Abstract
Purpose
Our aim is to compare foveal microvascular structure, foveal retinal thickness, and best-corrected visual acuity (BCVA) in children with a history of premature retinopathy (ROP) and healthy children. It is also evaluated whether microvascular structural changes in the course of ROP had resulted from treatment modalities of ROP or the disease itself.
Methods
This is a cross-sectional observational comparative study. Seventy-one children were analyzed in four different groups: children treated with bevacizumab (18), or laser (19) for ROP; or spontaneously regressed disease (18) and non-premature healthy children (16). We analyzed foveal avascular zone (FAZ) and vessel densities (VDs) of the superficial capillary plexus (SCP) and deep capillary plexus (DCP) at foveal and parafoveal region with optical coherence tomography angiography (OCT-A). Foveal thickness was measured by cross-sectional OCT. Correlations between FAZ area, foveal VD, central foveal thickness (CFT), BCVA, gestational age (GA), and birth weight (BW) were evaluated.
Results
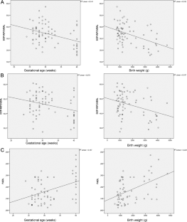
After comparing of OCT-A parameters between all premature children (groups 1–3) and non-premature children (group 4), significant differences were found in VD-SCP (whole), VD-SCP (foveal), VD-SCP (parafoveal), CFT, and VD-DCP (foveal) (all p < 0.001). Significantly smaller FAZ area was also noted in ROP children. Higher foveal VD of SCP, DCP, and smaller FAZ area were significantly associated with lower GA and BW.
Conclusion
By using OCT-A, significant foveal microvascular anomalies were identified in children with ROP irrespective of the treatment option or spontaneous regression. There has been a correlation between microvascular anomalies, CFT, and a lower BCVA.
This is a preview of subscription content
Access options
Subscribe to Journal
Get full journal access for 1 year
137,91 €
only 11,49 € per issue
Tax calculation will be finalised during checkout.
Buy article
Get time limited or full article access on ReadCube.
$32.00
All prices are NET prices.



References
Leng Y, Huang W, Ren G, Cai C, Tan Q, Liang Y, et al. The treatment and risk factors of retinopathy of prematurity in neonatal intensive care units. BMC Ophthalmol. 2018;18:301. https://doi.org/10.1186/s12886-018-0973-1.
Hellström A, Smith LE, Dammann O. Retinopathy of prematurity. Lancet. 2013;382:1445–57.
Multicenter trial of cryotherapy for retinopathy of prematurity. Preliminary results. Cryotherapy for Retinopathy of Prematurity Cooperative Group. Arch Ophthalmol. 1988;106:471–9.
Early Treatment For Retinopathy Of Prematurity Cooperative Group. Revised indications for the treatment of retinopathy of prematurity: results of the early treatment for retinopathy of prematurity randomized trial. Arch Ophthalmol. 2003;121:1684–94.
Wu WC, Kuo HK, Yeh PT, Yang CM, Lai CC, Chen SN. An updated study of the use of bevacizumab in the treatment of patients with prethreshold retinopathy of prematurity in taiwan. Am J Ophthalmol. 2013;155:150–8.
Hwang CK, Hubbard GB, Hutchinson AK, Lambert SR. Outcomes after intravitreal bevacizumab versus laser photocoagulation for retinopathy of prematurity: a 5-year retrospective analysis. Ophthalmology. 2015;122:1008–15.
Erol MK, Ozdemir O, Turgut Coban D, Bilgin AB, Dogan B, Sogutlu Sari E, et al. Macular findings obtained by spectral domain optical coherence tomography in retinopathy of prematurity. J Ophthalmol. 2014;2014:468653. https://doi.org/10.1155/2014/468653.
Villegas VM, Capó H, Cavuoto K, McKeown CA, Berrocal AM. Foveal structure-function correlation in children with history of retinopathy of prematurity. Am J Ophthalmol. 2014;158:508–12.
Yeo JH, Chung H, Kim JT. Swept-source optical coherence tomography angiography according to the type of choroidal neovascularization. J Clin Med. 2019;8:1272.
Lee WD, Devarajan K, Chua J, Schmetterer L, Mehta JS, Ang M. Optical coherence tomography angiography for the anterior segment. Eye Vis. 2019;6:4.
Park JJ, Soetikno BT, Fawzi AA. Characterization of the middle capillary plexus using optical coherence tomography angiography in healthy and diabetic eyes. Retina. 2016;36:2039–50.
Ashraf M, Nesper PL, Jampol LM, Yu F, Fawzi AA. Statistical model of optical coherence tomography angiography parameters that correlate with severity of diabetic retinopathy. Investig Ophthalmol Vis Sci. 2018;59:4292–8.
