Abstract
In healthy term human newborns a unique hemostatic balance exists with reduced plasma concentrations of several coagulant and anticoagulant proteins, including antithrombin III (AT III). In preterm newborns even lower AT III concentrations are observed, with an associated thromboembolic risk. As part of our study program on the gene regulation of AT III, we investigated whether the increase in plasma AT III activity during fetal and neonatal development is particularly controlled at the transcriptional level. Plasma AT III activity and liver AT III mRNA content between the 8th wk of gestation and the 4th wk after birth were determined in sheep. AT III activity gradually increased from 34% of the mean adult level at 8-10 wk of gestation to 86%(2.5-fold) at term (21 wk), and remained in the adult range after birth. The mean body weight, and thus plasma volume, increased 57-fold. Therefore, the total plasma AT III activity increased 140-fold. The total liver AT III mRNA content increased only 14-fold between these fetal stages, mainly due to increased liver weight. Therefore, the total plasma AT III activity increased 10-fold more than the liver AT III mRNA content. In the neonatal period between d 1-3 and 28, the total plasma AT III activity increased only 2-fold more than the liver AT III mRNA content. We conclude that the increase in plasma AT III activity during the fetal period, and similarly the neonatal period, is not regulated at the transcriptional level. Furthermore, a unique fetal isoform of AT III was detected in sheep. This isoform had a 2500-D higher molecular mass compared with the other fetal, neonatal, and adult AT III isoform, and disappeared from the circulation between d 2 and 7 after birth. These AT III isoforms differ in their carbohydrate moiety.
Main
AT III belongs to the family of serine protease inhibitors (serpins) and plays a critical role in maintaining a balanced hemostasis by acting as the major inhibitor of thrombin and activated coagulation factor X in the circulation of humans and other vertebrates studied(1–4). The rates of inhibition of thrombin and factor Xa are greatly increased through interaction of AT III with heparin(1, 5). Failure to maintain an adequate functional level of AT III in the plasma results in an increased risk of thrombosis and pulmonary embolism(6).
In healthy term human newborns there is a unique hemostatic balance between coagulant and anticoagulant factors. In this period the AT III plasma level is relatively low, and a correlation between maturity and AT III levels is observed(7–9). Even lower AT III plasma levels are found in preterm infants with an idiopathic respiratory distress syndrome, and it has been shown that these low levels raise the risk of thromboembolic complications in these patients(8). Furthermore, an inverse correlation between AT III plasma level and mortality has been observed in these patients(10). Studying the underlying regulatory mechanisms for AT III production, particularly in the fetal and neonatal period, might be a first step toward a better understanding of the cause of these apparent AT III deficiencies.
In this study we compared the plasma AT III activity and the liver AT III mRNA content, between the 8th wk of gestation and the 4th wk after birth in sheep, and investigated whether the increase in plasma AT III activity during fetal and neonatal development is particularly affected at the transcriptional level in this species. Because such studies would be unethical in humans, they necessitate the use of an animal model. The sheep was chosen for our study, for the following reasons. 1) The sheep is already a well established model for studying developmental regulation of the coagulant factor prothrombin(11) and the anticoagulant factor protein C(12). 2) The gestation period in sheep is substantially longer than in previously used animal models (rat and chicken) for studying the developmental expression of AT III(13–16). 3) Sheep coagulation system(17, 18) as well as the mean body weight of a term lamb is comparable to the human situation. 4) This species does generally have single or twin pregnancies, similar to human, and in contrast to rat and chicken. However, in contrast to the human situation, lambs are born with plasma AT III concentrations which approach the mean adult value. Therefore, one has to be careful regarding the extrapolation of the sheep data to the human situation.
AT III is primarily synthesized in the liver(19). Human, adult plasma AT III is a 432-amino acid glycoprotein with a molecular mass of 58 kD and has four glycosylation sites(20, 21). Human as well as adult rabbit plasma contains two isoforms of AT III(22, 23). The isoform, which accounts for approximately 10% of the total AT III present in the circulation, has a higher affinity for heparin than the other isoform due to the absence of one of the four oligosaccharide side chains(24). Our first aim in this study was to investigate whether the AT III activity increase during fetal development is regulated at the transcriptional level. A second aim of the study was to investigate whether different isoforms of the AT III molecule exist in sheep.
