Abstract
A quantum chemistry study of the first singlet (S1) and triplet (T1) excited states of phenylsulfonyl-carbazole compounds, proposed as useful thermally activated delayed fluorescence (TADF) emitters for organic light emitting diode (OLED) applications, was performed with the quantum Equation-Of-Motion Variational Quantum Eigensolver (qEOM-VQE) and Variational Quantum Deflation (VQD) algorithms on quantum simulators and devices. These quantum simulations were performed with double zeta quality basis sets on an active space comprising the highest occupied and lowest unoccupied molecular orbitals (HOMO, LUMO) of the TADF molecules. The differences in energy separations between S1 and T1 (ΔEST) predicted by calculations on quantum simulators were found to be in excellent agreement with experimental data. Differences of 17 and 88 mHa with respect to exact energies were found for excited states by using the qEOM-VQE and VQD algorithms, respectively, to perform simulations on quantum devices without error mitigation. By utilizing state tomography to purify the quantum states and correct energy values, the large errors found for unmitigated results could be improved to differences of, at most, 4 mHa with respect to exact values. Consequently, excellent agreement could be found between values of ΔEST predicted by quantum simulations and those found in experiments.
Similar content being viewed by others
Introduction
One of the major constraints of modern electronic structure methods used for quantum chemical calculations on classical computing architecture is the difficulty of finding eigenvalues of eigenvectors of the electronic Hamiltonian1.
The advent of quantum computing, which has demonstrated tremendous synergistic advances in both hardware and software capabilities in recent years, may provide invaluable support in the investigation of the electronic structure of molecules and materials, especially with regards to dynamical properties. Algorithms such as the phase estimation algorithm2 are expected to one day enable practitioners to calculate the Full Configuration Interaction (Full CI or FCI) energy of molecules in polynomial time complexity, in comparison to exponential time currently required for execution on classical computers3.
However, quantum computing is still, in many ways, a nascent technology, and quantum devices are currently hamstrung by noisiness and short decoherence times. Thus, instead of the expensive phase estimation algorithm, less-demanding quantum algorithms such as the Variational Quantum Eigensolver (VQE) algorithm4 are currently being used to find eigenvalues for approximate Ansätze suitable for constructing relatively short circuits that can be used for quantum chemistry calculations5.
A number of quantum computing use cases for chemistry have been investigated on quantum devices in the recent past. One of the first applications highlighted the construction of ground-state dissociation profiles of hydrogen, lithium hydride, and beryllium hydride via computation using an IBM Q quantum device5. Researchers have also performed computational studies on the mechanism of the rearrangement of the lithium superoxide dimer using larger devices6. In the latter case, the orbital determinants of the stationary points were extensively examined to identify a suitable orbital active space for which a reduced number of qubits could be used for computation given the current limitations of these devices. Simulations performed on classical hardware reproduced calculations involving the exact eigensolver known as Full Configuration Interaction (Full CI or FCI) for this process. However, calculations performed on quantum devices using hardware efficient Ansätze were less capable of reproducing exact energies due to noise.
In addition to using the VQE algorithm to compute energies for the dissociation profiles of molecules and the potential energy surfaces for reactions, various algorithms, among them the Quantum Equation-of-Motion VQE (qEOM-VQE)7 and Variational Quantum Deflation (VQD) algorithms8, have been developed in order to compute excited states of molecules. In particular, Ollitrault et al. have demonstrated computation of the first three excited states on the dissociation profile for lithium hydride on IBM Quantum hardware7.
Here, we take an initial step towards the application of algorithms such as VQE, qEOM-VQE, and VQD to determine ground and excited state energies of industrially relevant molecules. The subject of this study is thermally activated delayed fluorescence (TADF) emitters suitable for organic light-emitting diode (OLED) applications9. Once the separation between the first singlet (S1) and triplet (T1) excited states (ΔEST) of such molecules is sufficiently small, non-emissive T1 excitons can be thermally excited to an emissive S1 state, providing the emission mechanism of TADF emitters. The mechanism enables OLED devices comprised of TADF emitters to potentially perform with 100% internal quantum efficiency, in contrast to devices comprising conventional fluorophores for which the quantum efficiencies are inherently limited to 25%. TADF emitters have been demonstrated as next-generation emission materials for a range of fluorophores and have been utilized in the fabrication of efficient OLEDs9,10,11,12,13,14.
In order to make TADF emitters commercially viable for OLED displays, high quantum efficiency and stable TADF materials with appropriate emission spectrum must be developed. While density functional theory (DFT) has previously been utilized to help guide the design of TADF emitters by calculating the efficiency and emission spectrum of potential TADF materials14,15,16,17,18,19, the accuracy of DFT methods for such simulations can be quite limited in some cases. For example, DFT methods cannot reliably calculate the high energy singlet and triplet excited states which are required to investigate the mechanism of intersystem crossing in TADF materials. Notably, although quantum algorithms have been developed to simulate excited states on quantum devices, the accuracy of such simulations has not been tested by benchmarking against experimental data.
This manuscript aims to present guidelines on how to reliably reproduce the exact values and predict properties involving excited states for TADF materials by using currently available noisy quantum devices with various quantum algorithms and error mitigation schemes. The singlet-triplet gap, ΔEST, which is one of the most important properties for designing high-performance TADF materials, was chosen as a means to test the theoretical calculations. We expect the procedures described in this manuscript to be widely applicable to accurate predictions of singlet-triplet gaps for many types of chemical systems.
A well-established strategy for the computational design of TADF molecules involves identifying emitters in which the HOMO and LUMO orbitals are spatially separated and localized on appropriate moieties. Previous demonstrations have shown that a series of phenylsulfonyl-9H-carbazole (PSPCz) molecules are useful as TADF emitters due to the fact that the ΔEST of these molecules can be finely tuned by modifying their electronic properties20. We have elected to perform quantum chemical investigations on the molecules, PSPCz, 2F-PSPCz, 4F-PSPCz (Figs. 1 and 2), using quantum devices and simulators.
