Abstract
This study analyzes the relationship between salivary cortisol and testosterone levels and performance in track and field athletes. In addition, we analyzed the influence of status among athletes (measured based on previous athletic achievement) on hormone levels. Nineteen members of the Austrian track and field team (eleven males, eight females, 25.9 ± 3.9 years of age, 74.9 ± 20.1 kg, and 179.3 ± 10 cm) participated in this study. Data was collected during the European Games in Baku. Athletes delivered saliva samples at various time-points including morning samples and samples directly before and after the competition. Scoring points of the International Association of Athletics Federation were used as an individual measure of relative performance. We found that performance was negatively correlated with rise in testosterone concentrations in the last 24 h prior to the competition. A similar trend was found for cortisol levels, but only when the three least competitive athletes were removed from analysis. Pre-competition cortisol levels were significantly increased compared to measurements 24 h earlier. No effect of status on cortisol or testosterone increase in the same timeframe was found. We conclude that the tournament represented a stressor and that excessive endocrine response was associated with reduced performance.
Introduction
Social status affects behavior and hormone levels in humans and other nonhuman species1, 2. Magee and Galinsky3 define status as “the extent to which an individual or group is respected or admired by others”. Humans are typically part of multiple hierarchy systems and tend to attach the highest value to the system in which they hold the highest social status2. In competitive athletes, this most valued hierarchy is their peer environment, making status among other athletes very important to them. In such a setting, status depends greatly on athletic performance, and sports-competitions can be seen as formalized contests for status4. It has been argued that the pressure to perform well in a competition poses a social-evaluative threat, that is, a threat to a person’s social status5. Such a challenge can be stronger than other perceived stressors. For instance, competition among a cohort of ballroom dancers causes physiological stress responses, as measured based on salivary cortisol, that are greater than the Trier social stress test, a well-established laboratory stressor5. Competitive environments may represent severe stressors because the outcome of a competition can influence an individual’s self-esteem and self-identity. Furthermore, negative evaluation during and after competitions leads to a loss of social status in a cherished domain5. Sports competitions are therefore an ideal scenario to study the interaction between challenges and social statusN in a cherished domain.
Testosterone has been widely analyzed in studies on social status and dominance in humans and nonhuman primates6, 7. In this regard it has been argued that testosterone influences aggressive and dominant behavior8 and increases the motivation to seek status9. It has also been hypothesized that testosterone levels rise in an anticipatory response to an upcoming social challenge such as a competition10 and that the outcome of the challenge modulates testosterone levels8. A study on male and female soccer players reported ratings of playing abilities, used as a measure of status among teammates, to be positively correlated with game related testosterone levels in both sexes4. Regarding the outcome of the challenge, several studies showed that victory led to an increase in testosterone, whereas losing led to an increase in cortisol and a decrease in testosterone11, 12. Other studies found the effects on these hormones to be reversed or found no effect7, 12. Research on competition outcomes is mainly conducted with team sports or sports with dyadic interactions such as tennis or boxing. In these sports an individual’s performance and the outcome of the competition depend greatly on the actions of the opposition and the individual’s team mates11,12,13,14. Note here that the performance of an individual is not equal to the outcome of the competition. For example in team sports an individual may perform poorly but still win because others in the team performed well. Similarly, a tennis player may play at the peak of his or her ability and still lose a match if the opposition plays even better. A study on male and female badminton players showed that testosterone levels rose after a win and declined after a loss in both sexes. In the same study, cortisol levels were elevated after a loss and reduced after winning a match11. In contrast, a recent study on female soccer players did not find the same relationship between match outcome and changes in cortisol or testosterone levels15. To summarize, testosterone is assumed to increase after a positive outcome such as winning a challenge. No consensus, however, has been reached because a number of studies document contrary results16,17,18. Divergent results on hormone secretion rates can have several potential explanations. For example, in team sports the individuals’ contribution during the competition seems to be a better predictor of hormone secretion rates than the outcome of a competition16. Additional factors influencing a person’s psychological and physiological reaction to the outcome of a competition are: the importance of the competition (e.g., friendly games vs. world championships), the person’s involvement, perceived control of the outcome, and the opponents’ status, i.e. whether the person believes the opponent to be a better athlete19. Individual sports, where performance can be measured in a standardized way, could help to avoid many of these influencing factors. In sports such as swimming, weightlifting or track and field athletics, performance is measured in meters, seconds or kilos and opponents and teammates do not have as much of an influence on performance as in other sports.
Competitions are not only useful as models for challenges, they also represent profound physiological and psychological stressors. In general, during environmental or psycho-socially related challenges, the hypothalamic-pituitary adrenal-axis (HPA) is activated, increasing cortisol secretion rates from the adrenal gland20. Cortisol is a well-known steroid stress marker and well investigated in sports or exercise-related studies21.
