Abstract
Jamming describes a transition from a flowing or liquid state to a solid or rigid state in a loose assembly of particles such as grains or bubbles. In contrast, clogging describes the ceasing of the flow of particulate matter through a bottleneck. It is not clear how to distinguish jamming from clogging, nor is it known whether they are distinct phenomena or fundamentally the same. We examine an assembly of disks moving through a random obstacle array and identify a transition from clogging to jamming behavior as the disk density increases. The clogging transition has characteristics of an absorbing phase transition, with the disks evolving into a heterogeneous phase-separated clogged state after a critical diverging transient time. In contrast, jamming is a rapid process in which the disks form a homogeneous motionless packing, with a rigidity length scale that diverges as the jamming density is approached.
Introduction
The concept of jamming is used in loose assemblies of particles such as grains or bubbles to describe the transition from an easily flowing fluidlike state to a rigid jammed or solidlike state1,2,3,4. Liu and Nagel proposed a generalized jamming phase diagram combining temperature, load, and density, where a particularly important point is the density ϕj at which jamming occurs1. Jamming has been extensively studied in a variety of systems3,4,5, and there is evidence that in certain cases, the jamming transition has the properties of a critical point, such as a correlation length that diverges as the jamming density is approached2,3,4,5,6,7,8,9. A related phenomenon is the clogging that occurs for particles flowing through a hopper, where as a function of time there is a probability for arch structures to form that block the flow10,11,12,13. Clogging is associated with the motion of particulate matter past a physical constraint such as wells, barriers, obstacles, or bottlenecks14,15,16,17,18,19; however, it has not been established whether jamming and clogging are two forms of the same phenomenon or whether there are key features that distinguish jamming from clogging.
Here we show for frictionless disks moving through a random obstacle array that jamming and clogging are distinct phenomena and that a transition from clogging to jamming occurs as a function of increasing disk density. We identify the number of obstacles required to stop the flow and the transient times needed to reach a stationary clogged or jammed state. There are two critical obstacle densities, \({\phi }_{c}^{j}\) for the jammed state and \({\phi }_{c}^{c}\) for the clogged state. In the jamming regime, the obstacle density \({\phi }_{c}^{j}\) at which flow ceases drops to lower obstacle densities with increasing disk density, and the system forms a homogeneous jammed state when the rigidity correlation length associated with ϕj becomes larger than the average distance between obstacles. In contrast, during clogging the system organizes over time into a heterogeneous or phase-separated state, and the transient time diverges at a critical obstacle density \({\phi }_{c}^{c}\) that is independent of the disk density. The phase-separated state consists of regions with a density near ϕj coexisting with low density regions.
Results
Time evolution to a jammed or clogged state
We numerically examine disks driven through a two-dimensional array of obstacles in the form of immobile disks. Simulation details appear in the Methods section. The total area density of the system is ϕtot = ϕm + ϕobs, where ϕm is the area density of the moving disks and ϕobs is the area density of the obstacles. Starting from a uniformly dense sample, we apply a driving force and find that over time the system evolves either to a steady free flowing state or to a motionless clogged or jammed state. In Fig. 1a–c we illustrate the time evolution of a system with a disk density of ϕm = 0.2186 and an obstacle density of ϕobs = 0.175, beginning with the uniform density initial state in Fig. 1a. Upon application of a drive, we find a transient flowing state as shown in Fig. 1b which gradually evolves into the final motionless phase-separated or clustered clogged state in Fig. 1c. For a higher disk density of ϕm = 0.436, Fig. 1d–f shows that the same evolution from uniform initial state to transient flowing state to static clogged state occurs, but the dense clusters in the clogged state are larger. At much higher disk densities of ϕm = 0.785, we find jamming behavior when the obstacle density is larger than a critical value \({\phi }_{c}^{j}\). Below \({\phi }_{c}^{j}\), the system quickly settles into steady state flow, as shown in Fig. 2(a,b) for ϕobs = 0.043 and in Fig. 2(c,d) for ϕobs = 0.065. The magnitude of the flow decreases with increasing ϕobs. Above \({\phi }_{c}^{j}\) the disks quickly form a disordered jammed state when driven, as illustrated in Fig. 2(e,f) for ϕobs = 0.0872. In contrast to the density phase-separated clogged states that form at lower ϕm, the jammed states are homogeneously dense. The randomly placed obstacles prevent the monodisperse disks from developing long-range crystalline order.