Notably, all three molecules of interest require the use of many more qubits than are currently available on useful quantum hardware or that can be reliably simulated using classical architecture. Thus, qubit reduction techniques must be applied in order to simulate the transition amplitudes of interest to this study. We have reduced the number of spatial orbitals to those that are absolutely necessary to describe the processes under investigation and have thus focused on transitions involving the HOMO and LUMO active space for each molecule (Fig. 2)21. This strategy has allowed reduction of the number of required qubits to just two after applying spin parity reduction.
Simulations involving the qEOM-VQE and VQD algorithms were performed on classical devices using heuristic Ansätze, in order to assess the accuracy of these techniques. Particular attention was paid to comparisons with experimental data20, which indicate that these procedures produce meaningful data for predicting the ΔEST of TADF emitters. Moreover, we have shown that these simulations can provide a detailed picture about how structural variations in phenylsulfonyl/carbazole molecules tunes the S1 and T1 excitations. Finally, we have found that simulations performed on a quantum device without error mitigation were much less reliable than results provided by quantum simulators. This is attributed to the fact that the quantum state of the ground state predicted on devices is a mixed state. We have explored various strategies to solve this issue and have found that the most accurate procedure involves the use of state tomography to purify the mixed ground state obtained from the quantum device prior to application of readout error mitigation to the calculation involving the excited state. We note that, in principle, the state tomography purification approach can be applied to other methods for computing excited states on quantum computers22,23.
Our work showcases the use of quantum hardware to simulate excited states of an important class of industrial materials, TADF emitters, by utilizing an active space Hamiltonian. Our results indicate that by combining our proposed error mitigation scheme with quantum algorithms, current quantum devices could be of practical use for the prediction of the properties of interest. Since the state tomography purification approach used in our proposed scheme can be extended to systems requiring large number of qubits by purifying the quantum state using a computationally inexpensive iterative approach24, or by applying quantum principal component analysis25, or variational quantum state diagonalization26, we believe that the extension of our proposed scheme will, in principle, be well suited for the calculation of other TADF properties such as the energy of higher singlet and triplet excited states and their spin-orbit coupling, which requires the use of a much larger active space. Moreover, our proposed scheme can also be utilized for the calculation of other organic electronic and optical materials. By contrast, the use of the Full CI method is prohibitive for such simulations on classical hardware.
Results and discussion
Descriptions of the VQE, qEOM-VQE, and VQD algorithms
In the VQE method4, the ground state energy of a given molecular Hamiltonian \(\hat{H}\) is calculated by minimizing the mean energy, E(θ),
where Ψ(θ) is a parameterized Ansatz state,
with \(\hat{U}(\theta )\) the unitary operator of the quantum circuit, and \(\left|{{\Psi }}({\theta }_{0})\right\rangle\) the initial state, which is, in most cases, set to the Hartree–Fock configuration. In order to obtain the value of E(θ) on quantum computer, the molecular Hamiltonian \(\hat{H}\) is written as a spin-based Hamiltonian,
in which every Hamiltonian term \({\hat{P}}_{i}\), comprising a Pauli tensor product, {I, X, Y, Z}, is multiplied by the corresponding Hamiltonian coefficient, hi. Parameters θ are updated using classical optimization techniques in order to minimize E(θ) toward the ground state energy.
The first excited state provided by the VQD algorithm8 is calculated by minimizing the cost function
where Ψ0 is the ground state from VQE calculation and β0 is a suitably chosen weighting parameter6. The second term, called the overlap term, denotes a state that minimizes the energy under the constraint that \(\left|{{\Psi }}(\theta )\right\rangle\) is orthogonal to the ground state. After the first excited state is obtained, the second excited state is calculated by minimizing the cost function which is similar to that of the calculation of the first excited state but includes one additional overlap term,
where Ψ1 is the first excited state from a VQD calculation. This procedure can be repeated to compute further higher excited states.
The qEOM-VQE algorithm7 is similar to the conventional EOM-CCSD method27. The energy differences between excited states and the ground state, ωn, are calculated by diagonalizing the EOM Hamiltonian,
where \({\hat{O}}_{n}\) is an operator transforming the reference configuration to nth excited state configuration, which is expanded in the excitation \(\{{\hat{\eta }}_{\alpha }^{\dagger }\}\) and adjoint de-excitation \(\{{\hat{\eta }}_{\alpha }\}\) pseudo-bosonic operators up to the double excitation as in the following equations,
where each basis operator is constructed as a product of creation and annihilation Fermi operators, which excites electron(s) from occupied spin-orbital(s) to unoccupied spin orbitals and, vice versa during de-excitation. The Hamiltonian and the metric matrices are transformed into the Pauli basis, which are computed using the ground state obtained from VQE as the reference state. The ωn are then obtained from the classical diagonalization of the corresponding eigenvalue equation.
Calculations with the statevector simulator
The energies of the S0, S1, and T1 states calculated by exact diagonalization (i.e. a full CI calculation for the chosen HOMO and LUMO active space), and Ry methods using qEOM-VQE and VQD algorithms with the STO-3G and 6-31G(d) basis sets on the statevector simulator are shown in Fig. 3.
Energies of a PSPCz, b 2F-PSPCz, and c 4F-PSPCz ground and excited states from exact diagonalization, qEOM and VQD calculations with the statevector simulator using the STO-3G (represented by bars) and 6-31G(d) basis sets (represented by circles). d Correlations between ΔEST from spectra experiments and exact diagonalization, qEOM-VQE and VQD calculations on the statevector simulator using the STO-3G and 6-31G(d) basis sets.
Similar results are predicted by the use of Ry with the qEOM-VQE and VQD algorithms for the energies of the S0 state due to the fact that both algorithms use the VQE method to the 0th approximation for the ground state.
Although qEOM-VQE and VQD use different strategies to calculate excited states, both predict very similar energies for the S1 and T1 states. Both qEOM-VQE and VQD calculations predict energies that reproduce those predicted by exact diagonalization. These results imply that both the qEOM-VQE and VQD algorithms can accurately predict of excited state energies of TADF emitters.
