Abstract
Background
Experienced weight stigma (EWS) is linked to adverse physical and mental health outcomes, including maladaptive health behaviors and attenuated weight loss in people with obesity. Limited research is available regarding the association between the age of onset and severity of obesity and lifetime experience of EWS among adults with obesity.
Methods
Cross-sectional survey data (n = 686) from a single-site academic obesity medicine program was analyzed, including demographics, anthropometric measures, and the Stigmatizing Situations Inventory (SSI-B). The median SSI-B score was used to dichotomize the EWS outcome variable. Crude associations were assessed by chi-square and logistic regression analyses. Multivariable logistic regression determined age-adjusted odds ratios (aOR) of EWS with body mass index (BMI) at age 18 years and peak BMI.
Results
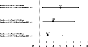
Participants had a mean age of 55.8 years (SD = 12.7), and the majority were female and white. EWS was correlated with BMI at age 18 years (r = 0.38; p = 0.001) and peak BMI (r = 0.48; p = 0.001) before and after adjustment. Those with severe obesity (BMI ≥ 40) by 18 years had 2.79 times higher odds (aOR = 2.79; 95% CI: 1.38, 5.62; p < 0.01) of severe EWS vs. those who developed severe obesity after 18 years; 2.17 higher odds [aOR = 2.17; 95% CI: 1.08, 4.35; p = 0.009] of severe EWS versus those with BMI < 40 at 18 years; 2.98 times higher odds [aOR = 2.98; 95% CI: 1.44, 6.15; p = 0.001] of severe EWS vs. those with BMI < 30 at 18 years; and 4.06 times higher odds [aOR = 4.06; 95% CI: 1.39, 6.73; p = 0.001] of severe EWS vs. those with BMI < 25 at 18 years.
Conclusion
Those with severe obesity before the age of 18 years were nearly 3 times more likely to report severe EWS than people who developed severe obesity later in life. Healthcare providers should consider screening for EWS in people with early onset of severe obesity, to identify those who may benefit from weight stigma interventions and support.
This is a preview of subscription content, access via your institution
Access options
Subscribe to this journal
Receive 12 print issues and online access
$259.00 per year
only $21.58 per issue
Buy this article
- Purchase on SpringerLink
- Instant access to full article PDF
Prices may be subject to local taxes which are calculated during checkout


Similar content being viewed by others
Data availability
The datasets used or analyzed in this study are available from the corresponding author upon reasonable request.
Code availability
The code used in this study is available from the corresponding author upon reasonable request.
References
Stierman B, Afful J, Carroll M, et al. National Health and Nutrition Examination Survey 2017–March 2020 Prepandemic Data Files—Development of Files and Prevalence Estimates or Selected Health Outcomes 2021. National Health Statistics Reports. June 14, 2021. Accessed July 23, 2024. https://www.cdc.gov/nchs/data/nhsr/nhsr158-508.pdf
Prevention CfDCa. FastStats: Obesity and Overweight Prevalences. 2023.
Rosen H. Is Obesity A Disease or A Behavior Abnormality? Did the AMA Get It Right? Mo Med. 2014;111:104–8.
Obesity Care Organizations Develop Consensus Statement. Academy of Nutrition and Dietetics. Accessed September 15, 2023. https://www.eatrightpro.org/about-us/for-media/press-releases/countrys-leading-obesity-care-organizations-develop-consensus-statement-on-obesity
Fouad MN, Waugaman KJ, Dutton GR. The Complex Contributors to Obesity-Related Health Disparities: Introduction to the Special Issue. Am J Prev Med. 2022;63:S1–S5.
Lee KM, Hunger JM, Tomiyama AJ. Weight stigma and health behaviors: evidence from the Eating in America Study. Int J Obes (Lond). 2021;45:1499–509.
Puhl RM, Lessard LM, Himmelstein MS, Foster GD. The roles of experienced and internalized weight stigma in healthcare experiences: Perspectives of adults engaged in weight management across six countries. PLoS One. 2021;16:e0251566.
Puhl RM, Heuer CA. The stigma of obesity: a review and update. Obes (Silver Spring). 2009;17:941–64.
Hatzenbuehler ML, Keyes KM, Hasin DS. Associations between perceived weight discrimination and the prevalence of psychiatric disorders in the general population. Obes (Silver Spring). 2009;17:2033–9.
