J. & Perng, W. A biologist’s guide to model selection and causal inference. Proc. R. Soc. B Biol. Sci. 288, 20202815 (2021).
Duthie, A. B., Lee, A. M. & Reid, J. M. Inbreeding parents should invest more resources in fewer offspring. Proc. R. Soc. B Biol. Sci. 283, 20161845 (2016).
Pooley, E. L., Kennedy, M. W. & Nager, R. G. Maternal inbreeding reduces parental care in the zebra finch, Taeniopygia guttata. Anim. Behav. 97, 153–163 (2014).
McDonald, B. I., Goebel, M. E., Crocker, D. E. & Costa, D. P. Dynamic influence of maternal and pup traits on maternal care during lactation in an income breeder, the Antarctic fur seal. Physiol. Biochem. Zool. 85, 243–254 (2012).
Lunn, N. J., Boyd, I. L. & Croxall, J. P. Reproductive performance of female Antarctic fur seals: The influence of age, breeding experience, environmental variation and individual quality. J. Anim. Ecol. 63, 827–840 (1994).
Erickson, A. W. & Bester, M. Marking techniques. In Antarctic Seals: Research Methods and Techniques (ed. Laws, R. M.) 89–115 (Cambridge University Press, 1993).
Boyd, I. L. & Roberts, J. P. Tooth growth in male Antarctic fur seals (Arctocephalus gazella) from South Georgia: An indicator of long-term growth history. J. Zool. 229, 177–190 (1993).
Boyd, I. L., Croxall, J. P., Lunn, N. J. & Reid, K. Population demography of Antarctic fur seals: The costs of reproduction and implications for life-histories. J. Anim. Ecol. 64, 505 (1995).
Amos, W. & Hoelzel, A. R. Long-term skin preservation of whale skin for DNA analysis. Rep. Int. Whal. Comm. Spec. Issue 13, 99–103 (1991).
Nagel, R. et al. Low heritability and high phenotypic plasticity of salivary cortisol in response to environmental heterogeneity in a wild pinniped. Ecol. Evol. 12, e8757 (2022).
Stoffel, M. A. et al. inbreedR: An R package for the analysis of inbreeding based on genetic markers. Methods Ecol. Evol. 7, 1331–1339 (2016).
David, P., Pujol, B., Viard, F., Castella, V. & Goudet, J. Reliable selfing rate estimates from imperfect population genetic data. Mol. Ecol. 16, 2474–2487 (2007).
Hoffman, J. I. & Amos, W. Does kin selection influence fostering behaviour in Antarctic fur seals (Arctocephalus gazella)?. Proc. R. Soc. B Biol. Sci. 272, 2017–2022 (2005).
Worthington Wilmer, J., Allen, P. J., Pomeroy, P. P., Twiss, S. D. & Amos, W. Where have all the fathers gone? An extensive microsatellite analysis of paternity in the grey seal (Halichoerus grypus). Mol. Ecol. 8(9), 1417–1429 (1999).
Hoffman, J. I. & Amos, W. Microsatellite genotyping errors: Detection approaches, common sources and consequences for paternal exclusion. Mol. Ecol. 14, 599–612 (2005).
Purcell, S. et al. PLINK: A tool set for whole-genome association and population-based linkage analyses. Am. J. Hum. Genet. 81, 559–575 (2007).
Hartig, F. DHARMa: Residual Diagnostics for Hierarchical (Multi-Level / Mixed) Regression Models. R package version 0.4.3. (2021).
R Core Team. A language and environment for statistical computing. R Foundation for Statistical Computing (2016).
RStudio Team. RStudio: Integrated Development for R. RStudio, Inc. (2023).
Paijmans, A. J. GitHub repository containing R code and data for: ‘Little evidence of inbreeding depression for birth mass, survival and growth in Antarctic fur seal pups.’ Zenodo https://doi.org/10.5281/zenodo.10886970 (2024).
Paijmans, A. J. et al. Data from: ‘Little evidence of inbreeding depression for birth mass, survival and growth in Antarctic fur seal pups.’ Zenodo https://doi.org/10.5281/zenodo.10854333 (2024).
Acknowledgements
This research was supported by the Deutsche Forschungsgemeinschaft (DFG, German Research Foundation) priority programme “Antarctic Research with Comparative Investigations in Arctic Ice Areas” SPP 1158 (Project no. 424119118) and the SFB TRR 212 (NC3) (Project nos. 316099922 & 396774617). This work contributes to the Ecosystems project of the British Antarctic Survey, Natural Environmental Research Council, and is part of the Polar Science for Planet Earth Programme.
Funding
Open Access funding enabled and organized by Projekt DEAL.
Author information
Authors and Affiliations
Contributions
Conceived the study: A.J.P., J.F., J.I.H. Sample collection and logistics: R.N., J.F. Laboratory work: A.J.P., A.L.B., F.C., N.K. and R.N. Analysed data: A.J.P., A.L.B, J.I.H. Wrote the paper: A.J.P., A.L.B. and J.I.H. All of the authors commented upon and approved the final manuscript.
Corresponding author
Ethics declarations
Competing interests
The authors declare no competing interests.
Additional information
Publisher's note
Springer Nature remains neutral with regard to jurisdictional claims in published maps and institutional affiliations.
Supplementary Information
Rights and permissions
Open Access This article is licensed under a Creative Commons Attribution 4.0 International License, which permits use, sharing, adaptation, distribution and reproduction in any medium or format, as long as you give appropriate credit to the original author(s) and the source, provide a link to the Creative Commons licence, and indicate if changes were made. The images or other third party material in this article are included in the article's Creative Commons licence, unless indicated otherwise in a credit line to the material. If material is not included in the article's Creative Commons licence and your intended use is not permitted by statutory regulation or exceeds the permitted use, you will need to obtain permission directly from the copyright holder. To view a copy of this licence, visit http://creativecommons.org/licenses/by/4.0/.
About this article
Cite this article
Paijmans, A.J., Berthelsen, A.L., Nagel, R. et al. Little evidence of inbreeding depression for birth mass, survival and growth in Antarctic fur seal pups. Sci Rep 14, 12610 (2024). https://doi.org/10.1038/s41598-024-62290-x
Received:
Accepted:
Published:
DOI: https://doi.org/10.1038/s41598-024-62290-x