METHODS
Materials. Goat anti-rabbit IgG conjugated with horseradish peroxidase was purchased from Bio-Rad (Richmond CA). Heparin-Sepharose CL-6B and DEAE-Sepharose CL-6B were products of Pharmacia Fine Chemicals (Uppsala, Sweden). PNGase F (Flavobacterium meningosepticum) was obtained from New England Biolabs (Beverly, MA). [α-32P]dCTP was purchased from Amersham International (Amersham, UK). All other chemicals were of reagent grade purity and obtained from Merck (Darmstadt, Germany).
Tissue sources and blood sampling. Studies on liver mRNA and plasma activity of AT III were performed on 51 fetuses and 22 neonatal lambs, from single or twin pregnancies. Fetuses were obtained from the slaughterhouse immediately after the killing of a ewe. The fetuses studied were categorized into various developmental stages (III to X) according to their body weight(see Table 1). The newborn lambs were obtained from a sheep farm (West-Beemster, The Netherlands) and were grouped into four neonatal stages i.e., 1-3 d (N1-3), 7 d (N7), 14 d (N14), and 28 d old (N28), respectively. Blood samples from fetuses were collected by puncture of the heart or of the umbilical cord. Blood samples from the lambs were obtained by puncture of the external jugular vein. To prevent coagulation during blood sampling 3.2% sodium citrate solution was added into the syringe before drawing samples (1 volume:9 volumes of blood). Liver tissue from fetuses and lambs was subsequently collected and quickly frozen in liquid nitrogen.
RNA isolation and quantitative dot blot analysis. Total RNA was isolated from the collected tissues by the guanidinium thiocyanate-phenol-chloroform method(26). Total RNA concentrations of the samples were estimated spectrophotometrically. To verify that the RNA was not degraded, samples were analyzed by agarose-gel electrophoresis. Gels were exposed to UV light to visualize the bands resulting from the 28S and 18S ribosomal RNA. These bands showed an apparent fluorescence ratio of 2 in intact RNA samples.
The AT III mRNA concentration in the livers was determined by quantitative dot blot analysis. Approximately 0.8 μg and 2.5 μg of the RNA samples were diluted in 50 μL of 10 mM Tris-HCl, 1 mM EDTA, pH 8.0. After adding 0.6 volume 20 × SSC (1 × SSC: 150 mM NaCl, 15 mM sodium citrate, pH 7.0) and 0.4 volume of 37% formaldehyde, the samples were heated at 65°C for 15 min and then quenched on ice. After addition of 300 μL of 10 × SSC, the samples were spotted in duplicate onto nitrocellulose membranes (BA-S 85, Schleicher & Schuell, Dassel, Germany) using a Bio-dot microfiltration apparatus (Bio-Rad). In this way duplicate blots were generated. Membranes were prewetted by soaking for 5 min in H2O and for 20 min in 10 × SSC. Before and after loading the samples, the slots were washed with 400 μL of 10 × SSC. After the final wash, the membranes were air-dried and incubated at 80°C for 2 h to bind the RNA irreversibly to the membranes. Before hybridization, the membranes were incubated for 2 h at 42°C in 40% (vol/vol) formamide, 0.9 M NaCl, 50 mM sodium phosphate, pH 7.0, 5 mM EDTA, pH 8.0, 0.1% (wt/vol) SDS, 5 × Denhardt's solution (1× Denhardt's solution: 0.02% (wt/vol) Ficoll, 0.02% (wt/vol) polyvinylpyrrolidone, 0.02% (wt/vol) BSA), and 100 μg/mL salmon sperm DNA. Hybridization was performed at 42°C for 16 h in the same solution, but supplemented with the probe. After hybridization the membranes were sequentially washed in 1) 3 × SSC, 0.1% (wt/vol) SDS;2) 0.5 × SSC, 0.1% (wt/vol) SDS; and 3) 0.2 × SSC, 0.1% (wt/vol) SDS, at 58°C for 30 min each. Hybridization signals were quantified using a PhosphorImager (Molecular Dynamics, Sunnyvale CA).