Clogging in obstacle arrays. Images of (a,d) initial, (b,e) transient flowing, and (c,f) final clogged state for mobile disks (dark blue open circles) driven in the positive x direction through obstacles (red filled circles) in a sample with obstacle density ϕobs = 0.175 and disk density (a–c) ϕm = 0.2186 and (d–f) ϕm = 0.436. Green lines in (b,e) indicate the disk trajectories over a fixed time period. The disks are initially in a flowing state and evolve into a phase-separated clogged state. The dense regions have a local disk density of ϕloc = 0.84.
Jamming in obstacle arrays under increasing obstacle density in a sample with ϕm = 0.785. The randomly placed obstacles prevent the monodisperse disks from forming a state with crystalline ordering. (a,c,e) Mobile disks (dark blue open circles) and obstacles (red filled circles). (b,d,f) Corresponding disk trajectories over a fixed time period (green lines) and obstacle locations (red filled circles), with the mobile disks omitted for clarity. (a,b) At an obstacle density of ϕobs = 0.043, we find steady state flow. (c,d) At ϕobs = 0.065 the steady state flow is reduced but still present. (e,f) At ϕobs = 0.0872, the system jams. The jammed state is much more uniform in density than the clogged state, and jamming occurs rapidly with almost no transient flow above a critical obstacle density \({\phi }_{c}^{j}\).
Velocity measurement of the transition from clogging to jamming
To characterize the system we perform a series of simulations with varied ϕm and ϕobs. We measure the final velocity V0 of the mobile disks after a fixed time interval, and average over ten different realizations. In Fig. 3 we plot a velocity heat map as a function of ϕobs versus ϕm. We find a flowing regime at small ϕobs, a clogged regime for ϕm < 0.67, and a jammed regime for ϕm > 0.67. The critical obstacle density \({\phi }_{c}^{c}\) above which the velocity V0 drops to zero in the clogging regime remains roughly constant at \({\phi }_{c}^{c}\approx 0.15\), independent of the value of ϕm. This indicates that the transition to a clogged state is controlled by the average spacing \({l}_{obs}=1/\sqrt{{\phi }_{obs}}\) between obstacles, similar to the manner in which hopper clogging is controlled by the aperture size. In contrast, in the jamming regime the critical obstacle density \({\phi }_{c}^{j}\) separating flowing from jammed states decreases linearly with increasing ϕm and reaches \({\phi }_{c}^{j}=0\) for ϕm ≈ 0.9069, indicating that this transition is controlled by a growing correlation length ξ associated with the jamming point ϕj5. We argue that the system jams when ξ = lobs. If we assume that near jamming in a clean system, the correlation length grows as ξ ∝ (ϕj − ϕm)−ν, then the transition to the jammed state varies with obstacle density according to \({\phi }_{c}^{j}\propto {({\phi }_{j}-{\phi }_{m})}^{2\nu }\). In Fig. 3, \({\phi }_{c}^{j}\propto {\phi }_{m}\), implying that ν = 1/2, consistent with the exponent ν = 1/2 proposed for jamming in refs.20,21, as well as with simulation measurements giving ν in the range 0.6 to 0.7 for two-dimensional bidisperse disks6,8. The exponent we find is also in agreement with that observed for the shift in the jamming point in bidisperse disks on random pinning arrays22. Studies of bidisperse disk jamming with dilute obstacles very near ϕj also show that ϕj decreases linearly with obstacle density, giving ν = 1/223.
Clogging-jamming phase diagram. The heat map of the disk velocity V0 after 106 simulation time steps as a function of obstacle density ϕobs vs disk density ϕm. Yellow indicates high V0 and blue indicates zero V0. The white region at the upper right is above the density \({\phi }_{{\rm{tot}}}=\pi /2\sqrt{3}\approx 0.9069\) at which the disks would form a hexagonal solid, and thus lies outside the range of our model. Clogging occurs for ϕm < 0.67, and the critical obstacle density for clogging \({\phi }_{c}^{c}\approx 0.15\), is nearly independent of ϕm. Jamming occurs for ϕm > 0.67, as indicated by the red vertical dashed line, and \({\phi }_{c}^{j}\), the critical obstacle density for jamming, decreases linearly with increasing ϕm, ranging from \(0.15 > {\phi }_{c}^{j} > 0\). The dots along ϕm = 0.234 indicate the values of ϕobs shown in the time series of Fig. 4a, while the dots along ϕm = 0.785 indicate the values of ϕobs shown in the time series of Fig. 4b.