As suggested by the data in Fig. 3, predicted excited state energies are basis set dependent. The S1 state is increasingly lowered by increasing the number of fluorine substituents contained in phenylcarbazole on going from PSPCz to 2F-PSPCz and then to 4F-PSPCz for the STO-3G basis set. Interestingly, while the energy of the T1 state increases by changing from PSPCz to the more electron-deficient 2F-PSPCz containing two fluorine substituents, the energy of this state is unresponsive when changing from 2F-PSPCz to the even more electron-deficient 4F-PSPCz.
In contrast, very different behavior was observed for simulations involving the 6-31G(d) basis set. The energies of both the S1 and T1 states are lowered by changing from PSPCz to 2F-PSPCz, while the energy of the T1 state is raised for 4F-PSPCz in comparison to 2F-PSPCz. Notably, the ΔEST gaps calculated by using the STO-3G basis set for computations on PSPCz, 2F-PSPCz, and 4F-PSPCz are predicted to be 2.54 eV (93 mHa), 1.08 eV (41 mHa) and 0.25 eV (9 mHa), respectively. These are much larger than relative energies predicted by using the 6-31G(d) basis set which are 0.86 eV (31 mHa), 0.50 eV (18 mHa) and 0.0055 eV (0.2 mHa), respectively.
Direct comparison between laboratory experiments and simulations can be obtained by comparing the ΔEST obtained from fluorescence spectra measured at room temperature and phosphorescence spectra measured at 77 K20 with values predicted by exact diagonalization and with Ry used with the qEOM-VQE and VQD algorithms. As shown in Fig. 3d, although ΔEST gaps predicted by calculations with STO-3G provide good correlation with values obtained from experiments, the predictions are approximately an order of magnitude larger than those found in the experiment. Much better agreement can be observed between values calculated with 6-31G(d) and experimental data, with calculations predicting energies that are ~0.4 eV (15 mHa) larger than experimental values. Note that the experimental value of ΔEST for 4F-PSPCz is −0.4 eV (−15 mHa); this could be due to the fact that the energies of S1 and T1 were experimentally determined at different temperatures.
Note that when S1 and T1 are well-described by the HOMO-LUMO excitation, T1 has covalent character and S1 has ionic character, and, consequently, smaller comparative dynamic electron correlation (i.e. the correlation between the active and inactive space). Therefore, the energy gap between T1 and S1 without dynamic electron correlation (for example, as represented by CI singles) should be larger than the exact value. Although the dynamic correlation is missing from the computational model used in this study, we believe that quantitatively reliable predictions of ΔEST are obtained by our approach because of the energetically close dynamic correlation contributions in the T1 and S1 states of the chemically similar TADF molecules. Moreover, the excellent linear correlation between the calculated and experimental ΔEST also indicates the reliability of the computational model.
Overall, these results demonstrate that quantum computations performed with the qEOM-VQE or VQD algorithms utilizing the Ry Ansatz and the 6-31G(d) basis set on the HOMO-LUMO active space is an adequate method for predicting the ΔEST of the PSPCz molecules of interest.
Description of the readout mitigation and state tomography techniques
An adequate error mitigation approach must be applied to obtain an accurate ground state for use as a reference state to accurately compute excited state energies on a quantum device with the qEOM-VQE and VQD algorithms. Here we have applied the readout error mitigation and quantum state tomography techniques to ground states computed with VQE. This was followed by an examination of energies and the optimized θ parameters of the Ry Ansatz to determine whether results yielded by mitigation approaches are in good agreement with those generated by exact diagonalization.
For simplicity, we have used a 2 qubit system here to illustrate how we have applied readout error mitigation and quantum state tomography techniques to the molecular Hamiltonian of Eq. (3). The readout mitigation approach implemented in Qiskit involves measurement of the expectation values of every Pauli term in the molecular Hamiltonian, a 2 qubit circuit was first defined and states \(\left|00\right\rangle ,\left|01\right\rangle ,\left|10\right\rangle\) and \(\left|11\right\rangle\) were prepared on the quantum device. The measurement results from the basis states \(\left|00\right\rangle ,\left|01\right\rangle ,\left|10\right\rangle\) and \(\left|11\right\rangle\) was then used to define a matrix, M, which rotates from an ideal set of counts to one affected by measurement noise. This is done by simply taking the measurement counts results for \(\left|00\right\rangle\), normalizing it so that all elements sum to one, and then using it as the first column of the matrix M.
The next column is similarly defined by the counts obtained for \(\left|01\right\rangle\), and so on. The measurement error is reduced by assuming that Cideal is the measurement result without noise and Cnoisy is approximately equal to applying M−1 to the results of the measurement of the expectation values of every Pauli term as shown in the following equation
To apply state tomography to the molecular Hamiltonian, we first obtained the density matrix, ρfinal, by performing state tomography on the final results from the VQE calculation. This requires 16 Pauli elements (i.e. σμ ⊗ σν, σμ, σν ∈ {I, X, Y, Z} for a 2 qubit system. Since I and Z commute, the expectation values for Pauli elements which include I and Z operators can be evaluated from a single measurement and consequently, the 16 Pauli elements can be divided into nine sub-groups, i.e. {I ⊗ I, I ⊗ Z, Z ⊗ I, Z ⊗ Z}, {I ⊗ X, Z ⊗ X}, {X ⊗ I, X ⊗ Z}, {I ⊗ Y, Z ⊗ Y}, {Y ⊗ I, Y ⊗ Z}, {X ⊗ X}, {X ⊗ Y} and {Y ⊗ X}. Next, by diagonalizing this density matrix of ρfinal, we obtain the eigenstate \(\left|{\lambda }_{0}\right\rangle\) corresponding to the dominant eigenvalue, λ0, which indicates the purity of the quantum state of ρfinal. Finally, the energy calculated at the final VQE step is corrected as \(\left\langle {\lambda }_{0}\right|\hat{H}\left|{\lambda }_{0}\right\rangle\). Moreover, \(\left|{\lambda }_{0}\right\rangle\) can be used to correct the values of θ in the corresponding Ψ(θ) by assuming that
qEOM-VQE calculations on the ibmq_boeblingen quantum device
The energies of the S0 ground states of the PSPCz, 2F-PSPCz, and 4F-PSPCz molecules computed with the Ry Ansatz using the VQE algorithm on the ibmq_boeblingen device, with and without error mitigation approaches, are shown in Fig. 4a–c. VQE calculations without error mitigation yields energies that are about 13 mHa higher than exact values. This difference is improved to about 6 mHa by the use of readout error mitigation. The use of quantum state tomography yields energies that are within 1 mHa of the exact values and is, therefore an even more accurate approach than readout error mitigation.