To determine the AT III mRNA concentration and the total amount of RNA spotted, one of the duplicate blots was hybridized with a full-length sheep AT III cDNA probe(27) and the other with a 108-bpSst II fragment of a human 28S ribosomal RNA exon probe(28). Both hybridization signals were calibrated with signals obtained from purified adult sheep liver RNA spotted in quantities ranging from 0 to 6 μg. Total RNA content per g of liver was determined by the orcinol method, in which final concentrations of 6 M HCl, 0.01% FeCl3·6H2O, and 0.3% orcinol were used(29). The DNA fragments were labeled with[α-32P]dCTP by the random-primer labeling method(30).
Isolation of antithrombin III from plasma. AT III was isolated from adult sheep plasma (40 mL) by binding to a heparin-Sepharose CL-6B column and elution with a linear gradient of 0.15 to 1.5 M NaCl in 100 mM Tris-HCl, pH 7.4(31). The fractions containing AT III, as identified by the activity assay, were pooled and dialyzed against 15 mM Tris-HCl, 20 mM NaCl, 10 mM sodium citrate, pH 8.0. Trace contaminants of heparin were removed by anion-exchange chromatography on a column of DEAE-Sepharose CL-6B. AT III was eluted from the column with a linear gradient of 0.02 to 0.5 M NaCl in 100 mM Tris-HCl, pH 7.4. Again, AT III fractions were identified using the activity assay, pooled, and concentrated using Centricon-30 tubes (Amicon, Beverly, MA). The preparation produced a single protein band on a 7.5% SDS-PAGE(32). This purified sheep AT III was used for the production of rabbit anti-sheep AT III antibodies.
The isolation of AT III from fetal and neonatal plasma was the same as described above for adult sheep AT III, but the DEAE column chromatography was omitted.
Immunochemical analysis. For immunoblot analysis of AT III in the fetal and neonatal stages, a polyclonal antibody to sheep AT III was raised in rabbit by monthly immunization with 100 μg of sheep AT III in Freund's adjuvant. Two immunizations used complete adjuvant and a third (2 mo later), 2 wk before serum collection, incomplete adjuvant. The IgG fraction was isolated using ammonium sulfate precipitation, according to Johnstone and Thorpe(33), and used in the immunoblot analysis. In this analysis, the AT III samples purified from the plasmas were subjected to 12.5% SDS-PAGE. After SDS-PAGE, the proteins were transferred to a nitrocellulose sheet (BA 85, Schleicher & Schuell) by electroblotting in 25 mM Tris-HCl, 20% (vol/vol) methanol, 192 mM glycine, pH 8.3(34). After blocking with 30 g/L gelatin in 500 mM NaCl, 20 mM Tris-HCl, pH 7.5, the nitrocellulose sheet was incubated with the rabbit anti-sheep AT III IgG. The bound antibody was detected with goat anti-rabbit IgG conjugated with horseradish peroxidase, by visualization with 3,3′-diaminobenzidine/H2O2 (0.01% (wt/vol) 3,3′-diaminobenzidine, 0.003% (vol/vol) H2O2 in 500 mM NaCl, 20 mM Tris-HCl, pH 7.5). The reaction was terminated after 20-30 min by washing with water.
Antithrombin III activity assay. Plasma AT III activity was measured by use of bovine thrombin and a chromogenic substrate (S-2238; Chromogenix, Mölndal, Sweden)(35). Plasma AT III activities were corrected for the influence of the hematocrit on the dilution of the plasma by citrate(36) and expressed in percent, where 100% equals the AT III activity of 1 mL of reference plasma obtained from 20 healthy adult sheep with a sex ratio of 1:1.
Removal of carbohydrate side chains. To remove the carbohydrate moieties of the purified fetal, neonatal, and adult AT III, these samples were digested with PNGase F, which cleaves between the innermostN-acetylglucosamine and asparagine residues of high mannose, hybrid, and complex oligosaccharides from glycoproteins. This digestion was performed with 150 U of PNGase F/μg of glycoprotein at 37°C for 1 h in 1% NP-40, 50 mM sodium phosphate, pH 7.5, after denaturating the samples at 100°C for 10 min in 0.5% SDS and 1% β-mercaptoethanol.