If a person is challenged by a stressor, cortisol is released to prepare the body to cope in a behavioral and physiological manner. Differences in how an athlete copes with such a stressor might be reflected in their performance during a competition. More specifically, a higher activation of the stress system leads to increased arousal and attention and suppresses pain. Respiration and cardiac output are accelerated, catabolism is increased, and blood flow is redirected to provide as much energy to the brain, heart and muscles as possible20. Stress therefore potentially increases athletic performance. Conversely, extreme levels of arousal are thought to be detrimental to the athlete’s ability to cope adequately with competitive requirements22. It is often assumed that increased stress or arousal initially increases performance in a task, but that any additional increase in arousal beyond that point will negatively impact performance. This leads to the assumption that an optimal level of arousal or stress exists for any given task23, 24. The notion that the relationship between physiological stress and performance follows a gerneralisable pattern, however, is much disputed25.
For instance, the impact of cortisol, as a measure of stress, on individual athletic performance is poorly studied and the few reported results are ambiguous. In weightlifters, positive correlations between cortisol and performance were reported26, 27. Cortisol concentrations were found to be positively correlated to speed, power, and strength in professional rugby union players28. In contrast, another study on rugby players found values to be negatively correlated with the coaches’ evaluation of player performance29. A recent study reported cortisol levels to be negatively correlated with tennis serve performance30. An exploratory case study found cortisol to be negatively correlated with performance in a tennis match: this was valid only in some performance parameters such as return performance and unforced errors, but not in others such as serving performance. Intriguingly, cortisol levels in the same study were positively correlated with the number of winners (hits that are a direct point) that the players produced31. In golfers, cortisol was negatively correlated with performance in a golf competition32. The inconsistency in results may be explained partly by differences in study design. For example, the aforementioned study on tennis serve performance used a laboratory stressor to increase cortisol30, whereas the explorative case study on cortisol during a tennis match sampled a single match very thoroughly31. One rugby study performed scheduled tests28, whereas the other collected data following different motivational pre-game treatments before official rugby union matches29. The studies on weightlifting were performed during official and simulated competitions26, 27, the study on golf during a collegiate competition32. Another possible explanation for the variability of results is that the effect of increased cortisol levels varies between sports because the requirements of the sports differ. Nonethelss, little sports-related data is available compared to performance in other fields. For example, physiological stress affects decision-making performance, but the size and direction of the effect depends on the specific task and situation33. Perceptual motor performance deteriorates with stress but is more resilient to stress than higher-order cognitive processes such as memory. Furthermore, gross motor skills may be more resilient than fine motor skills25. This conclusion, however, was drawn from a review of studies utilizing a variety of stressors including fatigue, thermal stress, noise, workload, threat of electric shock, anxiety and fear, time pressure, and military combat25. The results may therefore not be fully applicable to correlations between cortisol and performance.
In this study we investigated the relationship between a competition and its outcome on testosterone and cortisol levels in athletes. We also examined the effect of status on changes in hormone levels in anticipation of the competition. For this purpose, we conducted a study on track and field athletes during the first European Games in Baku (Aze) an international multi-sport event in the Olympic tradition for athletes representing the National Olympic Committees of Europe.
Track and field athletes were chosen because (a) their performance is measured objectively in meters or seconds, (b) a method to compare results between disciplines has been validated for decades in the form of the International Association of Athletics Federation scoring table34 and (c) an opponent’s influence on individual performance is reduced and less direct compared with other sports such as tennis, boxing or team sports. The study examined (i) correlations between cortisol and testosterone secretion levels and athletic performance, (ii) whether an individual’s status among track and field athletes, defined as the athlete’s best performance of the season before the tournament, affects hormone-levels and (iii) whether the athletic performance in the tournament affects salivary levels of testosterone and cortisol after the event. No comparable study has been conducted at a competition of this magnitude.
Methods
Subjects
Nineteen members (eleven males 26.3 ± 3.9 years of age, 84.8 ± 20.5 kg, 184.6 ± 8.9 cm and eight females 25.5 ± 4.1 years of age, 61.3 ± 8.3 kg, 172 ± 6.3 cm) of the Austrian track and field team participated in this study. All participants were athletes starting in single events: jumps (N = 4), long distance (N = 3), middle distance (N = 2), sprint (N = 5), throws (N = 5). Participants had to be above eighteen years of age in order to be included in the study. Athlete’s health was determined by the Austrian Olympic Committee (ÖOC) prior to selection into the team. Before entering the study, participants were informed of all procedures in the study and gave written informed consent to participate. One athlete encountered faulty equipment during the competition and was therefore removed from statistical analysis that includes performance at the EG. Athletes who provided no saliva samples at the time points used in the analyses, did not have a season’s best performance in their discipline, or did not start in a single event, were not included in the study.
