Abstract
The aim of this study was to evaluate the diagnostic value of the sarcopenia index (serum creatinine [mg/dl]/cystatin C [mg/dl] × 100) for estimating low muscle mass and sarcopenia in community-dwelling older adults. We included 371 older adults (≥60 years) with normal kidney function. Four common diagnostic criteria (the European Working Group on Sarcopenia in Older People (EWGSOP), Asia Working Group for Sarcopenia (AWGS), International Working Group on Sarcopenia (IWGS), and Foundation for the National Institutes of Health (FNIH) criteria) were separately applied as the “gold standard”. The receiver operating characteristic (ROC) curves and the area under the ROC curves (AUC) were applied to evaluate the overall diagnostic accuracy. For identifying low muscle mass, the AUC ranged from 0.505 (95% confidence interval [CI] 0.453–0.557) to 0.558 (95% CI 0.506–0.609). For identifying sarcopenia, the AUC ranged from 0.555 (95% CI 0.503–0.606) to 0.618 (95% CI 0.566–0.668). Subgroup analyses according to gender showed similar results. In conclusion, the sarcopenia index based on serum creatinine and cystatin C may not serve as biomarkers of either low muscle mass or sarcopenia in urban community-dwelling older people with normal kidney function.
Similar content being viewed by others
Introduction
Sarcopenia refers to an aging-related loss of muscle mass and function1. It is prevalent in older people, especially in the elders who live in long-term care facilities or hospitals2. Recently, clinicians in other disciplines, such as oncologists3, cardiologists4, and respirologists5, in addition to gerontologists and geriatricians, have recognized the important role of sarcopenia in the prognosis of their patients.
According to current international consensuses, the diagnosis of sarcopenia should include low muscle mass (usually measured by computed tomography [CT], magnetic resonance imaging [MRI], dual-energy X-ray analysis [DXA], or bioelectrical impedance analysis [BIA]), low muscle strength (usually measured by handgrip strength), and/or low physical performance (usually measured by gait speed)6,7,8,9. In other words, the diagnosis of sarcopenia requires special medical devices, which are unfeasible, expensive, or carry radiation risk. On the other hand, individuals who cannot perform a walking test are actually at high risk of sarcopenia; however, these individuals must be excluded from the sarcopenia studies according to current diagnostic algorithms10. Therefore, several attempts have been made to identify sarcopenia based on self-reported questionnaires (e.g., SARC-F (sluggishness, assistance in walking, rise from a chair, climb stairs, falls))11 or serum biomarkers11,12.
Recently, a novel sarcopenia index was developed by Kashani et al.12. This index is calculated using the following equation: serum creatinine (mg/dl)/serum cystatin C (mg/dl) × 100. Serum creatinine and cystatin C are generated by skeletal muscle mass and all nucleated cells, respectively and both biomarkers are eliminated via the kidneys. Therefore, in individuals with normal kidney function, this index was supposed to be useful to estimate skeletal muscle mass12. In their study, Kashani et al. reported that the sarcopenia index could estimate muscle mass and predict in-hospital mortality and 90-day mortality in ICU patients12. This tool must be internally and externally validated in different study populations. Most recently, the same research group further reported that this sarcopenia index was significantly correlated with CT scan-measured muscle surface area at the L2 and L3 vertebral levels in a small group of lung transplant candidates13.
Serum creatinine and cystatin C are regular tests in older adults. Therefore, if the sarcopenia index can estimate sarcopenia in older adults, the screening of sarcopenia in the elderly would be significantly simplified. Thus, we hypothesized that the sarcopenia index may be a potentially useful tool for estimating low muscle mass or sarcopenia in older people with normal kidney function. The aim of this study was to evaluate the diagnostic accuracy of the sarcopenia index for detecting low muscle mass and sarcopenia in community-dwelling older people.
Methods
Study population
We conducted a diagnostic accuracy study. From October to November 2017, we consecutively recruited older people aged ≥60 years who were living in an urban community in Chengdu, China, and agreed to sign a written informed consent form. We recruited these participants using a convenient sampling method through posters and WeChat (the most popular social media-app in China). Individuals with the following conditions were excluded: (1) severe mental diseases; (2) a pacemaker; (3) unable to walk or communicate with study staff; (4) clinically visible edema; (5) severe heart failure; (6) estimated glomerular filtration rate (eGFR) <90 mL/min/1.73 m2. The participant information, anthropometric measurements, and the measurements of skeletal muscle mass, gait speed test, and handgrip strength test were performed on the same day by trained nurses. The Research Ethics Committee of Sichuan University approved the study protocol. All methods in this study were in accordance with relevant regulations and guidelines.