Previous simulations of bidisperse disks of radius Rs = 0.5 and Rl = 0.7 flowing through a periodic array of obstacles with radius Rs = 0.5 showed that clogging is strongly enhanced when \({l}_{obs}\lesssim 2.35\)24. This is because in order for a pair of disks, one large and one small, to fit between two obstacles, the lattice constant a of the obstacle array must be at least large enough to accommodate the size of the obstacle itself plus the size of the two disks, a ≥ 2Rs + 2Rs + 2Rl = 2.4. In our monodisperse disk system, the obstacles are placed randomly, but one can obtain an estimate of the lobs for the onset of clogging by considering the circular holes in the obstacle array25. If we construct a circle that just touches any three disks and/or obstacles, this circle is defined to be a hole when it does not overlap any disks. For a pair of disks to pass between two obstacles, the obstacle spacing must once again accommodate the size of the obstacle itself plus the size of the two disks, \({l}_{obs}\ge {l}_{obs}^{c}=2{R}_{d}+2{R}_{d}+2{R}_{d}=3.0\). This spacing can be achieved by placing the obstacles such that circular holes of size Rd can form on all sides of the hole on average, giving an effective obstacle radius of 3Rd and a critical obstacle density of \({\phi }_{obs}^{c}=(1/6)\,(\pi /(2\sqrt{3}))=0.15\). Below \({\phi }_{obs}^{c}\), the holes percolate and the disks can flow, while above \({\phi }_{obs}^{c}\), not enough holes are available to permit steady state free flow and a clogged state forms. In Fig. 3, the onset of clogging, \({\phi }_{c}^{c}\approx 0.15\), is close to \({\phi }_{obs}^{c}\). When \({\phi }_{m}\lesssim 0.15\), \({\phi }_{c}^{c}\) is no longer constant but decreases with decreasing ϕm. At these low disk densities, mobile disks are trapped independently, so at least one additional obstacle must be added for every additional mobile disk, giving \({\phi }_{c}^{c}\propto {\phi }_{m}\).
Transient velocities near the clogging and jamming transitions
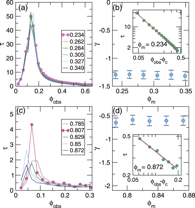
In Fig. 4a we show representative time series of the average velocity V per mobile disk in the clogging regime at ϕm = 0.234 for ϕobs ranging from ϕobs = 0.087 to 0.175. At low obstacle densities, the disks reach a steady state flow after a very short transient time τ. As ϕobs increases, τ increases, showing a divergence at the critical obstacle density \({\phi }_{c}^{c}\) where clogging first occurs, while for \({\phi }_{obs} > {\phi }_{c}^{c}\), τ decreases with increasing ϕobs and the disks reach a completely clogged state with V = 0. We fit \(V(t)\propto A\,\exp (\,-\,t/\tau )+{V}_{0}\), as indicated by the dashed lines in Fig. 4(a), and plot the resulting values of τ in Fig. 5a as a function of ϕobs for ϕm = 0.234 to 0.349. In each case, τ diverges near ϕobs = 0.15. We fit this divergence for \({\phi }_{obs} > {\phi }_{c}^{c}\) to a power law, \(\tau \propto {({\phi }_{obs}-{\phi }_{c}^{c})}^{\gamma }\), as shown in the inset of Fig. 5b for ϕm = 0.234, where γ = −1.29 ± 0.1. The plot of γ versus ϕm in the main panel of Fig. 5(b) indicates that γ has a constant value in the range −1.25 to −1.35. The transient time behavior is similar to that found for the diverging time scales that appear near the irreversible-reversible transition in systems exhibiting random organization26,27,28 and near the depinning transition for colloids29 and vortices30,31 driven over random pinning arrays. The power law exponents are also close to the value γ = −1.295 expected for the universality class of two-dimensional directed percolation32, and we find similar values of γ for ϕm < 0.67 throughout the clogging regime. Directed percolation is often used to describe nonequilibrium absorbing phase transitions32, and in our case the steady state flow corresponds to a fluctuating state, while the clogged state is the non-fluctuating or absorbed state.