Energies of the a S0, b T1, and c S1 states predicted by VQE and qEOM-VQE on ibmq_boeblingen in comparison to exact diagonalization. d Correlations between ΔEST for the PSPCz molecules from spectral experiments and qEOM-VQE calculations with the Ry Ansatz using the 6-31G(d) basis set. (nm non-mitigated, rom readout error mitigation, qst quantum state tomography).
These results suggest that errors generated by performing noisy VQE calculations arise from a combination of readout error and decoherence noise. While readout error can be reduced by application of either readout error mitigation and quantum state tomography, the decoherence noise (which is mainly due to depolarization) can only be corrected by quantum state tomography.
We also undertook an examination of the effect of error mitigation approaches on the accuracy of excited state energies predicted by the use of the Ry Ansatz with the qEOM-VQE algorithm for the carbazoles of interest to this study. Figure 4a–c and Table I (Supplementary Information) show that energies of excited states obtained from qEOM-VQE/Ry without error mitigation approaches are 3, 5, and 17 mHa larger than energies obtained by exact diagonalization for the PSPCz, 2F-PSPCz, and 4F-PSPCz molecules, respectively. These results indicate that the qEOM-VQE algorithm overestimates the energies of S1 or T1 states without error mitigation being applied.
Note that in particular, when the energies of the S1 and T1 states are almost identical as exemplified by 4F-PSPCz, the deviation of the predicted energy of S1 from the exact value is much larger than that exhibited by PSPCz and 2F-PSPCz, for differences in ΔEST are larger. This is due to the fact that when excited states are almost degenerate, the accuracy of predicting the corresponding excited state becomes very sensitive to the value of the matrix elements in the qEOM eigenvalue equation in Eq. (6) since it approaches zero.
When readout error mitigation is applied to the ground state computed with VQE alone without application to measurements of the matrix elements provided by the EOM, only marginal improvement is observed for the error of the energy computed for 2F-PSPCz, but the errors increase for calculations involving PSPCz and 4F-PSPCz. In contrast, applying readout error mitigation to both the energy of ground state computed with VQE/Ry and to measurements of the matrix elements provided by EOM improves the accuracy of excited state energies compared to calculations without readout error mitigation.
Notably, the largest observed difference between the excited state energy computed by the qEOM-VQE algorithm and by exact diagonalization was 17 mHa, found for calculations involving 4F-PSPCz; this value improves to 1 mHa after inclusion of readout error mitigation to both the VQE and qEOM-VQE calculations involving the ground and excited states, respectively. These results suggest that failure to accurately compute values of the matrix elements of the EOM is one of the main factors that contribute to the deviation of qEOM-VQE excited state energies from those predicted by exact diagonalization.
The best predictions of excited state energies were found by applying quantum state tomography techniques to obtain an accurate ground state from VQE calculations, and then applying this reference state to the readout error mitigated measurement of the matrix elements of the EOM for the excited states obtained from the qEOM-VQE algorithm. This procedure results in energies that are within 3 mHa of those obtained by the use of exact diagonalization.
These are emphasized by comparison of the ΔEST of the PSPCz molecules obtained from qEOM-VQE calculations performed on ibmq_boeblingen with results obtained from laboratory experiments (Fig. 4d and Table S1). For calculations performed without error mitigation approaches, good agreement was observed between experiment and computational predictions involving PSPCz and 2F-PSPCz, but a larger value of ΔEST was predicted for 4F-PSPCz than was found in experiment. Unfortunately, the use of readout error mitigation for the VQE calculation of the ground state did not result in improvement of the predicted ΔEST of any of the phenylcarbazole molecules. However, a much better prediction of the ΔEST was obtained by applying readout error mitigation to the measurements of the matrix elements of the EOM.
This conclusion is further bolstered by the fact that the application of quantum state tomography techniques to ground states predicted by VQE resulted in excellent agreement between computational predictions of ΔEST and experiments for all the examined PSPCz molecules. Overall, these results indicate that the best results are obtained by applying quantum state tomography techniques to the ground state computed with VQE and applying readout error mitigation to the measurements of the matrix elements of the EOM for qEOM-VQE computations of excited states.
Although both protocols involving the application of readout error mitigation and state tomography techniques to the molecular Hamiltonian can be easily extended to the n qubit system, performing state tomography requires 3n circuit measurements in the Pauli basis while performing readout mitigation requires construction of a calibration matrix by using all the circuit measurements of 2n basis states. We note that elegant methods have recently been proposed to address the issue that the computational cost of the number of measurements grows rapidly with the qubit size. For example, a method based on the correlated Markovian noise model can maximally reduce the number of circuit measurements to n + 2 in order to construct the calibration matrix for readout mitigation28. In addition, a method can be applied to reduce the number of circuit measurements of state tomography from order M to \({\mathrm{log}}\,(M)\) by using the mathematical theory of unitary t-design to produce the quantum state from random sampled measurements29. Finally, a method has been proposed to lower the number of circuit measurements of state tomography by exploiting symmetries of the quantum state30.