Sarcopenia index
A fasting blood sample was obtained from each participant by experienced nurses in the morning after at least an 8-h fast. There was no food intake restriction on the day before the blood sampling. Serum creatinine and cystatin C were measured using the Roche enzymatic method (Creatinine Jaffe Gen.2 assay: Roche Diagnostics GmbH, Mannheim, Germany) and an immunoturbidimetric assay (Sichuan Mike Biotechnology Co., Ltd., Chengdu, China), respectively. Sarcopenia index = serum creatinine (mg/dl)/serum cystatin C (mg/dl) × 100.
Measurement of skeletal muscle mass
A trained nurse applied a bioelectrical impedance analysis (BIA) device (InBody 230, Biospace Co., Ltd., Korea) to measure the appendicular skeletal muscle mass (ASM) and body fat mass of each participant. The skeletal muscle mass (SMI) was then calculated based on the equation: SMI (kg/m2) = ASM/height2.
Measurement of gait speed
A trained nurse asked each participant to walk a 4-m course at their usual walking speed and recorded the time of completing the course. Gait speed (m/s) was then calculated by 4 m/time consumed in (s).
Measurement of handgrip strength
A trained nurse applied a handheld dynamometer based on strain gauge sensors (EH101, Xiangshan Inc., Guangdong, China) to measure the handgrip strength of each participant. Each hand was tested three times and the highest value was recorded.
Assessment of low muscle mass and sarcopenia using different criteria
Due to the lack of a unique “gold standard” criteria for either low muscle mass or sarcopenia, we separately applied the four common international criteria as the reference standard: (1) the European Working Group on Sarcopenia in Older People (EWGSOP)6; (2) the International Working Group on Sarcopenia (IWGS)9; (3) the Asia Working Group for Sarcopenia (AWGS)7; and (4) the Foundation for the National Institutes of Health (FNIH) Sarcopenia Project8. Detailed information on cut-off points and criteria are provided in Table 1.
Covariates
A trained nurse measured the body weight and height of each participant with a digital floor scale and a stadiometer, respectively. Next, a body mass index (BMI) was calculated using the equation: BMI (kg/m2) = body weight/height2. In addition, trained nurses collected the following information through face-to-face interviews: age, gender, and the medical history of the following chronic diseases: hypertension, coronary heart disease, diabetes, chronic obstructive pulmonary disease, and stroke.
Statistical analyses
All statistical analyses in this study were performed in MedCalc Statistical Software 15.2 (MedCalc Software bvba, Ostend, Belgium). All statistical tests were two-sided, and a p-value of <0.05 indicated statistical significance.
Categorical data were presented as numbers (percentage). Continuous data with a normal distribution or a skewed distribution were presented as the mean (standard deviation [SD]) or median (minimum-maximum), respectively. To compare the differences between groups, the chi-squared test, one-way analysis of variance (ANOVA), and Mann-Whitney test were applied for categorical data, continuous data with a normal distribution, and continuous data with a skewed distribution, respectively.
We applied a receiver operating characteristics (ROC) curve to evaluate the overall accuracy of the sarcopenia index. The area under the ROC curve (AUC) and 95% confidence interval (CI) were calculated14. Because men generally have a larger muscle mass than women and the prevalence of sarcopenia was not equivalent between men and women15, we also performed subgroup analyses according to gender.
Results
Characteristics of the study population
A total of 152 men and 219 women were included (mean age: 72.9 ± 6.0 versus 70.8 ± 5.5, respectively, p = 0.039). Table 2 shows the characteristics of our study population. The sarcopenia index was significantly higher in men than in women (p < 0.001).
Prevalence of low muscle mass and sarcopenia
According to the EWGSOP, AWGS, IWGS and FNIH criteria, the prevalence of low muscle mass in the entire study population ranged from 19.4% to 56.6%, whereas the prevalence of sarcopenia ranged from 11.3% to 24.5% (Table 2). Despite the diagnostic criteria, the prevalence of sarcopenia was not significantly different between men and women (Table 2). However, when using the IWGS or FNIH criteria, the prevalence of low muscle mass was significantly higher in men than in women (Table 2).