The track and field competition at the European Games was held according to the rules and as a part of the European Athletics Team Championships in Athletics. This had the advantage of a relatively large number of athletes competing at an important occasion on two consecutive afternoons, under stable weather conditions. In this competition mode one male and one female athlete per country starts in each discipline to score points for his or her nation. Since not every nation has a professional athlete for every discipline, the level of ambition and competitiveness varies between athletes. In the cohort of this study three athletes reported not to be fully active, competitive athletes. These athletes also had the lowest season’s best performance in the cohort (see Supplementary Figs 1 and 2). Therefore, these athletes are highlighted in the plots and analyses.
The study was conducted in accordance with the declaration of Helsinki and was submitted to the ethics committee of the City of Vienna (Unit 15, Health and Care, reference number: EK_15–121-VK_NZ). The ethics-committee cited Article15a paragraph 3a of the Viennese healthcare law, stating that for this kind of study no further processing by an ethics committee was needed. All research protocols were reviewed and approved by the commission of the Austrian athletics federation (OELV, reference number: 6495). The decision was that all ethical and research guidelines of the federation were fulfilled. All participating athletes gave written informed consent for all procedures in the study. Athletes were given questionnaires and supplied information about age, gender, weight, height, previous athletic career including SB, years of participation and time invested in the sport.
Saliva sampling and analysis
Saliva samples for hormonal analysis were collected using SaliCaps (IBL International, Hamburg, Germany). Saliva samples were used for three main reasons. First, the Olympic Committee has a strict no needle policy that prohibits the use of syringes at competition and training sites. Second, venipuncture can cause hematoma which might reduce limb function and cause pain. Third, salivary cortisol is a better measurement of dynamic HPA activity than serum cortisol35. The second point is especially important to athletes before a major competition, and venipuncture would reduce compliance in participants. Athletes were instructed to supply ten saliva samples at several time points during a period of 5 days including the competition day. Athletes arrived in Baku between two and six days before the competition. All athletes travelled from Austria, thus crossing one time zone on their way to Azerbaijan. The sample collection schedule was as follows: the last three days before the athlete’s competition, the day of the competition and the day after the competition. Morning samples were collected on each of the sampled days immediately after the athlete woke up. Pre-competition samples (pre-comp) were taken when the athletes entered the Call-Room (The Call Room is the last stop before an athlete enters the stadium and starts the last preparations for the competition. Depending on the discipline, the Call Room is entered 25–65 min before the start of the competition). Pre-comp samples were compared to samples taken at the same time on the day before the competition (24 h pre-comp; 24 h before entering the Call Room). Additional samples were collected immediately after, 1 h after and 3 h after (1 h and 3 h post-comp) the competition (Fig. 1).
Saliva sample schedule. Upper boxes represent day of sampling, lower boxes state the sampling times of the respective day. Upper boxes: 3 d, 2 d and 1 d pre-comp = three, two and one day before the day of the competition, respectively, comp = day of the competition, 1 d post-comp = first day after the competition. Lower boxes: morning = morning of the sampled day directly after waking up, 24 h pre-comp = 24 h before entering the Call Room, pre-comp = before entering the Call Room, post-comp = immediately after competition, post-comp 1 h = 1 h after competition, post-comp 3 h = 3 h after competition.
Competitions began at 16:00 h on both days and the last individual competition started at 20:30 on the first day and at 20:05 h on the second day. To study the effect on competition on hormone levels, samples were taken exactly 24 h before the competition (24 h pre-comp) and compared with the sample taken before the competition. Thereby the control sample was taken at the same time of day as the competition sample. This is an important measure to counteract the effect of daily hormone fluctuations and different starting times of the individual competitions.
The saliva samples were kept cool with dry ice on site and during shipment to the lab, where they were stored at −20 °C. Cortisol levels were analyzed by a medical laboratory using the Access Cortisol Assay on the Access Immunoassay-System platform (Beckman Coulter, Brea, California). This fully automated CE marked assay is used regularly for human medical applications. Measurements were performed according to manufacturer instructions. In accordance with the instructions the samples were run in singlets. All samples were measured in a single run; the intra-assay coefficient of variation was 4.4%. Testosterone was analyzed using IBL ELISA Testosterone kits (International, Hamburg, Germany). Testosterone assays were performed in duplicates and according to the manufacturer’s manual. For testosterone, the intra-assay coefficient of variation was 6.35% and the inter-assay variation was 3.05%. Salvia samples were used for cortisol analyses, yielding 10 sample points. The same samples were used to analyze testosterone levels in a subsequent analysis. The remaining amount of saliva available for the testosterone assay did not allow for analyzing all data points. The sample points for the testosterone assay were: 24 h pre-comp, morning of the competition, pre-comp, morning post-comp.