Transient times for clogging and jamming. (a) The average velocity V per mobile disk vs time in simulation time steps for samples with mobile disk density ϕm = 0.234 at varied obstacle density ϕobs = 0.087, 0.109, 0.131, 0.153, and 0.175, from top to bottom. Dashed lines indicate fits to \(V\propto A\,\exp (\,-\,t/\tau )+{V}_{0}\). The disks reach a clogged state for ϕobs > 0.15. (b) V vs time for samples with ϕm = 0.785 in the jamming regime for ϕobs = 0.022, 0.044, 0.065, and 0.087, from top to bottom. The transient times are very short.
Transient times for clogging and jamming. (a) Transient times τ vs ϕobs obtained from V(t) curves such as those shown in Fig. 4a by fitting \(V\propto A\,\exp (\,-\,t/\tau )+{V}_{0}\) for ϕm = 0.234 to 0.349, from top to bottom. There is a divergence in τ near the clogging density of \({\phi }_{c}^{c}=0.15\). (b) The value of the exponent γ vs ϕm obtained by fitting the curves in a to \(\tau \propto {({\phi }_{obs}-{\phi }_{c}^{c})}^{\gamma }\). Inset: τ vs \({\phi }_{obs}-{\phi }_{c}^{c}\) at ϕm = 0.234. The pink line indicates a power law fit with γ = −1.29 ± 0.1. (c) τ vs ϕobs obtained from the V(t) curves such as those shown in Fig. 4b for ϕm = 0.785 to 0.872, from top to bottom. The transient times are much shorter than those in the clogging regime in panel (a). (d) Exponent γ vs ϕm obtained by fitting the curves in (c) to \(\tau \propto {({\phi }_{obs}-{\phi }_{c}^{j})}^{\gamma }\). Inset: τ vs \({\phi }_{obs}-{\phi }_{c}^{j}\) at ϕm = 0.872. The pink line indicates a power law fit with γ = −0.66.
In the jamming regime the transient times are much shorter, as shown by the plot of V(t) in Fig. 4b for ϕm = 0.785 at ϕobs = 0.022 to 0.087. In Fig. 5c, τ versus ϕobs in the range ϕm = 0.785 to 0.872 has a value that is an average of 20 times smaller than in the clogging regime from Fig. 5a. The peak in τ shifts to lower ϕobs with increasing ϕm, reflecting the behavior of the critical jamming density \({\phi }_{c}^{j}\). By fitting the curves in Fig. 5c to \(\tau \propto {({\phi }_{obs}-{\phi }_{c}^{j})}^{\gamma }\), as demonstrated in the inset of Fig. 5d for ϕm = 0.872, we obtain γ ≈ −0.66, as shown in the plot of γ versus ϕm in the main panel of Fig. 5d. This indicates that there is a pronounced difference in the dynamics of the jamming regime compared to the clogging regime.
In Fig. 6 we show a heat map of the transient time τ obtained by fitting \(V(t)=A\,\exp (\,-\,t/\tau )+{V}_{0}\). The transient times become large near the crossover from flowing to clogging for ϕm < 0.67, while in the jamming regime for ϕm > 0.67, the transient times are strongly reduced. This provides further evidence that in the clogging regime it is necessary for the system to organize over time into a clogged state, gradually forming phase-separated regions of high and low density as illustrated in Fig. 1. In contrast, the jammed system has strong spatial correlations, and once the correlation length associated with ϕj is larger than the distance lobs between defects, very few disk rearrangements are needed to bring the system into a stationary, nonflowing state.