The diagnostic accuracy of the sarcopenia index for identifying low muscle mass
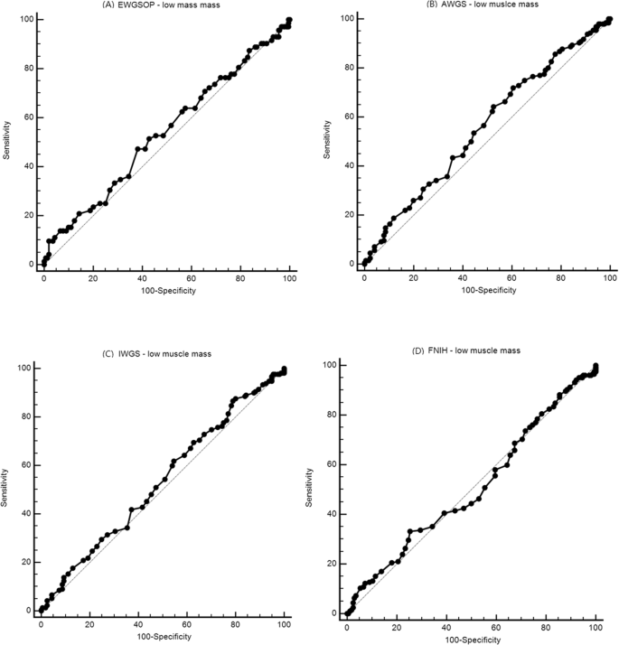
Table 3 shows the results of sensitivity/specificity analysis and the AUC of the sarcopenia index for identifying low muscle mass using different diagnostic criteria as the “gold standard”. Figure 1 shows the ROC curves of the sarcopenia index for identifying low muscle mass against different “gold standards” in the entire study population. The AUC of the sarcopenia index ranged from 0.505 (95% CI 0.453–0.557) to 0.558 (95% CI 0.506–0.609) (Table 3). The subgroup analyses showed similar results in men (Table 3 and Supplementary Fig. 1) and women (Table 3 and Supplementary Fig. 2).
The diagnostic accuracy of the sarcopenia index for identifying sarcopenia
Similarly, the AUC of the sarcopenia index for identifying sarcopenia against different “gold standards” ranged from 0.555 (95% CI 0.503–0.606) to 0.618 (95% CI 0.566–0.668) (Table 3 and Supplementary Fig. 3). The subgroup analyses showed similar results in men (Supplementary Fig. 4) and women (Supplementary Fig. 5).
Discussion
Generally, an AUC of >0.9 indicates high accuracy, 0.7 to 0.9 indicates moderate accuracy, 0.5 to 0.7 indicates low accuracy, and 0.5 indicates chance results14. In this study, the AUC of the sarcopenia index ranged from 0.505 to 0.558 for detecting low muscle mass and from 0.555 to 0.618 for detecting sarcopenia when using different “gold standards”. These results indicated that the sarcopenia index could not accurately detect either low muscle mass or sarcopenia in our study population.
Although sarcopenia was originally defined as aging-related loss of muscle mass, there is currently an agreement that the definition of sarcopenia should include not only low muscle mass but also low muscle strength and/or physical performance16,17. Both previous studies, which validated the sarcopenia index in ICU patients12 and lung transplant candidates13, defined sarcopenia only according to muscle mass. Therefore, we evaluated the diagnostic value of the sarcopenia index for identifying both low muscle mass and sarcopenia in this study.
The sarcopenia index was originally designed to estimate muscle mass instead of muscle function13. Previous studies have reported that the sarcopenia index was significantly related to CT scan-measured muscle mass at the L4 vertebral level in ICU patients and at the L2 and L3 vertebral levels in lung transplant candidates12,13. However, our study demonstrated that the diagnostic value of the sarcopenia index was limited to only focusing on low muscle mass. The methods for measuring muscle mass may partly contribute to the difference between the results of our study and those of the two previous studies. CT is a gold standard for estimating muscle mass6, but the cost, availability, and X-ray exposure make this technique unsuitable for community-dwelling older people. Our study applied a BIA device to estimate muscle mass. BIA has been suggested to be a good portable alternative method by EWGSOP and AWGS6,7. Further, a previous study demonstrated that CT-measured muscle mass at the level of L3 is closely correlated with whole-body BIA (r = 0.83)18.
It is noteworthy that the sarcopenia index was developed based on young critically ill patients12. The correlation coefficient of the sarcopenia index with the muscle mass measured by CT was not very strong12. Although the sarcopenia index was validated in a study population with lung transplantation13. The sample size was only 28, and the Pearson correlation coefficient was weak13. Our study also indicated that the sarcopenia index was not suitable for predicting muscle mass or sarcopenia. Therefore, the sarcopenia index may be a questionable biomarker of muscle mass. The ideal method would be to calculate the sarcopenia index in young healthy adults and compare it with elderly adults to determine the cut-offs and quantify the muscle mass.