Measurements of performance and status
Seasons best performance was converted into scoring points using the IAAF scoring table34. When athletes reported indoor results as their season’s best, the appropriate table was used to convert the performance into scoring points. To compare how well each individual athlete performed during the games, each athlete’s European Games Performance in scoring points (EGP) was transformed into a delta-value using the athlete’s self-reported season’s best performance in scoring points (SBP) before the games. Equation 1. Was used to derive an athlete’s relative performance (ΔP).
ΔP = athlete’s relative performance at the European Games; EGP = performance at the European Games in IAAF scoring points; SBP = season’s best performance before the European Games in IAAF scoring points.
The resulting ΔP is a dimensionless number between 0 and 1. The resulting number is greater the better the performance at the competition was relative to the best performance of the season before the European Games. A value of 0.5 represents a EGP equal to the SBP. Numbers above 0.5 represent performances that were better than the season’s best performance, whereas values below 0.5 represent performances worse than the athlete’s season’s best. The athlete’s SBP was used as a measure of status among athletes, assuming that better performance translates to status among athletes.
Data analysis
Descriptive results are presented as mean ± standard deviation. Non-parametric tests were used for correlation analysis (Spearman’s rank correlation coefficient) and to test for significant differences between sample points (Mann-Whitney –U test or Wilcoxon matched pairs signed-rank test). Spearman’s rank correlation coefficient was chosen because it is more robust towards outliers than parametric analyses and is not based on the assumption of normality. All statistical analyses were conducted in R with α set at 0.05. Due to the relatively small sample size, significant correlations were bootstrapped to further test the validity of the results. The bootstrapped 95% confidence interval (95% CI) is displayed in addition to the r s value of the bootstrapped correlation. Bootstrapping was performed utilizing the boot package in R with 10,000 repeats. The power of significant and marginally significant results was estimated using the pwr.r.test function in the pwr package in R with alpha set to 0.05. Graphical illustrations were created using the packages ggplot2, cowplot, beewswarm and extrafont in R.
Delta values were used for all statistical analyses of hormones. This was done in order to reduce inter-personal and inter-sexual variation. Equation 2 was used to derive delta values in hormones.
Equation 2 Delta values in hormones. ΔH = change in hormone level from earlier to later time point. Hlater = hormone level at later time point; Hearlier = hormone level at earlier time point.
Changes in cortisol (ΔC) and testosterone (ΔT) levels were calculated as the changes from the 24 h pre-sample to the pre-comp sample point (see section ‘Saliva Sampling and Analysis’). Changes in morning hormone levels from the morning of the competition to the day after the competition were calculated for cortisol (ΔC Morning ) and testosterone (ΔT Morning ). Thus, all ΔH values reflect the change of hormone levels in the course of 24 h, thereby representing normalized hormone levels for each individual. ΔH is a dimensionless number between 0 and 1, with values above 0.5 representing an increase in hormone levels, numbers below 0.5 a decrease in hormone levels between the two measured time points.
Results
Performance in the competition
The average ΔP was 0.495 (±0.01, N = 18). Performance in the competition was therefore slightly lower than season’s best performance. Six athletes achieved results that were better than their previous season’s best (ΔP > 0.5) whilst the other athletes in the cohort performed worse.
Hormonal measures
Testosterone and cortisol concentrations were analyzed from the same sample material, but due to the small volume of some samples, the number of values differs for some sample points (see Supplementary Tables 1 and 2).
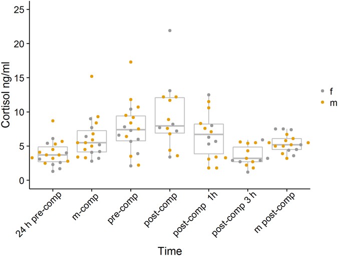
Saliva cortisol levels increased significantly from 24 h before the competition (3.89 ± 1.77 ng/ml) to immediately before the competition (7.57 ± 3.72 ng/ml, Wilcoxon matched pairs signed-rank test, P = 0.005; V = 20, r = −0.67, N = 18). Cortisol levels in the time course of the experiment are depicted in Fig. 2. Testosterone levels did not change significantly between those two time points (24 h pre-comp: 0.84 ± 0.67 ng/ml; pre-comp: 1.33 ± 1.46 ng/ml, Wilcoxon matched pairs signed-rank test, P = 0.32, V = 36, r = −0.27, N = 14). Morning cortisol levels did not differ greatly between the sampled days (see Supplementary Table 1).
Time course of salivary C levels. 24 h pre-comp = 24 h before the Call Room. M-comp = morning of competition; pre-comp = before entering the Call Room; Post-comp = immediately after competition; post-comp 1 h = 1 h after competition; post-comp 3 h = 3 h after competition; m post-comp = morning after competition. Dots represent individual values, colour indicates sex.
There was no significant difference in ΔH values between the sexes. (Mann-Whitney –U test, ΔC: P = 0.82; W = 43, r = −0.05, N male = 10, N female = 8; ΔT: P = 0.42, W = 16, r − 0.21, N male = 9, N female = 5; ΔT Morning : P = 0.42, W = 29, r = −0.21, N male = 9, N female = 5).