VQD calculations on ibmq_singapore
Using the VQD method for calculating excited states of tested TADF emitters on the statevector simulator shows great promise, but, in principle, such VQD calculations are fundamentally limited when using quantum devices due to the fact that the device noise influences the overlap term required for excited state computation, as well as the molecular Hamiltonian term used to calculate the energy of excited states. The following illustrates severe limitations in computing overlap and molecular Hamiltonian terms for the TADF molecules on quantum devices, and how error mitigation approaches overcome these limitations.
Figure 5 and Table S1 compares excited state energies of 2F-PSPCz using VQD calculation protocols using reference states obtained by purifying VQD results with quantum state tomography and those left unpurified.
The values of the overlap term for the first excited state, T1, with unpurified and purified reference states converges to similar values, ~ 0.04, indicating that VQD satisfactorily computes the excited state. On the other hand, the excited state energy obtained by the calculation using the unpurified reference state shown in Fig. 5a is 20 mHa higher than the exact value, in contrast to that obtained by using the purified reference state shown in Fig. 5b which is only 8 mHa higher.
These results indicate that the excited state computed by using the purified reference state possesses more fidelity with the ground state than that obtained by using the unpurified reference state. Moreover, as shown in Fig. 5c, the use of the unpurified reference state leads to energies of the second excited state, S1, that can be as large as 88 mHa higher than the exact energies obtained with FCI, whereas Fig. 5d shows that the use of the purified reference state results in S1 energies that are only 12 mHa larger than the exact energies. These results show that a large overlap term can lead to large errors for calculations involving quantum states that have not been purified by quantum state tomography.
Further analyses of the profiles based on their initial behavior shows differences that are dependent on the initial starting state. Figure 5a and b show that the energy profiles derived from simulation of the T1 state using purified and unpurified reference states are initially quite similar. In contrast, the energy profile derived from simulation of the S1 state by using the purified reference state in Fig. 5d is initially closer to the exact value of the T1 state in comparison to simulation of the S1 state by using the unpurified reference state shown in Fig. 5c. This difference is due to the fact that the energy profiles of the T1 and S1 states computed by the VQD algorithm are initially computed using the S0 and T1 states, respectively. Figure 5a and b were computed by using S0 as the initial state comprised of a Hamiltonian without an overlap term. In contrast, the energy profile shown in Fig. 5d was computed by using T1 as the initial state comprising a Hamiltonian with overlap term and that in Fig. 5c was not. Since the overlap term greatly influences the calculation of T1, the energy at the beginning of VQD is different for Fig. 5c and d. However, since there is no overlap term for calculations of the energy profiles of S0, the energy at the beginning of VQD is very similar for Fig. 5a and b. These results indicate that for calculations of higher-lying excited states, the energy differences between the initial state obtained from VQD calculations using purified and unpurified reference states will become even larger.
Analysis of the data in Fig. 5a–c also suggests that the accuracy of VQD calculations may be invariant to changes in the level of excited state when quantum states purified by quantum tomography are used, which supports our contention that quantum states purified by quantum state tomography are very close to the exact state.
Next, we used the purified reference state to investigate excited state energies estimated by the molecular Hamiltonians of PSPCz, 2F-PSPCz, and 4F-PSPCz as shown in Fig. 6a–c and Table S1. Without error mitigation, device noise causes the energies of computed excited states to deviate from exact values by 8, 12, and 15 mHa for PSPCz, 2F-PSPCz, and 4F-PSPCz, respectively. Error mitigation using state tomography improves these deviations to 0, 2, and 4 mHa for PSPCz, 2F-PSPCz, and 4F-PSPCz, respectively, signifying the effectiveness of this technique to correct errors obtained by using VQD.
Energies of the T1 and S1 excited states (shown in red and blue, respectively) of (a) PSPCz, (b) 2F-PSPCz, and (c) 4F-PSPCz obtained from VQD calculations on ibmq_singapore in comparison to predictions by exact diagonalization. d Correlations between ΔEST from spectral experiments and VQD calculations with the Ry Ansatz on ibmq_singapore using the 6-31G(d) basis set. (nm non-mitigated; qst quantum state tomography; H: Hamiltonian).
Figure 6d shows comparisons of ΔEST from experimental data with results computed with VQD. These results demonstrate that unmitigated results deviate from experiment. For example, the experimental ΔEST gaps follow the trend: PSPCz > 2F-PSPCz > 4F-PSPCz, whereas the computed ΔEST exhibits the following order: 2F-PSPCz > PSPCz > 4F-PSPCz. On the other hand, when state tomography is used, computed ΔEST gaps were found to be in good agreement with the experimental data. These results suggest that VQD calculations that utilize the state tomography technique reliably predicts ΔEST of TADF emitters. Overall, the state tomography technique successfully calculates both overlap and molecular Hamiltonian terms on quantum devices to reproduce exact energies of excited states, and reliably predicts experimental values of ΔEST gaps.
Concluding statements
To summarize, excited states of three phenylsulfonyl-carbazole TADF emitters used in OLED display were investigated by qEOM-VQE and VQD calculations using an active space of HOMO and LUMO on the statevector simulator and IBM Quantum devices. Calculations performed with the qEOM-VQE and VQD algorithms on the statevector simulator accurately reproduced the results from exact diagonalization and provided reliable prediction of ΔEST which are in good agreement with experiments. These results show that the qEOM-VQE and VQD algorithms are accurate and can be reliably used to develop a fundamental understanding of the relation between structural variation and energies of excited states that could aid in the design of TADF emitters.
Results from qEOM-VQE and VQD calculations on IBM Quantum devices show that noise significantly limits the accuracy of predicted values of excited states. The excited energies were predicted to differ from exact values by as much as 16 and 88 mHa by simulations performed with the qEOM-VQE and VQD algorithms, respectively. A new practical scheme that utilizes quantum state tomography was used to calculate excited states on quantum devices. By using this scheme, excited state energies from both qEOM-VQE and VQD calculations could be computed that are within 4 mHa of energies obtained by exact diagonalization and the corresponding singlet-triplet gaps, ΔEST, are in good agreement with experimental data. We note that our work is the first validated study of excited states using the VQD method which is an extension of VQE. This work has highlighted the utility of evaluating excited states with state tomography on quantum devices.