Transient time behavior. The heat map of the transient times τ obtained from fitting \(V(t)=A\,\exp (\,-\,t/\tau )+{V}_{0}\) as a function of ϕobs vs ϕm. Yellow indicates large τ and blue indicates small τ. The dark dashed line is a guide to the eye marking the crossover from a flowing state to a clogged state, while the white dashed line indicates the transition from a flowing state to a jammed state. The white region is above the maximum density \({\phi }_{{\rm{tot}}}=\pi /2\sqrt{3}\) of our model. The dots along ϕm = 0.234 indicate the values of ϕobs shown in the time series of Fig. 4a, while the dots along ϕm = 0.785 indicate the values of ϕobs shown in the time series of Fig. 4b. The system must organize into a clogged state, giving large transient times in the clogging regime, but can quickly enter a jammed state, giving small transient times in the jamming regime.
In Fig. 7a we show the transition from the flowing to the clogged or jammed state as a function of ϕobs versus ϕm by identifying the points from Fig. 3 for which V = 0.01. Figure 7b shows the transient times τ along this transition line, and in Fig. 7c we plot the transient exponent γ. The dashed vertical line at ϕm = 0.67 indicates a transition from clogging to jamming behavior, correlated with a change from γ ≈ −1.29 in the clogging regime to γ ≈ −0.66 in the jamming regime, as well as with a drop in ϕobs and τ. The point ϕm = 0.67 matches the density at which 2D continuum percolation of disks is expected to occur. We find a third value of γ for ϕm < 0.07 in a density regime where the value of ϕobs at which a clogged state appears decreases with decreasing ϕm. This regime is dominated by the trapping of single disks rather than collective clogging dynamics.
Transient times and critical exponents across the clogging to jamming transition. (a) The location of the transition from a flowing state to a clogged or jammed state, defined as points for which V0 = 0.01, as a function of ϕobs vs ϕm. The dashed line separates clogged states at low ϕm from jammed states at high ϕm. (b) The transient time τ at the flowing to nonflowing transition point vs ϕm. (c) The transient exponent γ extracted from the nonflowing side of the transition vs ϕm. There is a clear crossover from clogging to jamming. In the clogging regime, γ ≈ −1.29, but in the jamming regime, γ ≈ −0.66, indicating that the dynamics of clogging differ from those of jamming.
Local disk densities in clogged and jammed states
The clogged and jammed systems can also be distinguished by examining the local disk density ϕloc measured in areas 6Rd × 6Rd in size. In Fig. 8a we plot the local density distribution P(ϕloc) averaged over ten realizations of the final clogged state for a system with ϕm = 0.5 and ϕobs = 0.175. As shown in the inset of Fig. 8a, the disks phase separate into low density regions associated with the peak at ϕloc = 0.1 and high density regions which produce a second peak at ϕloc = 0.85. The local density of the dense regions is lower than the value of ϕloc = 0.9069 for a dense ordered hexagonal disk arrangement due to the considerable disorder introduced in the packing by the randomly placed obstacles. In Fig. 8b, P(ϕloc) for a system with ϕm = 0.8 and ϕobs = 0.06 that reaches a jammed state has a single peak near ϕloc = 0.9, reflecting the uniform disk density at jamming that is illustrated in the inset of Fig. 8(b).
Local density distributions in clogged and jammed systems. (a) The local density distribution P(ϕloc) averaged over 10 realizations for a system with ϕm = 0.5 and ϕobs = 0.175 that reaches a clogged state in which the local density is bimodally distributed. Inset: Image of a clogged configuration from one of the realizations, showing the mobile disks (dark blue open circles) trapped by the obstacles (red filled circles). (b) P(ϕloc) averaged over ten realizations for a jammed system with ϕm = 0.8 and ϕobs = 0.06 shows a single peak at ϕtot. Inset: Image of a jammed disordered configuration from one of the realizations.
Discussion
Our results suggest that clogging and jamming processes have different dynamics. Clogging in the presence of random obstacles has signatures of an absorbing transition falling in a directed percolation universality class, and its dynamics are controlled by the average spacing of the obstacles. In the jamming that occurs for higher ϕtot, the dynamics are controlled by the growing correlation length associated with ϕj, the jamming density of an obstacle-free system. These results show that jamming and clogging in obstacles are indeed different phenomena. Jamming is associated with an equilibrium critical point, the formation of a homogeneous rigid state, and short transient times to reach this state, while clogging is a nonequilibrium dynamical phenomenon in which the system evolves over an extended time into a strongly spatially heterogeneous state. Our results have implications for flow though heterogeneous media33, erosion34, depinning transitions in particle assemblies35, and active matter in disordered environments36,37. Experimentally our results could be tested using colloidal particles at low flow rates to reduce hydrodynamic effects. It would also be interesting to examine the effects of adding frictional contacts between the disks, since these can change the characteristics of the jamming transition38,39, or to replace the disks by elongated particles40 or chains41,42.