Tomiyama AJ. Weight stigma is stressful. A review of evidence for the Cyclic Obesity/Weight-Based Stigma model. Appetite. 2014;82:8–15.
Verhaak AMS, Ferrand J, Puhl RM, Tishler DS, Papasavas PK, Umashanker D. Experienced weight stigma, internalized weight bias, and clinical attrition in a medical weight loss patient sample. Int J Obes (Lond). 2022;46:1241–3.
Puhl RM, Luedicke J. Weight-based victimization among adolescents in the school setting: emotional reactions and coping behaviors. J Youth Adolesc. 2012;41:27–40.
Rubino, Puhl F, Cummings DE RM, et al. Joint international consensus statement for ending stigma of obesity. Nat Med. 2020;26:485–97.
Prevention CfDCa. Defining Adult Overweight & Obesity. Accessed September 4, 2023. https://www.cdc.gov/obesity/basics/adult-defining.html#:~:text=If%20your%20BMI%20is%20less,falls%20within%20the%20obesity%20range.
Vartanian LR. Development and validation of a brief version of the Stigmatizing Situations Inventory. Obes Sci Pr. 2015;1:119–25.
Fulton M, Dandana S, Srinivasan V Obesity, Stigma, and Discrimination. 2023.
Puhl RM, Heuer CA. Obesity stigma: important considerations for public health. Am J Public Health. 2010;100:1019–28.
Simonsen C, Aminoff SR, Vaskinn A, et al. Perceived and experienced stigma in first-episode psychosis: A 1-year follow-up study. Compr Psychiatry. 2019;95:152134.
Puhl RM, Brownell KD. Confronting and coping with weight stigma: an investigation of overweight and obese adults. Obes (Silver Spring). 2006;14:1802–15.
Spooner C, Jayasinghe UW, Faruqi N, Stocks N, Harris MF. Predictors of weight stigma experienced by middle-older aged, general-practice patients with obesity in disadvantaged areas of Australia: a cross-sectional study. BMC Public Health. 2018;18:640.
Gmeiner MS, Warschburger P. Interrelation between weight and weight stigma in youth: is there evidence for an obesogenic vicious cycle? Eur Child Adolesc Psychiatry. 2023;32:697–704.
Lindberg L, Danielsson P, Persson M, Marcus C, Hagman E. Association of childhood obesity with risk of early all-cause and cause-specific mortality: A Swedish prospective cohort study. PLoS Med. 2020;17:e1003078.
Wang T, Dai B, Shi H, et al. Weight change across adulthood in relation to the risk of depression. Front Psychol. 2023;14:1108093.
Fryar C, Carroll M, Ogden C Prevalence of Overweight, Obesity, and Severe Obesity Among Children and Adolescents Aged 2–19 Years: United States, 1963–1965 Through 2015–2016. Centers for Disease Prevention and Control. Accessed December, 2023. https://www.cdc.gov/nchs/data/hestat/obesity_child_15_16/obesity_child_15_16.htm
Major B, Hunger JM, Bunyan DP, Miller CT. The ironic effects of weight stigma. J Exp Soc Psychol. 2014;51:74–80.
Vartanian LR, Shaprow JG. Effects of weight stigma on exercise motivation and behavior: a preliminary investigation among college-aged females. J Health Psychol. 2008;13:131–8.
Panza GA, Armstrong LE, Taylor BA, Puhl RM, Livingston J, Pescatello LS. Weight bias among exercise and nutrition professionals: a systematic review. Obes Rev. 2018;19:1492–503.
Sabin JA, Marini M, Nosek BA. Implicit and explicit anti-fat bias among a large sample of medical doctors by BMI, race/ethnicity and gender. PLoS One. 2012;7:e48448.
Robstad N, Westergren T, Siebler F, Söderhamn U, Fegran L. Intensive care nurses’ implicit and explicit attitudes and their behavioural intentions towards obese intensive care patients. J Adv Nurs. 2019;75:3631–42.
Diversi TM, Hughes R, Burke KJ. The prevalence and practice impact of weight bias amongst Australian dietitians. Obes Sci Pr. 2016;2:456–65.
Setchell J, Watson B, Jones L, Gard M, Briffa K. Physiotherapists demonstrate weight stigma: a cross-sectional survey of Australian physiotherapists. J Physiother. 2014;60:157–62.