Methods
Classical precomputations
Four computational steps were performed in order to evaluate the electronic transitions between the singlet and triplet excited states of the PSPCz molecules: (i) structural optimization on classical architecture, (ii) computation of ground state (GS) energies on quantum simulators and quantum devices utilizing the HOMO-LUMO active space, (iii) error mitigation applied to ground state energies obtained from quantum devices, and (iv) computation of the first singlet and triplet excited states (S1 and T1), using quantum simulators and quantum devices.
Optimized geometries of the first triplet excited state (T1) of all PSPCz molecules were generated using time-dependent DFT (TDDFT) routines contained in the Gaussian 16 computational suite of programs31 with the CAM-B3LYP/6-31G(d) method and basis set. To avoid the instability of the excited states calculation in TDDFT, the Tamm-Dancoff approximation (TDA)32, which has been reported to be accurate for the calculation of singlet and triplet excited states of a wide range of organic molecular systems33,34 was employed for all TDDFT calculations. For the sake of simplicity, the optimized geometries of the T1 excited states were used for both the S1 and T1 excited states based on the fact that the HOMO-LUMO overlap (i.e. exchange integral) in TADF molecules is so small that the properties of the S1 and T1 states should be quite similar, except for the spin component, and the structures of these excited states should also be similar.
The HOMO and LUMO were chosen as the active space for calculating the ground state (S0), and S1 and T1 excited states of the PSPCz molecules because these orbitals are spatially fairly well-separated21 as shown in Fig. 2, and both the S1 and T1 states can be well described by a transition arising from the HOMO, with atomic orbitals localized on the carbazole moiety, to the LUMO, with atomic orbitals localized on the diarylsulfone (ArSO2Ar-) moieties. Moreover, TDDFT calculations indicated that transitions from the ground state to the S1 and T1 states are dominated by excitations from the HOMO to the LUMO indicating that using an active space comprising the HOMO and LUMO can provide a reasonable description of the transitions, in agreement with previous studies21.
With the HOMO and LUMO orbitals selected, the vector in the configurational interaction space of the molecular Hamiltonian consists of four configurations: (i) the singly excited state, (ii) the Hartree–Fock reference state, (iii) the doubly excited state, and (iv) the singly excited state, which is the spin-swapped counterpart of (i). Through application of the particle-hole Hamiltonian transformation, two-qubit reduction, and parity transformation, we obtain a spin-based molecular Hamiltonian \(\hat{H}\), which is represented as
where {I, X, Y, Z} are the Pauli tensor product and h is the corresponding Hamiltonian coefficient. The values of the latter quantities for each TADF molecule are provided in Table S2 in the Supplementary Information. The S1 and T1 states are obtained by the exact diagonalization of the active space Hamiltonian. Calculations that follow reproduce the results of exact diagonalization by using different quantum algorithms and error mitigation techniques on the quantum simulator and on the quantum device.
Quantum simulations
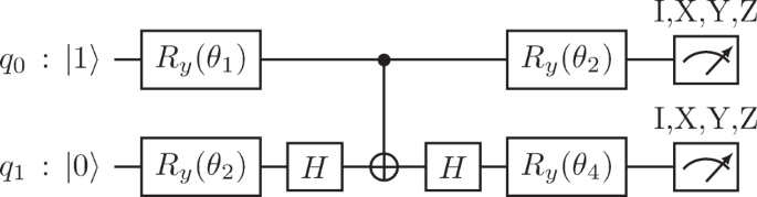
Calculations were performed to obtain ground state energies on quantum simulators and devices by utilizing the VQE algorithm and the Ry heuristic Ansatz with a circuit depth equal to 1 comprising a circuit as shown in Fig. 7. Energies were computed using the STO-3G minimal basis set and the split-level double zeta basis set 6-31G(d). The parity mapping technique35 which allows the number of qubits to be reduced by two, was used to map molecular spin-orbitals to qubits. The Aqua module contained in Qiskit version 0.1436 with an interface to the PySCF37 program was used for all VQE calculations.
Those simulations were performed with the statevector simulator contained in the Aer module of Qiskit which simulates the ideal execution of a quantum circuit without the presence of noise, and with the 20 qubit ibmq_boeblingen and ibmq_singapore quantum devices. The statevector simulator computes wave functions and expectation values exactly, by means of linear algebra operations. The Sequential Least SQuares Programming (SLSQP) method38, which uses the exact gradient for energy minimization and has been found to provide accurate predictions without noise present39, was used for calculations using the statevector simulator. The Simultaneous Perturbation Stochastic Approximation (SPSA) method40,41, which is a good optimizer in the presence of noise42, was used for calculations on quantum devices.
The readout error mitigation and quantum state tomography techniques provided in Qiskit were used to mitigate errors in the generation of variational parameters, θ, and ground-state energies. The four basis states of the two-qubit system were measured for the readout error mitigation technique. A vector with the probability for the four basis states was created for every measurement, and the combination of all four-vectors resulted in the formation of a 4 × 4 matrix from which a calibration matrix was generated by least-squares fitting. The calibration matrix was applied to the measurement of Pauli terms in the VQE calculation to correct the energy value of ground state. The values of θ in Ry were then calculated using a classical optimizer.
The ground state energy in the quantum state tomography technique is refined by computing the expectation value of the Hamiltonian with respect to the obtained pure state. Equation (10) assumes that θ values of Ry, corresponding to the purified ground state, were determined by fitting the vector of the Ansatz to the purified maximum eigenstate. Figure 7 shows that the Ry circuit for the two-qubit system produces an output state that can be represented as a linear combination of the four basis states \(\left|00\right\rangle\), \(\left|01\right\rangle\), \(\left|10\right\rangle\) and \(\left|11\right\rangle\), with coefficients given by Eqs. (1)–(4) of the Supplementary Information.