Performance and changes in hormone levels before the competition
There was no significant correlation between ΔP and ΔC values (P = 0.46, r s = −0.19, N = 17). However, when three athletes who did not categorize themselves as fully active competitive athletes, and who had the lowest SBP in the cohort, were removed from the analysis, a negative trend between ΔP and ΔC emerged (P = 0.08, r s = −0.49, N = 14 bootstrapped confidence intervals 95% CI [−0.87; 0.17], power = 0.45; Fig. 3). Here, athletes with a greater increase in cortisol in the last 24 h before the competition tended to perform worse in the competition.
Correlation of cortisol change prior to competition, ΔC (X-axis) and performance; ΔP (Y-axis). Each symbol represents an individual athlete; color indicates sex of the athlete, shape indicates the category the athlete started in, LD = long distance running, MD = middle distance running, Jump = jumps, Sprint = sprints, Throw = throws. Athletes marked with a circle were less involved in competitive athletics than the other athletes.
There was a significant, negative correlation between ΔT and ΔP (P = 0.027; r s = −0.62, N = 13, bootstrapped confidence intervals 95% CI [−0.91; −0.04], power = 0.66; Fig. 4). When only active, competitive athletes were included in the analysis the correlation between ΔT and ΔP was marginally significant (P = 0.066; r s = −0.58, N = 11, bootstrapped confidence intervals 95% CI −0.91; 0.16], power = 0.49; Fig. 4). Here, a greater increase in testosterone in the last 24 h of the competition is correlated with a decrease in performance.
Correlation of testosterone change prior to competition, ΔT (X-axis) and performance; ΔP (Y-axis). Each symbol represents an individual athlete; color indicates sex of the athlete, shape indicates the category the athlete started in, LD = long distance running, MD = middle distance running, Jump = jumps, Sprint = sprints, Throw = throws. Athletes marked with a circle were less involved in competitive athletics than the other athletes.
Hormonal response and athletic status
The individual athlete’s SBP (our measure of status in athletes) was not significantly correlated with ΔC (P = 0.48, r s = 0.18, N = 18) or ΔT (P = 0.76, r s = −0.09, N = 14; see Supplementary Figs 1 and 2). There was also no significant correlation between change in morning testosterone levels (ΔT Morning ) and performance in the competition (ΔP) (P = 0.63; r s = −0.14, N = 14, Supplementary Fig. 3).
Discussion
In this study, we detected a negative association between athletic performance and increases in testosterone levels from 24 h before the competition to immediately before the competition. A similar trend was found for cortisol levels, but only when those athletes who did not self-identify as fully active, competitive athletes (and who also had the lowest SBP in the cohort) were removed from the analysis. This suggests that an increase in these two hormones prior to a competition may be detrimental to performance in track and field athletes.
Previous studies reported seemingly contradictory results concerning the impact of cortisol on performance. Cortisol was found to correlate positively with performance in weightlifters26, 27 and rugby players14 and negatively in tennis players30 and golfers32. This discrepancy might reflect the different requirements in different sports or differences in study design. Regarding the former, the challenges a weightlifter faces in competition are both physically and mentally very different from those that occur during a golf tournament. Study design might influence the impact of endocrine changes on performance. Differences in study design, for example the importance of the occasion (competition or training) could also influence the impact of hormone levels on performance. In important competitions most athletes might be at or above the optimal level of arousal.
Cortisol, but not testosterone, levels rose between 24 h prior to immediately prior to the competition. The increase in cortisol indicates that a competition at this level is a severe physiological stressor. The fact that testosterone levels did not rise in the last 24 h before the competition is interesting because such an increase is generally expected in anticipation of a challenge in both women36 and men10, although this effect is not always found7, 37. The magnitude of the competition itself (in the case of this study an international multisport event) may also have contributed to our findings because athletes may already have experienced increased level of arousal 24 h prior to the competition. Testosterone levels in the athletes may therefore already have been elevated in anticipation of the competition even 24 h beforehand. This could explain our observation that an increase of testosterone, and to a lesser degree, cortisol levels in the last 24 h before the competition was associated with poorer performance. A less important competition might have resulted in different results from the same cohort.
An increase in testosterone prior to a competition is usually not associated with decreased performance. However, Kivlighan et al.37 also found a negative correlation between increase in testosterone levels in anticipation of a competition and performance in men and women participating in a rowing ergometer competition. Interestingly, in women this effect was found in novice, but not in varsity rowers, whereas in men the effect was found in both groups. Pregame rise in testosterone has been reported to be related to aggressiveness as well as being focused in female collegiate rugby players36. Further, the rise in testosterone before a competition might be associated with a willingness to take risks38, 39 and higher testosterone and cortisol levels have been reported to be positively correlated with neuromuscular performance28. These aspects are supposed to increase performance, however it can be speculated that taking too much risk or acting too aggressively in a competition might be detrimental to performance. Here further research is needed.