One of the major limitations of our study is that we did not assess the value of the sarcopenia index for predicting clinically important health outcomes. Kashani et al. reported that the sarcopenia index could predict in-hospital mortality and 90-day mortality in ICU patients12. Another recent study found that the creatinine/cystatin C ratio could predict the toxicity of chemotherapy in patients with non-small cell lung cancer19. Moreover, Tsuneda et al. reported that the creatinine/cystatin C ratio was associated with unfavorable prognosis due to all causes in older patients20. Second, we only included older people living in an urban community; therefore, our results may not represent those living in rural or semirural areas. Third, the relatively small sample size might contribute to the negative results.
Conclusion
The sarcopenia index based on serum creatinine and cystatin C cannot accurately detect either low muscle mass or sarcopenia in urban community-dwelling older people with normal kidney function when using four common criteria as the “gold standards”. Further studies are needed to evaluate the diagnostic value of this sarcopenia index for estimating sarcopenia in older people in different settings. The prognostic value of the sarcopenia index for predicting clinical outcomes in older people also warrants further study.
References
Morley, J. E. Hormones and Sarcopenia. Curr Pharm Des 04, 28 (2017).
Shafiee, G. et al. Prevalence of sarcopenia in the world: a systematic review and meta- analysis of general population studies. J Diabetes Metab Disord 16, 21, https://doi.org/10.1186/s40200-017-0302-x (2017).
Wang, L., Chen, Y. C. & Xie, X. D. Caring sarcopenia for cancer patients: review. Chinese Journal of Clinical Nutrition 21, 23–29 (2013).
Xu, W. D. et al. Sarcopenia is associated with increased post left ventricular assist device implantation morbidity. Journal of Heart and Lung Transplantation Conference, 34th Annual Meeting and Scientific Sessions of the International Society for Heart and Lung Transplantation, ISHLT 2014 San Diego, CA United States. Conference Start: 20140410 Conference End: 20140413. Conference Publication: (var.pagings). 20140433 (20140414 SUPPL. 20140411) (pp S20140212) (2014).
Scarlata, S., Cesari, M. & Antonelli Incalzi, R. Sarcopenia in COPD. Thorax 70, 693–694, https://doi.org/10.1136/thoraxjnl-2015-206929 (2015).
Cruz-Jentoft, A. J. et al. Sarcopenia: European consensus on definition and diagnosis: Report of the European Working Group on Sarcopenia in Older People. Age Ageing 39, 412–423, https://doi.org/10.1093/ageing/afq034 (2010).
Chen, L. K. et al. Sarcopenia in Asia: consensus report of the asian working group for sarcopenia. J. Am. Med. Dir. Assoc. 15, 95–101 (2014).
Studenski, S. A. et al. The FNIH Sarcopenia Project: Rationale, Study Description, Conference Recommendations, and Final Estimates. The Journals of Gerontology Series A: Biological Sciences and Medical Sciences 69, 547–558, https://doi.org/10.1093/gerona/glu010 (2014).
Fielding, R. A. et al. Sarcopenia: An Undiagnosed Condition in Older Adults. Current Consensus Definition: Prevalence, Etiology, and Consequences. International Working Group on Sarcopenia. J. Am. Med. Dir. Assoc. 12, 249–256, https://doi.org/10.1016/j.jamda.2011.01.003 (2011).
Volpato, S. et al. Assessing sarcopenia in older hospitalized patients. Feasibility and prevalence estimates of the EWGSOP algorithm. Eur. Geriatr. Med. Conference, 11th International Congress of the European Union Geriatric Medicine Society, EUGMS 2015 Oslo Norway. Conference Start: 20150916 Conference End: 20150918. Conference Publication: (var.pagings). 20150916 (pp S20150993-S20150994) (2015).
Malmstrom, T. K., Miller, D. K., Simonsick, E. M., Ferrucci, L. & Morley, J. E. SARC-F: a symptom score to predict persons with sarcopenia at risk for poor functional outcomes. J Cachexia Sarcopenia Muscle 7, 28–36, https://doi.org/10.1002/jcsm.12048 (2016).
Kashani, K. B. et al. Evaluating Muscle Mass by Using Markers of Kidney 7unction: Development of the Sarcopenia Index. Critical Care Medicine 45, e23–e29 (2017).
Kashani, K., Sarvottam, K., Pereira, N. L., Barreto, E. F. & Kennedy, C. C. The Sarcopenia Index: a Novel Measure of Muscle Mass in Lung Transplant Candidates. Clin Transplant, https://doi.org/10.1111/ctr.13182 (2017).
Linden, A. Measuring diagnostic and predictive accuracy in disease management: an introduction to receiver operating characteristic (ROC) analysis. J Eval Clin Pract 12, 132–139, https://doi.org/10.1111/j.1365-2753.2005.00598.x (2006).