Note that 300 iterations were performed without error mitigation prior to application of the readout error mitigation or quantum state tomography techniques to obtain a quantum state which is close to the ground state generated without noise. Optimized parameters obtained from VQE without error mitigation was used as the initial state for VQE calculations combined with readout error mitigation, and the optimized wavefunction was determined by using previously published protocols42. The optimized wavefunction obtained from the use of quantum state tomography was determined by using the density matrix of the final result obtained from VQE without error mitigation contained in the tomography module of the Ignis element of Qiskit.
The optimized wavefunction found by application of the readout error mitigation and quantum state tomography techniques to ground states computed with VQE were used to compute the energies of the S1 and T1 excited states by the use of the qEOM-VQE7 and VQD8,39 algorithms. The values of matrix elements of the EOM (equation of motion) were computed on quantum devices using the qEOM-VQE algorithm with the GS obtained from VQE as the reference state. The matrix was then diagonalized on a classical computer and the first and second eigenvalues regarded as the energies of the T1 and S1 states relative to the S0 ground state. qEOM-VQE calculations were performed using the statevector simulator and on the ibmq_boeblingen quantum device.
VQD calculations were performed using the statevector simulator and on the ibmq_singapore quantum device. For VQD calculations using the statevector simulator, the T1 and S1 states were specified by adding the expectation value of the total spin \(\left\langle {{\Psi }}(\theta )\right|{\hat{S}}^{2}\left|{{\Psi }}(\theta )\right\rangle\) as a penalty term to the cost function39 and the ground state obtained from VQE used as both the initial state and the reference state. However, this penalty term was not used for VQD calculations on quantum devices due to the effect of noise on the accuracy of predicted expectation values. Instead, the GS obtained from VQE was used as the initial reference state as usual, to perform a VQD calculation to obtain the first excited state, T1, which was in turn used as the initial state, and then both S0 and T1 were used as reference states in another VQD calculation to obtain the second excited state, S1. We note the computational cost of measurement can be further reduced by using spin symmetry to simplify the wave functions which was proposed in the literature30.
Data availability
All data necessary to support the findings of this study are available in the Supplementary Information. Further data can be made available from Q.G.
Code availability
The examples reported in this work use the open-source Qiskit software https://qiskit.org. The simulations have utilized Python codes collected in this link https://github.com/mariomotta/qc_TADF_OLED.git
References
Kühn, M., Zanker, S., Deglmann, P., Marthaler, M. & Weiß, H. Accuracy and resource estimations for quantum chemistry on a near-term quantum computer. J. Chem. Theory Comput. 15, 4764–4780 (2019).
Abrams, D. S. & Lloyd, S. Quantum algorithm providing exponential speed increase for finding eigenvalues and eigenvectors. Phys. Rev. Lett. 83, 5162 (1999).
Aspuru-Guzik, A., Dutoi, A. D., Love, P. J. & Head-Gordon, M. Simulated quantum computation of molecular energies. Science 309, 1704–1707 (2005).
Peruzzo, A. et al. A variational eigenvalue solver on a photonic quantum processor. Nat. Commun. 5, 1–7 (2014).
Kandala, A. et al. Hardware-efficient variational quantum eigensolver for small molecules and quantum magnets. Nature 549, 242–246 (2017).
Gao, Q. et al. Computational investigations of the lithium superoxide dimer rearrangement on noisy quantum devices. J. Phys. Chem. A 125, 1827–1836 (2021).
Ollitrault, P. J. et al. Quantum equation of motion for computing molecular excitation energies on a noisy quantum processor. Phys. Rev. Res. 2, 043140 (2020).
Higgott, O., Wang, D. & Brierley, S. Variational quantum computation of excited states. Quantum 3, 156 (2019).
Uoyama, H., Goushi, K., Shizu, K., Nomura, H. & Adachi, C. Highly efficient organic light-emitting diodes from delayed fluorescence. Nature 492, 234–238 (2012).
Zhang, Q. et al. Design of efficient thermally activated delayed fluorescence materials for pure blue organic light emitting diodes. J. Am. Chem. Soc. 134, 14706–14709 (2012).
Lee, S. Y., Yasuda, T., Yang, Y. S., Zhang, Q. & Adachi, C. Luminous butterflies: efficient exciton harvesting by benzophenone derivatives for full-color delayed fluorescence OLEDs. Angew. Chem. Int. 53, 6402–6406 (2014).
Zhang, Q. et al. Efficient blue organic light-emitting diodes employing thermally activated delayed fluorescence. Nat. Photonics 8, 326–332 (2014).
Wong, M. Y. & Zysman-Colman, E. Purely organic thermally activated delayed fluorescence materials for organic light-emitting diodes. Adv. Mater. 29, 1605444 (2017).
Liu, Y., Li, C., Ren, Z., Yan, S. & Bryce, M. R. All-organic thermally activated delayed fluorescence materials for organic light-emitting diodes. Nat. Rev. Mater. 3, 1–20 (2018).
Olivier, Y., Moral, M., Muccioli, L. & Sancho-García, J.-C. Dynamic nature of excited states of donor–acceptor TADF materials for OLEDs: how theory can reveal structure–property relationships. J. Mater. Chem. C 5, 5718–5729 (2017).
de Silva, P., Kim, C. A., Zhu, T. & Van Voorhis, T. Extracting design principles for efficient thermally activated delayed fluorescence (TADF) from a simple four-state model. Chem. Mater. 31, 6995–7006 (2019).
Hait, D., Zhu, T., McMahon, D. P. & Van Voorhis, T. Prediction of excited-state energies and singlet–triplet gaps of charge-transfer states using a restricted open-shell Kohn–Sham approach. J. Chem. Theory Comput. 12, 3353–3359 (2016).
Shao, S. et al. Blue thermally activated delayed fluorescence polymers with nonconjugated backbone and through-space charge transfer effect. J. Am. Chem. Soc. 139, 17739–17742 (2017).