Anticipatory changes in cortisol or testosterone levels did not correlate with the athlete’s status (SBP). Nonetheless, the relationship between hormones and status is an interesting subject for future studies. In this study, we found no correlation between testosterone levels after the competition in relation to performance. Multiple studies have reported testosterone levels to increase after positive outcomes in competitions. This includes tennis players13 as well as basketball and soccer fans whose team had won40 and voters whose preferred candidate won an election41. Other studies failed to find an increase in testosterone after a positive outcome16,17,18, 42. One study found an increase in testosterone after a loss in competition to be positively correlated with the participant’s willingness to compete again, whereas no overall difference in post competition testosterone was found between winners and losers43. Since the participants in our study were competitive athletes, we assume that an unsatisfactory competition outcome would create a desire to compete again and do better, which can lead to a post competition increase in testosterone. This effect works in the opposite direction of the more frequently described effect that testosterone levels increase after a positive outcome. It is therefore possible that these two effects offset in this study. Quality of sleep may have also had an impact on hormone profiles in the athletes. A recent study demonstrated that athletes frequently do not sleep well before major competitions44, and sleep restriction has been reported to lead to altered diurnal cortisol secretion patterns45 and reduced testosterone levels46. How well an athletes sleeps before a competition could therefore affect his or her hormone levels.
For this study we have not combined data from different competitions, choosing instead to sample a single competition of international importance. This is based on the concern that competitions of varying importance levels might in turn have varying effects on hormonal responses. This might increase variation and would initially outweigh the benefit of increased sample size. We did, however, combine the sexes in our statistical analysis because we found no significant differences in the ∆H values of males and females and because previous research has shown associations between testosterone and competition outcome to be similar in men and women47. Nonetheless, future studies would benefit from increased sample sizes, which would also allow for a separate analysis of male and female athletes and athletes competing in different disciplines. Such a sample size would require international cooperation at high-level competitions.
An intriguing way to validate and extend the results from this study would be to apply the same methodological approach to competitions of differing importance to athletes, as well as to incorporate training conditions. Such studies could reveal how low and high stress conditions (i.e., pressure in relation to event importance) are associated with hormone expression rates and athletic performance. Increased sample size would further enable examining the effects of different settings and conditions during competition, such as the impact of the opponent’s status. Further, increased sample size would enable studies on whether the relationship between status, hormones and performance differs between athletes from different disciplines.
We conclude that the tournament represented a significant stressor for the athletes and that those with a less pronounced endocrine response in the 24 h prior to the competition fared better than those exhibiting greater endocrine changes.
References
Abbott, D. et al. Are subordinates always stressed? A comparative analysis of rank differences in cortisol levels among primates. Hormones and Behavior 43, 67–82 (2003).
Sapolsky, R. M. Social Status and Health in Humans and Other Animals. Annual Review of Anthropology 33, 393–418, doi:10.2307/25064859 (2004).
Magee, J. C. & Galinsky, A. D. 8 Social Hierarchy: The Self‐Reinforcing Nature of Power and Status. The Academy of Management Annals 2, 351–398 (2008).
Edwards, D. A., Wetzel, K. & Wyner, D. R. Intercollegiate soccer: Saliva cortisol and testosterone are elevated during competition, and testosterone is related to status and social connectedness with teammates. Physiology & Behavior 87, 135–143 (2006).
Rohleder, N., Beulen, S. E., Chen, E., Wolf, J. M. & Kirschbaum, C. Stress on the dance floor: the cortisol stress response to social-evaluative threat in competitive ballroom dancers. Personality and Social Psychology Bulletin 33, 69–84 (2007).
Mazur, A. & Booth, A. Testosterone and dominance in men. Behavioral and Brain Sciences 21, 353-+ (1998).
Hamilton, L. D., Carré, J. M., Mehta, P. H., Olmstead, N. & Whitaker, J. D. Social neuroendocrinology of status: A review and future directions. Adaptive Human Behavior and Physiology 1, 202–230 (2015).
Mazur, A. A biosocial model of status in face-to-face primate groups. Social Forces 64, 377–402 (1985).
Eisenegger, C., Haushofer, J. & Fehr, E. The role of testosterone in social interaction. Trends in Cognitive Sciences 15, 263–271 (2011).
Archer, J. Testosterone and human aggression: an evaluation of the challenge hypothesis. Neuroscience & Biobehavioral Reviews 30, 319–345 (2006).
Jiménez, M., Aguilar, R. & Alvero-Cruz, J. R. Effects of victory and defeat on testosterone and cortisol response to competition: evidence for same response patterns in men and women. Psychoneuroendocrinology 37, 1577–1581 (2012).