Lawrence BJ, Kerr D, Pollard CM, et al. Weight bias among health care professionals: A systematic review and meta-analysis. Obes (Silver Spring). 2021;29:1802–12.
Hebl MR, Xu J. Weighing the care: physicians’ reactions to the size of a patient. Int J Obes Relat Metab Disord. 2001;25:1246–52.
Schwartz MB, Chambliss HO, Brownell KD, Blair SN, Billington C. Weight bias among health professionals specializing in obesity. Obes Res. 2003;11:1033–9.
Teachman BA, Brownell KD. Implicit anti-fat bias among health professionals: is anyone immune? Int J Obes Relat Metab Disord. 2001;25:1525–31.
Ferrante JM, Seaman K, Bator A, et al. Impact of Perceived Weight Stigma among Underserved Women on Doctor-Patient Relationships. Obes Sci Pr. 2016;2:128–35.
Puhl RM, Phelan SM, Nadglowski J, Kyle TK. Overcoming Weight Bias in the Management of Patients With Diabetes and Obesity. Clin Diabetes. 2016;34:44–50.
Talumaa B, Brown A, Batterham RL, Kalea AZ. Effective strategies in ending weight stigma in healthcare. Obes Rev. 2022;23:e13494.
Geller G, Watkins PA. Addressing Medical Students’ Negative Bias Toward Patients With Obesity Through Ethics Education. AMA J Ethics. 2018;20:E948–959.
Wiese HJ, Wilson JF, Jones RA, Neises M. Obesity stigma reduction in medical students. Int J Obes Relat Metab Disord. 1992;16:859–68.
Poustchi Y, Saks NS, Piasecki AK, Hahn KA, Ferrante JM. Brief intervention effective in reducing weight bias in medical students. Fam Med. 2013;45:345–8.
Durso LE, Latner JD. Understanding self-directed stigma: development of the weight bias internalization scale. Obes (Silver Spring). 2008;16:S80–6.
Dutton GR, Lewis TT, Durant N, et al. Perceived weight discrimination in the CARDIA study: differences by race, sex, and weight status. Obes (Silver Spring). 2014;22:530–6.
Spahlholz J, Baer N, König HH, Riedel-Heller SG, Luck-Sikorski C. Obesity and discrimination - a systematic review and meta-analysis of observational studies. Obes Rev. 2016;17:43–55.
Merrill RM, Richardson JS. Validity of self-reported height, weight, and body mass index: findings from the National Health and Nutrition Examination Survey, 2001-2006. Prev Chronic Dis. 2009;6:A121.
Hodge JM, Shah R, McCullough ML, Gapstur SM, Patel AV. Validation of self-reported height and weight in a large, nationwide cohort of U.S. adults. PLoS One. 2020;15:e0231229.
Author information
Authors and Affiliations
Contributions
DE, MC, LX, SM, and JA were involved in the design of the study, analysis, interpretation, writing, critical review, and final approval of the manuscript. CG and JF were involved in the writing, critical review, and final approval of the manuscript. JS, JG, GV and MM were involved in the design of study protocols, data collection, critical review, and final approval of the manuscript. AC was involved in the critical review and final approval of the manuscript.
Corresponding author
Ethics declarations
Competing interests
Dr. Jaime P. Almandoz has received advisory/consulting fees and/or other support from Novo Nordisk A/S, Boehringer Ingelheim, and Eli Lilly and Company. All other authors declare no competing financial interests.
Ethics approval and consent to participate
All methods included in this study were performed in accordance with relevant guidelines and regulations. The University of Texas Southwestern Medical Center Internal Review Board approved this study (IRB# STU-2022-0265), and informed consent was obtained from all participants.
Additional information
Publisher’s note Springer Nature remains neutral with regard to jurisdictional claims in published maps and institutional affiliations.
Supplementary information
Rights and permissions
Springer Nature or its licensor (e.g. a society or other partner) holds exclusive rights to this article under a publishing agreement with the author(s) or other rightsholder(s); author self-archiving of the accepted manuscript version of this article is solely governed by the terms of such publishing agreement and applicable law.
About this article
Cite this article
Ernest, D.K., Cali, M., Gazda, C. et al. The association of age of onset of obesity with experienced weight stigma in adulthood. Int J Obes (2025). https://doi.org/10.1038/s41366-025-01769-7
Received:
Revised:
Accepted:
Published:
DOI: https://doi.org/10.1038/s41366-025-01769-7