RESULTS
Plasma AT III activity and AT III mRNA during fetal and neonatal development. The mean plasma AT III activity in fetuses from developmental stages III to X, and in the neonatal lambs from 1 to 28 d old, is presented in Figure 1. The AT III activity gradually increased from 34% of the mean adult values at stage III/IV (8-10 wk of gestation) to 86% at stage X (21 wk of gestation). Directly after birth the mean AT III activity increased from 69% in group N1-3 to 97% of the mean adult value in group N28.
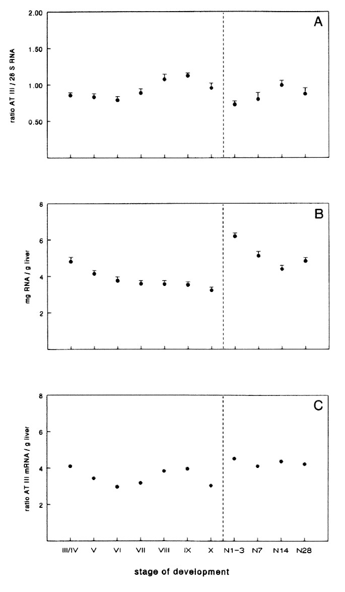
The results of the dot-blot hybridization to quantify RNA are depicted in Figure 2A as a ratio of the AT III and the 28S signal. This AT III/28S ratio showed only slight fluctuations during development; a slight increase between stage VI and stage IX, followed by a slight decrease thereafter with a nadir around the first 3 d after birth. A possible developmental regulation of the total amount of RNA per g of liver was investigated by use of the orcinol method (Fig. 2B). The total amount of RNA per g of liver slightly decreased from 4.8 mg (stage III/IV) to 3.3 mg (stage X) during fetal development. Just after birth (N1-3) the total amount of RNA per g of liver almost doubled to 6.2 mg and steadily decreased thereafter to 4 mg. Ribosomal RNA constitutes approximately 95% of all RNA in a cell. Therefore, the 28S RNA signal in the AT III/28S ratio was used as a measurement for the total amount of RNA spotted, to calculate the AT III mRNA content per g of liver from Figure 2, A and B. This is shown in Figure 2C. The results in that figure reflect the changes in AT III mRNA content per g of liver during development. Only slight fluctuations in the AT III mRNA content per g of liver were observed during fetal and neonatal development.
From 20 fetuses and 21 lambs the total weight of the liver was measured(Table 1). Between stage III/IV and stage VII the liver weight increased to approximately 100 g. The mean liver weight remained stable during the first postnatal week. After this period the liver weight doubled to approximately 200 g in lambs 28 d old. The changes in AT III mRNA content and plasma AT III activity can be put in more perspective by considering the increase in both liver weight and plasma volume during fetal and neonatal development (Table 2). The changes between stage III/IV and stage X of gestation in the relative amounts of AT III mRNA per g of liver and the increase of the total liver weights can then be used to calculate the increase (approximately 14-fold) in the total AT III mRNA content in the liver. Furthermore, we can estimate the increase in plasma volume during development if we assume it to parallel the increase in the total body weight, which increased 57-fold between stage III/IV and stage X of fetal development. As a consequence, the total amount of AT III activity in plasma increased approximately 140-fold between these stages of development. This then indicates a 10-fold higher increase in the total amount of plasma AT III activity compared with the increase of the total liver AT III mRNA content between stage III/IV and stage X.
In a comparison of lambs 1-3 and 28 d old, an approximately 4-fold increase in total liver AT III mRNA content and an approximately 2-fold increase in total amount of plasma AT III activity was observed between these stages of development (Table 2). This then indicates that the total amount of plasma AT III activity increased twice as much as the total liver AT III mRNA content in the first postnatal weeks.
Different AT III isoforms during fetal development. To determine whether different isoforms of AT III molecules are present in the circulation at different developmental stages in sheep, we performed an SDS-PAGE separation and immunoblot analysis on purified AT III from plasma (Fig. 3). In plasma of fetuses from developmental stages IV, VII, and X, two AT III isoforms were detected, with apparent molecular masses of 59.5 and 57 kD (Fig. 3A). Only the AT III isoform with the lower molecular mass was detectable in plasma of lambs 7 and 28 d old, and in adult sheep. When examining plasma of 2-d-old lambs, both AT III isoforms were detected (see Fig. 4).