Methods
Numerical simulation details
We conduct simulations of nonoverlapping disks and obstacles confined to a two-dimensional plane. The system size is L × L with L = 60, and we use periodic boundary conditions in both the x and y directions. We introduce Nm mobile disks of radius Rd = 0.5 along with Nobs obstacles represented by disks of radius Rd that are not allowed to move. The area coverage of the mobile disks is \({\phi }_{m}={N}_{m}\pi {R}_{d}^{2}/{L}^{2}\), the area coverage of the obstacles is \({\phi }_{obs}={N}_{{ob}{s}}\pi {R}_{d}^{2}/{L}^{2}\), and the total area coverage is ϕtot = ϕm + ϕobs.
The disk dynamics are given by the overdamped equation of motion
where η = 1 is the viscosity. The interaction between two disks at ri and rj is a short range harmonic repulsion, \({{\bf{F}}}_{dd}^{ij}=k({r}_{ij}-2{R}_{d})\,{\rm{\Theta }}({r}_{ij}-2{R}_{d}){\hat{{\bf{r}}}}_{ij}\), where rij = |ri − rj|, \({\hat{{\bf{r}}}}_{ij}=({{\bf{r}}}_{i}-{{\bf{r}}}_{j})/{r}_{ij}\), and Θ is the Heaviside step function. We set k = 200, which is large enough that overlap between disks does not exceed 0.01Rd, placing us in the hard disk limit. The interactions with mobile disks are given by \({{\bf{F}}}_{pp}^{i}={\sum }_{j\ne i}^{{N}_{p}}\,{{\bf{F}}}_{dd}^{ij}\), while the interactions with obstacles are given by \({{\bf{F}}}_{{\rm{obs}}}^{i}={\sum }_{j}^{{N}_{ps}}\,{{\bf{F}}}_{dd}^{ij}\). We apply a uniform driving force \({{\bf{F}}}_{d}={F}_{d}\hat{{\bf{x}}}\) to all mobile disks, with Fd = 0.5. Distances are measured in simulation units l0 and forces are measured in simulation units f0 so that k is in units of f0/l0 and the unit of simulation time is t0 = ηl0/f0. We initialize the system by placing Nm + Nobs disks of reduced radius in randomly chosen nonoverlapping positions, and then gradually expanding the radii to size Rd while allowing all disks to move. This produces a randomized packing of homogeneous density with no internal tensions. We then randomly assign Nobs of the disks to be obstacles, and apply an external driving force. After a fixed simulation time of 1 × 106 simulation time steps, we determine whether the system has reached a clogged or jammed state based on whether the average disk velocity V has dropped to zero.
References
Liu, A. J. & Nagel, S. R. Nonlinear dynamics: Jamming is not just cool any more. Nature (London) 396, 21–22 (1998).
O’Hern, C. S., Silbert, L. E., Liu, A. J. & Nagel, S. R. Jamming at zero temperature and zero applied stress: The epitome of disorder. Phys. Rev. E 68, 011306 (2003).
van Hecke, M. Jamming of soft particles: geometry, mechanics, scaling and isostaticity. J. Phys. Condens. Matter 22, 033101 (2010).
Liu, A. J. & Nagel, S. R. The jamming transition and the marginally jammed solid. Annu. Rev. Condens. Matter Phys. 1, 347–369 (2010).
Reichhardt, C. & Olson, C. J. Aspects of jamming in two-dimensional athermal frictionless systems. Soft Matter 10, 2932–2944 (2014).
Drocco, J. A., Hastings, M. B., Reichhardt, C. J. O. & Reichhardt, C. Multiscaling at Point J: Jamming is a critical phenomenon. Phys. Rev. Lett. 95, 088001 (2005).