You QS, Wang J, Guo Y, Flaxel CJ, Hwang TS, Huang D, et al. Detection of reduced retinal vessel density in eyes with geographic atrophy secondary to age-related macular degeneration using projection-resolved optical coherence tomography angiography. Am J Ophthalmol. 2019;S0002-9394:30461–1. https://doi.org/10.1016/j.ajo.2019.09.004.
Mintz-Hittner HA, Knight-Nanan DM, Satriano DR, Kretzer FL. A small foveal avascular zone may be an historic mark of prematurity. Ophthalmology. 1999;106:1409–13.
Nonobe N, Kaneko H, Ito Y, Takayama K, Kataoka K, Tsunekawa T, et al. Optical coherence tomography angiography of the foveal avascular zone in children with a history of treatment requiring retinopathy of prematurity. Retina. 2019;39:111–7.
Takagi M, Maruko I, Yamaguchi A, Kakehashi M, Hasegawa T, Iida T. Foveal abnormalities determined by optical coherence tomography angiography in children with history of retinopathy of prematurity. Eye. 2019;33:1890–6.
Chen YC, Chen YT, Chen SN. Foveal microvascular anomalies on optical coherence tomography angiography and the correlation with foveal thickness and visual acuity in retinopathy of prematurity. Graefes Arch Clin Exp Ophthalmol. 2019;257:23–30.
Section on Ophthalmology American Academy of Pediatrics, American Academy of Ophthalmology, American Association for Pediatric Ophthalmology and Strabismus. Screening examination of premature infants for retinopathy of prematurity. Pediatrics. 2006;117:572–6.
Retinopathy of Prematurity Cooperative Group. Revised indications for the treatment of retinopathy of prematurity: results of the early treatment for retinopathy of prematurity randomized trial. Arch Ophthalmol. 2003;121:1684–94.
Lee YS, See LC, Chang SH, Wang NK, Hwang YS, Lai CC, et al. Macular structures, optical components, and visual acuity in preschool children after intravitreal bevacizumab or laser treatment. Am J Ophthalmol. 2018;192:20–30.
Engerman RL. Development of the macular circulation. Investig Ophthalmol Vis Sci. 1976;15:835–40.
Böhm MR, Hodes F, Brockhaus K, Hummel S, Schlatt S, Melkonyan H, et al. Is angiostatin involved in physiological foveal avascularity? Investig Ophthalmol Vis Sci. 2016;57:4536–52.
Lepore D, Quinn GE, Molle F, Baldascino A, Orazi L, Sammartino M, et al. Intravitreal bevacizumab versus laser treatment in type 1 retinopathy of prematurity: report on fluorescein angiographic findings. Ophthalmology. 2014;121:2212–9.
Mansukhani SA, Hutchinson AK, Neustein R, Schetzer J, Allen JC, Hubbard GB. Fluorescein angiography in retinopathy of prematurity: comparison of infants treated with bevacizumab to those with spontaneous regression. Ophthalmol Retina. 2019;3:436–43.
Falavarjani KG, Iafe NA, Velez FG, Schwartz SD, Sadda SR, Sarraf D, et al. Optical coherence tomography angiography of the fovea in children born preterm. Retina. 2017;37:2289–94.
Miki A, Yamada Y, Nakamura M. The size of the foveal avascular zone is associated with foveal thickness and structure in premature children. J Ophthalmol. 2019;2019:8340729. https://doi.org/10.1155/2019/8340729.
Balasubramanian S, Borrelli E, Lonngi M, Velez F, Sarraf D, Sadda SR, et al. Visual function and optical coherence tomography angiography features in children born preterm. Retina. 2018. https://doi.org/10.1097/IAE.0000000000002301.
Marmor MF, Choi SS, Zawadzki RJ, Werner JS. Visual insignificance of the foveal pit: reassessment of foveal hypoplasia as fovea plana. Arch Ophthalmol. 2008;126:907–13.
Provis JM, Dubis AM, Maddess T, Carroll J. Adaptation of the central retina for high acuity vision: cones, the fovea and the avascular zone. Prog Retin Eye Res. 2013;35:63–81.
Pakzad-Vaezi K, Keane PA, Cardoso JN, Egan C, Tufail A. Optical coherence tomography angiography of foveal hypoplasia. Br J Ophthalmol. 2017;101:985–8.
Author information
Affiliations
Corresponding author
Ethics declarations
Conflict of interest
The authors declare that they have no conflict of interest.
Additional information
Publisher’s note Springer Nature remains neutral with regard to jurisdictional claims in published maps and institutional affiliations.
Rights and permissions
About this article
Cite this article
Vural, A., Gunay, M., Celik, G. et al. Comparison of foveal optical coherence tomography angiography findings between premature children with ROP and non-premature healthy children. Eye 35, 1721–1729 (2021). https://doi.org/10.1038/s41433-020-01161-x
Received:
Revised:
Accepted:
Published:
Issue Date:
DOI: https://doi.org/10.1038/s41433-020-01161-x