Immunoblot analysis of plasma AT III from fetal, neonatal, and adult sheep. (A) Lanes 1 and 10, prestained protein standard (molecular masses are presented in kD);lane 2, adult plasma AT III treated with PNGase F; lanes 3 and 9, adult plasma AT III; lanes 4, 5, and6, fetal plasma AT III from developmental stage IV (approximately 10 wk of gestation), stage VII (approximately 15 wk of gestation), and stage X(approximately 21 wk of gestation), respectively; lanes 7 and8, neonatal plasma from 7- and 28-d-old lambs, respectively.(B) Same samples as in A; however, all samples were incubated with PNGase F to remove their carbohydrate moieties. For comparison,lane 2 represents the untreated adult plasma AT III.
Immunoblot of the two types of AT III isolated by gradient elution from a heparin-Sepharose column. AT III was isolated from plasma of a 2-d-old lamb by use of a heparin-Sepharose CL-6B column and elution with a linear gradient of 0.15 to 1.5 M NaCl in 100 mM Tris-HCl, pH 7.4. The AT III fractions were identified by the AT III activity assay and separated on a 10% SDS-PAGE. Lane 1 shows the prestained protein standard (molecular masses are presented in kD). Lanes 2 and3 show the two fractions, positive in the AT III activity assay, and collected between 0.7 and 0.9 M NaCl, respectively.
To determine whether the difference in apparent molecular mass between the two types of AT III was due to a difference in number or structure of the carbohydrate side chains, we digested the purified fetal, neonatal, and adult AT III samples with PNGase F. After digestion with PNGase F, both types of AT III, now stripped of their carbohydrate side chains, migrated to the same position during SDS-PAGE (Fig. 3B), with an apparent molecular mass of 45 kD.
No differences in heparin-binding affinity could be found as both AT III isoforms were isolated in comparable amounts by gradient elution from a heparin-Sepharose column, between 0.7 and 0.9 M NaCl (Fig. 4). Additional elution of the heparin-Sepharose column with 2.0 M NaCl did not provide detectable amounts of AT III on an immunoblot using fetal, neonatal, or adult plasma (data not shown).
DISCUSSION
In this study we used a sheep model to investigate whether the increase in plasma AT III activity is affected at the transcriptional level, between the 8th week of gestation and the 4th week after birth. During fetal sheep development plasma AT III activity gradually increased and approached the mean adult level. This corresponds well with other studies performed in sheep(17, 18). A similar increase in plasma AT III levels in the gestational period was also observed in chicken embryos(15), where it increased from 18% (16-d-old embryos) to 94% of the mean adult AT III level on hatching (i.e. 21 d). In contrast, the plasma AT III levels of human newborns are only about 50% of the mean adult value(7, 8), whereas in rat embryos the AT III level remained constant at approximately 30% of the mean adult value between 13 d of development and birth(13). These differences in the circulating AT III level at birth/hatching therefore appear to be related to the degree of maturity of the newborn/hatching.
It may be argued that plasma AT III antigen measurements would have been preferable to the activity measurements presently reported. We have made several attempts to raise a polyclonal antibody against various sheep AT III preparations in rabbits and were unable to raise an antibody to develop an ELISA for sheep AT III. This may be due to the highly conserved nature of AT III between species(27). We therefore had to settle with activity measurements. However, we did blot similar amounts of activity of samples from various developmental stages in two dilutions and compared the intensity of the bands obtained. We did not observe major discrepancies in these intensities. This would indicate that the activity changes observed are representative for similar changes in the antigen contents.
Both in rats and in chickens a relative increase in the liver AT III mRNA levels was reported(14, 16). In these studies no attention was paid to the increases in liver weight and plasma volume during development, and therefore no comparison was made between total amount of liver AT III mRNA and total plasma AT III activity and/or antigen. The absence of a rise in AT III levels in rats during gestation, parallel to the mRNA increase, was explained by D'Souza and Mercer(14) by an initial maternal AT III supplementation. However, no evidence for such a placental transfer is currently available. When considering the increase in total plasma volume between 13- and 21-d-old rat embryos, the absolute amount of plasma AT III is actually increased. Therefore, when studying the relationship between levels of mRNA and plasma proteins in various developmental stages, it is important to consider changes in plasma volume and weight of the organ which expresses this plasma protein.