Henkes, S. & Chakraborty, B. Jamming as a critical phenomenon: A field theory of zero-temperature grain packings. Phys. Rev. Lett. 95, 198002 (2005).
Olsson, P. & Teitel, S. Critical scaling of shear viscosity at the jamming transition. Phys. Rev. Lett. 99, 178001 (2007).
Candelier, R. & Dauchot, O. Creep motion of an intruder within a granular glass close to jamming. Phys. Rev. Lett. 103, 128001 (2009).
To, K., Lai, P.-Y. & Pak, H. K. Jamming of granular flow in a two-dimensional hopper. Phys. Rev. Lett. 86, 71–74 (2001).
Zuriguel, I., Pugnaloni, L. A., Garcimartín, A. & Maza, D. Jamming during the discharge of grains from a silo described as a percolating transition. Phys. Rev. E 68, 030301(R) (2003).
Chen, D., Desmond, K. W. & Weeks, E. R. Topological rearrangements and stress fluctuations in quasi-two-dimensional hopper flow of emulsions. Soft Matter 8, 10486–10492 (2012).
Thomas, C. C. & Durian, D. J. Geometry dependence of the clogging transition in tilted hoppers. Phys. Rev. E 87, 052201 (2013).
Redner, S. & Datta, S. Clogging time of a filter. Phys. Rev. Lett. 84, 6018–6021 (2000).
Wyss, H. M., Blair, D. L., Morris, J. F., Stone, H. A. & Weitz, D. A. Mechanism for clogging of microchannels. Phys. Rev. E 74, 061402 (2006).
Roussel, N., Nguyen, T. L. H. & Coussot, P. General probabilistic approach to the filtration process. Phys. Rev. Lett. 98, 114502 (2007).
Zuriguel, I. et al. Clogging transition of many-particle systems flowing through bottlenecks. Sci. Rep. 4, 7324 (2014).
Agbangla, G. C., Bacchin, P. & Climent, E. Collective dynamics of flowing colloids during pore clogging. Soft Matter 10, 6303–6315 (2014).
Dressaire, E. & Sauret, A. Clogging of microfluidic systems. Soft Matter 13, 37–48 (2017).
Wyart, M., Nagel, S. R. & Witten, T. A. Geometric origin of excess low-frequency vibrational modes in weakly connected amorphous solids. Europhys. Lett. 72, 486–492 (2005).
Wyart, M., Silbert, L. E., Nagel, S. R. & Witten, T. A. Effects of compression on the vibrational modes of marginally jammed solids. Phys. Rev. E 72, 051306 (2005).
Reichhardt, C. J. O., Groopman, E., Nussinov, Z. & Reichhardt, C. Jamming in systems with quenched disorder. Phys. Rev. E 86, 061301 (2012).
Graves, A. L. et al. Pinning susceptibility: The effect of dilute, quenched disorder on jamming. Phys. Rev. Lett. 116, 235501 (2016).
Nguyen, H. T., Reichhardt, C. & Reichhardt, C. J. O. Clogging and jamming transitions in periodic obstacle arrays. Phys. Rev. E 95, 030902 (2017).
Hinrichsen, E. L., Feder, J. & Jøssang, T. Geometry of random sequential adsorption. J. Stat. Phys. 44, 793–827 (1986).
Corte, L., Chaikin, P. M., Gollub, J. P. & Pine, D. J. Random organization in periodically driven systems. Nature Phys. 4, 420–424 (2008).
Milz, L. & Schmiedeberg, M. Connecting the random organization transition and jamming within a unifying model system. Phys. Rev. E 88, 062308 (2013).
Tjhung, E. & Berthier, L. Criticality and correlated dynamics at the irreversibility transition in periodically driven colloidal suspensions. J. Stat. Mech. 2016, 033501 (2016).
Reichhardt, C. & Reichhardt, C. J. O. Random organization and plastic depinning. Phys. Rev. Lett. 103, 168301 (2009).
Shaw, G. et al. Critical behavior at depinning of driven disordered vortex matter in 2H-NbS2. Phys. Rev. B 85, 174517 (2012).
Okuma, S., Tsugawa, Y. & Motohashi, A. Transition from reversible to irreversible flow: Absorbing and depinning transitions in a sheared-vortex system. Phys. Rev. B 83, 012503 (2011).