Salvador, A. & Costa, R. Coping with competition: neuroendocrine responses and cognitive variables. Neuroscience & Biobehavioral Reviews 33, 160–170 (2009).
Booth, A., Shelley, G., Mazur, A., Tharp, G. & Kittok, R. Testosterone, and winning and losing in human competition. Hormones and Behavior 23, 556–571 (1989).
Gaviglio, C. M., Crewther, B. T., Kilduff, L. P., Stokes, K. A. & Cook, C. J. Relationship between pregame concentrations of free testosterone and outcome in rugby union. International Journal of Sports Physiology & Performance 9 (2014).
Casto, K. V. & Edwards, D. A. Before, during, and after: how phases of competition differentially affect testosterone, cortisol, and estradiol levels in women athletes. Adaptive Human Behavior and Physiology 2, 11–25 (2016).
Gonzalez-Bono, E., Salvador, A., Serrano, M. A. & Ricarte, J. Testosterone, cortisol, and mood in a sports team competition. Hormones and Behavior 35, 55–62 (1999).
Schultheiss, O. C. et al. Effects of implicit power motivation on men’s and women’s implicit learning and testosterone changes after social victory or defeat. Journal of Personality and Social Psychology 88, 174 (2005).
Papacosta, E., Nassis, G. P. & Gleeson, M. Salivary hormones and anxiety in winners and losers of an international judo competition. Journal of Sports Sciences 34, 1281–1287 (2016).
Salvador, A. Coping with competitive situations in humans. Neuroscience & Biobehavioral Reviews 29, 195–205 (2005).
Tsigos, C. & Chrousos, G. P. Hypothalamic-pituitary-adrenal axis, neuroendocrine factors and stress. Journal of Psychosomatic Research 53, 865–871, doi:10.1016/s0022-3999(02)00429-4 (2002).
Gatti, R. & De Palo, E. An update: salivary hormones and physical exercise. Scandinavian Journal of Medicine & Science in Sports 21, 157–169 (2011).
Bar-Eli, M. & Tractinsky, N. Criticality of game situations and decision making in basketball: an application of performance crisis perspective. Psychology of Sport and Exercise 1, 27–39 (2000).
Yerkes, R. M. & Dodson, J. D. The relation of strength of stimulus to rapidity of habit‐formation. Journal of Comparative Neurology and Psychology 18, 459–482 (1908).
Teigen, K. H. Y.-D. A law for all seasons. Theory & Psychology 4, 525–547 (1994).
Staal, M. A. Stress, cognition, and human performance: A literature review and conceptual framework. edn, (NASA STI Program, 2004).
Passelergue, P., Robert, A. & Lac, G. Salivary cortisol and testosterone variations during an official and a simulated weight-lifting competition. International Journal of Sports Medicine 16, 298–303 (1995).
Crewther, B. T., Heke, T. & Keogh, J. W. The effects of training volume and competition on the salivary cortisol concentrations of Olympic weightlifters. The Journal of Strength & Conditioning Research 25, 10–15 (2011).
Crewther, B. T., Lowe, T., Weatherby, R. P., Gill, N. & Keogh, J. Neuromuscular performance of elite rugby union players and relationships with salivary hormones. The Journal of Strength & Conditioning Research 23, 2046–2053 (2009).
Cook, C. J. & Crewther, B. T. The effects of different pre-game motivational interventions on athlete free hormonal state and subsequent performance in professional rugby union matches. Physiology & Behavior 106, 683–688 (2012).
Lautenbach, F., Laborde, S., Achtzehn, S. & Raab, M. Preliminary evidence of salivary cortisol predicting performance in a controlled setting. Psychoneuroendocrinology 42, 218–224 (2014).
Lautenbach, F., Laborde, S., Klämpfl, M. & Achtzehn, S. A link between cortisol and performance: An exploratory case study of a tennis match. International Journal of Psychophysiology 98, 167–173 (2015).
Doan, B. K., Newton, R., Kraemer, W., Kwon, Y.-H. & Scheet, T. Salivary cortisol, testosterone, and T/C ratio responses during a 36-hole golf competition. International Journal of Sports Medicine 28, 470–479 (2007).
Starcke, K. & Brand, M. Decision making under stress: a selective review. Neuroscience & Biobehavioral Reviews 36, 1228–1248 (2012).
Spiriev, B. & Spiriev, A. IAAF scoring tables of athletics. 2014 Revised Edition edn, (International Association of Athletics Federations, 2014).
Gozansky, W., Lynn, J., Laudenslager, M. & Kohrt, W. Salivary cortisol determined by enzyme immunoassay is preferable to serum total cortisol for assessment of dynamic hypothalamic–pituitary–adrenal axis activity. Clinical Endocrinology 63, 336–341 (2005).