Tay, L. et al. Sex-specific differences in risk factors for sarcopenia amongst community-dwelling older adults. Age 37, 1–12 (2015).
Woo J. Sarcopenia. Clin. Geriatr. Med. 33, 305–314 (2017).
Cederholm, T. & Morley, J. E. Sarcopenia: the new definitions. Current Opinion in Clinical Nutrition & Metabolic Care 18, 1–4, https://doi.org/10.1097/MCO.0000000000000119 (2015).
Mourtzakis, M. et al. A practical and precise approach to quantification of body composition in cancer patients using computed tomography images acquired during routine care. Applied physiology, nutrition, and metabolism = Physiologie appliquee, nutrition et metabolisme = Physiologie appliquee, nutrition et metabolisme 33, 997–1006, https://doi.org/10.1139/h08-075 (2008).
Suzuki, K. et al. Utility of creatinine/cystatin C ratio as a predictive marker for adverse effects of chemotherapy in lung cancer: A retrospective study. J. Int. Med. Res. 43, 573–582, https://doi.org/10.1177/0300060515579116 (2015).
Tsuneda, T., Nagasawa, H., Shimakura, A. & Takata, M. Serum creatinine/cystatin c ratio predicts strongly both sarcopenia and poor prognosis in the elderly. Journal of Cachexia, Sarcopenia and Muscle Conference, 9th International Conference on Cachexia, Sarcopenia, and Muscle Wasting. Germany. 8(1), 162–163 (2017).
Acknowledgements
This study was supported by the Sichuan Medical Association (No. S17054). The sponsor had no role in the design, methods, data collection, analysis or preparation of the manuscript.
Author information
Authors and Affiliations
Contributions
Concept and study design: M.Y. and H.Q. Data collection and analyses: J.J.J., L.L.X. and L.Y.Z. Original draft: M.Y. and H.Q.
Corresponding author
Ethics declarations
Competing Interests
The authors declare no competing interests.
Additional information
Publisher's note: Springer Nature remains neutral with regard to jurisdictional claims in published maps and institutional affiliations.
Electronic supplementary material
Rights and permissions
Open Access This article is licensed under a Creative Commons Attribution 4.0 International License, which permits use, sharing, adaptation, distribution and reproduction in any medium or format, as long as you give appropriate credit to the original author(s) and the source, provide a link to the Creative Commons license, and indicate if changes were made. The images or other third party material in this article are included in the article’s Creative Commons license, unless indicated otherwise in a credit line to the material. If material is not included in the article’s Creative Commons license and your intended use is not permitted by statutory regulation or exceeds the permitted use, you will need to obtain permission directly from the copyright holder. To view a copy of this license, visit http://creativecommons.org/licenses/by/4.0/.
About this article
Cite this article
He, Q., Jiang, J., Xie, L. et al. A sarcopenia index based on serum creatinine and cystatin C cannot accurately detect either low muscle mass or sarcopenia in urban community-dwelling older people. Sci Rep 8, 11534 (2018). https://doi.org/10.1038/s41598-018-29808-6
Received:
Accepted:
Published:
DOI: https://doi.org/10.1038/s41598-018-29808-6
This article is cited by
-
Biochemical Markers of Musculoskeletal Health and Aging to be Assessed in Clinical Trials of Drugs Aiming at the Treatment of Sarcopenia: Consensus Paper from an Expert Group Meeting Organized by the European Society for Clinical and Economic Aspects of Osteoporosis, Osteoarthritis and Musculoskeletal Diseases (ESCEO) and the Centre Académique de Recherche et d'Expérimentation en Santé (CARES SPRL), Under the Auspices of the World Health Organization Collaborating Center for the Epidemiology of Musculoskeletal Conditions and Aging
Calcified Tissue International (2023)
-
Serum creatinine/cystatin C ratio as a screening tool for sarcopenia and prognostic indicator for patients with esophageal cancer
BMC Geriatrics (2022)
-
Relationships between cystatin C- and creatinine-based eGFR in Japanese rural community- dwelling older adults with sarcopenia
Clinical and Experimental Nephrology (2021)
-
Sarcopenia index based on serum creatinine and cystatin C is associated with 3-year mortality in hospitalized older patients
Scientific Reports (2020)
-
Serum creatinine/cystatin C ratio as a case-finding tool for low handgrip strength in Chinese middle-aged and older adults
Scientific Reports (2020)
Comments
By submitting a comment you agree to abide by our Terms and Community Guidelines. If you find something abusive or that does not comply with our terms or guidelines please flag it as inappropriate.