Hinrichsen, H. Non-equilibrium critical phenomena and phase transitions into absorbing states. Adv. Phys. 49, 815–958 (2000).
Mays, D. C. & Hunt, J. R. Hydrodynamic aspects of particle clogging in porous media. Environ. Sci. Technol. 39, 577–584 (2005).
Aussillous, P., Zou, Z., Guazzelli, E., Yan, L. & Wyart, M. Scale-free channeling patterns near the onset of erosion of sheared granular beds. Proc. Natl. Acad. Sci. 113, 11788–11793 (2016).
Reichhardt, C. & Reichhardt, C. J. O. Depinning and nonequilibrium dynamic phases of particle assemblies driven over random and ordered substrates: a review. Rep. Prog. Phys 80, 026501 (2017).
Bechinger, C. et al. Active particles in complex and crowded environments. Rev. Mod. Phys. 88, 045006 (2016).
Morin, A., Desreumaux, N., Caussin, J.-B. & Bartolo, D. Distortion and destruction of colloidal flocks in disordered environments. Nature Phys. 13, 63–67 (2017).
Bi, D., Zhang, J., Chakraborty, B. & Behringer, R. P. Jamming by shear. Nature 480, 335 (2011).
Henkes, S., Quint, D. A., Fily, Y. & Schwarz, J. M. Rigid cluster decomposition reveals criticality in frictional jamming. Phys. Rev. Lett. 116, 028301 (2016).
Gerbode, S. J. et al. Glassy dislocation dynamics in 2D colloidal dimer crystals. Phys. Rev. Lett. 105, 078301 (2010).
Zou, L.-N., Cheng, X., Rivers, M. L., Jaeger, H. M. & Nagel, S. R. The packing of granular polymer chains. Science 326, 408–410 (2009).
Lopatina, L. M., Reichhardt, C. J. O. & Reichhardt, C. Jamming in granular polymers. Phys. Rev. E 84, 011303 (2011).
Acknowledgements
This work was carried out under the auspices of the National Nuclear Security Administration of the US Department of Energy at Los Alamos National Laboratory under Contract No. DEAC52-006NA25396. The authors wish to thank LDRD at LANL for financial support through grant 20170147ER.
Author information
Affiliations
Contributions
C.R. and C.J.O.R. conceived the work and wrote the manuscript, H.P. and A.L. conducted the simulations and performed data analysis.
Corresponding author
Ethics declarations
Competing Interests
The authors declare no competing interests.
Additional information
Publisher's note: Springer Nature remains neutral with regard to jurisdictional claims in published maps and institutional affiliations.
Rights and permissions
Open Access This article is licensed under a Creative Commons Attribution 4.0 International License, which permits use, sharing, adaptation, distribution and reproduction in any medium or format, as long as you give appropriate credit to the original author(s) and the source, provide a link to the Creative Commons license, and indicate if changes were made. The images or other third party material in this article are included in the article’s Creative Commons license, unless indicated otherwise in a credit line to the material. If material is not included in the article’s Creative Commons license and your intended use is not permitted by statutory regulation or exceeds the permitted use, you will need to obtain permission directly from the copyright holder. To view a copy of this license, visit http://creativecommons.org/licenses/by/4.0/.
About this article
Cite this article
Péter, H., Libál, A., Reichhardt, C. et al. Crossover from Jamming to Clogging Behaviours in Heterogeneous Environments. Sci Rep 8, 10252 (2018). https://doi.org/10.1038/s41598-018-28256-6
Received:
Accepted:
Published:
DOI: https://doi.org/10.1038/s41598-018-28256-6
Further reading
-
Critical behavior of density-driven and shear-driven reversible–irreversible transitions in cyclically sheared vortices
Scientific Reports (2021)
-
Mesoscale metrics on approach to the clogging point
Granular Matter (2021)
-
Jamming, fragility and pinning phenomena in superconducting vortex systems
Scientific Reports (2020)
-
Timescale divergence at the shear jamming transition
Granular Matter (2020)
Comments
By submitting a comment you agree to abide by our Terms and Community Guidelines. If you find something abusive or that does not comply with our terms or guidelines please flag it as inappropriate.