Sanz-Rodrigo, J., Olivier, Y. & Sancho-García, J.-C. Computational studies of molecular materials for unconventional energy conversion: the challenge of light emission by thermally activated delayed fluorescence. Molecules 25, 1006 (2020).
Oki, K. O. et al. Composition for forming OLED element, and OLED element. Patent WO/2019/009307 (2019).
Endo, A. et al. Efficient up-conversion of triplet excitons into a singlet state and its application for organic light emitting diodes. Appl. Phys. Lett. 98, 42 (2011).
Nakanishi, K. M., Mitarai, K. & Fujii, K. Subspace-search variational quantum eigensolver for excited states. Phys. Rev. Res. 1, 033062 (2019).
Parrish, R. M., Hohenstein, E. G., McMahon, P. L. & Martínez, T. J. Quantum computation of electronic transitions using a variational quantum eigensolver. Phys. Rev. Lett. 122, 230401 (2019).
McWeeny, R. Some recent advances in density matrix theory. Rev. Mod. Phys. 32, 335 (1960).
Lloyd, S., Mohseni, M. & Rebentrost, P. Quantum principal component analysis. Nat. Phys. 10, 631–633 (2014).
LaRose, R., Tikku, A., O’Neel-Judy, É., Cincio, L. & Coles, P. J. Variational quantum state diagonalization. npj Quantum Inf. 5, 1–10 (2019).
Koch, H. & Jørgensen, P. Coupled cluster response functions. J. Chem. Phys. 93, 3333–3344 (1990).
Bravyi, S., Sheldon, S., Kandala, A., Mckay, D. C. & Gambetta, J. M. Mitigating measurement errors in multi-qubit experiments. Phys. Rev. A 103, 042605 (2021).
Huang, H.-Y., Kueng, R. & Preskill, J. Predicting many properties of a quantum system from very few measurements. Nat. Phys. 16, 1050–1057 (2020).
Smart, S. E. & Mazziotti, D. A. Lowering tomography costs in quantum simulation with a symmetry projected operator basis. Phys. Rev. A 103, 012420 (2021).
Frisch, M. et al. Gaussian 16, revision C. 01 (2016).
Trani, F. et al. Time-dependent density functional tight binding: new formulation and benchmark of excited states. J. Chem. Theory Comput. 7, 3304–3313 (2011).
Savin, A., Umrigar, C. J. & Gonze, X. Relationship of Kohn–Sham eigenvalues to excitation energies. Chem. Phys. Lett 288, 391–395 (1998).
Peach, M. J., Williamson, M. J. & Tozer, D. J. Influence of triplet instabilities in TDDFT. J. Chem. Theory Comput. 7, 3578–3585 (2011).
Bravyi, S. B. & Kitaev, A. Y. Fermionic quantum computation. Ann. Phys. 298, 210–226 (2002).
Aleksandrowicz, G. et al. Qiskit: An open-source framework for quantum computing. Zenodo (2019) https://doi.org/10.5281/zenodo.2562111.
Sun, Q. et al. PySCF: the Python-based simulations of chemistry framework. WIRES Comput. Mol. Sci 8, e1340 (2018).
Kraft, D. et al. A software package for sequential quadratic programming (Wiss. Berichtswesen d. DFVLR, 1988).
Ibe, Y. et al. Calculating transition amplitudes by variational quantum eigensolvers. Preprint at arXiv:2002.11724 (2020).
Spall, J. C. An overview of the simultaneous perturbation method for efficient optimization. Johns Hopkins APL Tech. Dig. 19, 482–492 (1998).
Spall, J. C. Adaptive stochastic approximation by the simultaneous perturbation method. In Proceedings of the IEEE Conference on Decision and Control, 4, 3872–3879 (1998).
Kandala, A. et al. Error mitigation extends the computational reach of a noisy quantum processor. Nature 567, 491–495 (2019).
Acknowledgements
Q.G., M.S., H.C.W., E.W., Y.O., H.N. and N.Y. acknowledge support from MEXT Quantum Leap Flagship Program Grant Number JP-MXS0118067285 and JP-MXS0120319794.
Author information
Authors and Affiliations
Contributions
Q.G. conceived the idea of this work. Q.G., T.K. and Y.O. developed the computational model to calculate TADF molecules on quantum computers. N.Y., H.N., M.S. and Q.G formulated the scheme for applying state tomography to the calculations on quantum devices. M.S., M.M. and Q.G. wrote Python codes for performing calculations using Qiskit. T.K. and E.W. performed calculations on classical computers. Q.G., H.C.W. and G.O.J. performed calculations on quantum simulators. M.S. and Q.G. performed experiments on quantum devices. Q.G. and G.O.J. supervised the work. G.O.J. wrote the manuscript and all authors contributed significantly to the continuous improvement of the manuscript.
Corresponding authors
Ethics declarations
Competing interests
The authors declare no competing interests.
Additional information
Publisher’s note Springer Nature remains neutral with regard to jurisdictional claims in published maps and institutional affiliations.
Supplementary information
Rights and permissions
Open Access This article is licensed under a Creative Commons Attribution 4.0 International License, which permits use, sharing, adaptation, distribution and reproduction in any medium or format, as long as you give appropriate credit to the original author(s) and the source, provide a link to the Creative Commons license, and indicate if changes were made. The images or other third party material in this article are included in the article’s Creative Commons license, unless indicated otherwise in a credit line to the material. If material is not included in the article’s Creative Commons license and your intended use is not permitted by statutory regulation or exceeds the permitted use, you will need to obtain permission directly from the copyright holder. To view a copy of this license, visit http://creativecommons.org/licenses/by/4.0/.
About this article
Cite this article
Gao, Q., Jones, G.O., Motta, M. et al. Applications of quantum computing for investigations of electronic transitions in phenylsulfonyl-carbazole TADF emitters. npj Comput Mater 7, 70 (2021). https://doi.org/10.1038/s41524-021-00540-6
Received:
Accepted:
Published:
DOI: https://doi.org/10.1038/s41524-021-00540-6