Bateup, H. S., Booth, A., Shirtcliff, E. A. & Granger, D. A. Testosterone, cortisol, and women’s competition. Evolution and Human Behavior 23, 181–192 (2002).
Kivlighan, K. T., Granger, D. A. & Booth, A. Gender differences in testosterone and cortisol response to competition. Psychoneuroendocrinology 30, 58–71 (2005).
Daitzman, R. & Zuckerman, M. Disinhibitory sensation seeking, personality and gonadal hormones. Personality and Individual Differences 1, 103–110 (1980).
Stanton, S. J., Liening, S. H. & Schultheiss, O. C. Testosterone is positively associated with risk taking in the Iowa Gambling Task. Hormones and behavior 59, 252–256 (2011).
Bernhardt, P. C., Dabbs, J. M. Jr., Fielden, J. A. & Lutter, C. D. Testosterone changes during vicarious experiences of winning and losing among fans at sporting events. Physiology & Behavior 65, 59–62 (1998).
Stanton, S. J., Beehner, J. C., Saini, E. K., Kuhn, C. M. & LaBar, K. S. Dominance, politics, and physiology: voters’ testosterone changes on the night of the 2008 United States presidential election. PLoS One 4, e7543 (2009).
Carré, J. M., Campbell, J. A., Lozoya, E., Goetz, S. M. & Welker, K. M. Changes in testosterone mediate the effect of winning on subsequent aggressive behaviour. Psychoneuroendocrinology 38, 2034–2041 (2013).
Mehta, P. H. & Josephs, R. A. Testosterone change after losing predicts the decision to compete again. Hormones and Behavior 50, 684–692 (2006).
Juliff, L. E., Halson, S. L. & Peiffer, J. J. Understanding sleep disturbance in athletes prior to important competitions. Journal of Science and Medicine in Sport 18, 13–18 (2015).
Spiegel, K. et al. Leptin levels are dependent on sleep duration: relationships with sympathovagal balance, carbohydrate regulation, cortisol, and thyrotropin. The Journal of Clinical Endocrinology & Metabolism 89, 5762–5771 (2004).
Leproult, R. & Van Cauter, E. Effect of 1 week of sleep restriction on testosterone levels in young healthy men. Jama 305, 2173–2174 (2011).
Geniole, S. N., Bird, B. M., Ruddick, E. L. & Carré, J. M. Effects of competition outcome on testosterone concentrations in humans: an updated meta-analysis. Hormones and Behavior (2016).
Acknowledgements
We appreciate the commitment of all athletes who provided samples during the European Games. We thank the Austrian Olympic Committee (Christoph Sieber, Dr. Peter Mennel, and Professor Dr. Engel) for making this study possible and the Austrian track and field association and its coaches and staff (Gregor Högler and Jan Siart). We are grateful to Elisabeth Pschernig for her support in the ELISA laboratory, Martin Fieder for his advice on statistics and Lena Pflüger for her help in drafting this manuscript. The corresponding author received a Marietta Blau scholarship for research abroad (OeAD) and the dissertation completion fellowship of the University of Vienna while working on this manuscript. Open access funding provided by University of Vienna.
Author information
Affiliations
Contributions
Author B.S. designed the study, collected data in the field. B.S. also performed statistical analyses, prepared figures and contributed to the manuscript. Author A.N. contributed to and corrected the manuscript. Author C.V. performed hormone analyses. Author B.W. commented on the research design, contributed personal funding, commented on and contributed to the manuscript and statistical analysis.
Corresponding author
Ethics declarations
Competing Interests
The authors declare that they have no competing interests.
Additional information
Publisher's note: Springer Nature remains neutral with regard to jurisdictional claims in published maps and institutional affiliations.
Electronic supplementary material
Rights and permissions
Open Access This article is licensed under a Creative Commons Attribution 4.0 International License, which permits use, sharing, adaptation, distribution and reproduction in any medium or format, as long as you give appropriate credit to the original author(s) and the source, provide a link to the Creative Commons license, and indicate if changes were made. The images or other third party material in this article are included in the article’s Creative Commons license, unless indicated otherwise in a credit line to the material. If material is not included in the article’s Creative Commons license and your intended use is not permitted by statutory regulation or exceeds the permitted use, you will need to obtain permission directly from the copyright holder. To view a copy of this license, visit http://creativecommons.org/licenses/by/4.0/.
About this article
Cite this article
Siart, B., Nimmerichter, A., Vidotto, C. et al. Status, Stress and Performance in Track and Field Athletes during the European Games in Baku (Azerbaijan). Sci Rep 7, 6076 (2017). https://doi.org/10.1038/s41598-017-06461-z
Received:
Accepted:
Published:
DOI: https://doi.org/10.1038/s41598-017-06461-z
Comments
By submitting a comment you agree to abide by our Terms and Community Guidelines. If you find something abusive or that does not comply with our terms or guidelines please flag it as inappropriate.