Only slight changes in AT III mRNA content per g of liver were observed in the sheep fetal and neonatal period. This is an overall result of the processes of transcription and mRNA stability. During fetal development we observed a nearly 14-fold increase in total liver AT III mRNA content and a more than 140-fold increase in total plasma AT III activity, i.e. a more than 10-fold higher increase in total AT III activity than in liver AT III mRNA content. This implies that the fetal increase in circulating AT III activity is mainly caused by nontranscriptional effects. It might be caused by increased translational efficiency, improved cellular processing and/or secretion, but also increased plasma half-life of the AT III protein and/or an increased activity of the plasma AT III. An increased activity per AT III molecule may be related to the differential glycosylation of the two AT III forms found in the fetal period. An increase in efficiency of translation of liver-specific proteins during fetal development was previously described in rats(37). In the first 4 postnatal weeks we found a 2-fold higher increase in the total amount of AT III plasma activity compared with the total content of AT III mRNA. This implies that the neonatal increase in AT III activity is due to nontranscriptional effects, but to a much lesser extent than during fetal development. Whether these findings in sheep can be extrapolated to the human situation remains to be established.
Our previous conclusion that the increase of the plasma AT III activity increases 10-fold more than the liver AT III mRNA content hinges on the assumption that the plasma volume is directly related to the body weight, our actual measurement. We are not aware of data in the fetal stage of any species to support this assumption. However, Prothero(38) reported that adult mammals with body weights ranging from 5 g (brown bat) to 100 000 kg (blue whale) have identical proportions of blood volume, hematocrit, and plasma volume, which indicates according to that author that“key structural elements of the cardiorespiratory system scale as a constant proportion of body weight” between species, which was then extrapolated by us to the different fetal stages during development within a species.
As shown by Andrew et al.(39) both fetal and adult radiolabeled fibrinogen had a 2.5-fold faster half-life in the lamb compared with the adult sheep. However, the two fibrinogen forms did not have a difference in half-lives in either the lamb or the adult sheep. Evidently, clearance rates may differ between developmental stages, but this has so far not been reported for the fetal stage. Still, a slower clearance of AT III at later stages of fetal development may contribute to the 10-fold higher increase in total AT III activity compared with the liver AT III mRNA.
Rabbit AT IIIα and β bound similarly to intact aorta endothelium, but the transendothelial passage of AT IIIβ was faster, and the binding of AT IIIβ to the subendothelium was 2-3-fold faster(40). This indicates a differential compartmentalization of AT III isoforms. The proteoglycan composition in the subendothelium and the endothelium may change during the fetal development. This may result in a different compartmentalization as the basis for a different clearance during fetal development. However, we do not have data to support this hypothesis.
We detected a 59.5- and 57-kD AT III isoform. The 57-kD AT III isoform was detected in plasma of fetal, neonatal, and adult sheep. In contrast, we detected only the 59.5-kD AT III isoform throughout fetal development (at least as early as 10 wk of gestation), and it disappeared from the circulation a few days after birth. Two isoforms of AT III were first reported in adult rabbits by Carlson and Atencio(22). They found that the isoform eluting at a lower salt concentration represents about 90% of the AT III in plasma and has a 2000-D higher molecular mass on SDS-PAGE compared with the other AT III isoform. In human plasma, two AT III isoforms with the same characteristics as in rabbits were subsequently identified(23). The predominant form of human AT III was designated AT IIIα and the other as AT IIIβ, with a 3000-D lower molecular mass. Furthermore, the difference in molecular masses of the two human AT III molecules was attributed to the absence of the fourth oligosaccharide side chain at Asn-135 in AT IIIβ(24). Due to this absence a steric hindrance to the adjacent heparin binding site is not present, which explains the increased heparin affinity of the AT IIIβ form(24). This causes AT IIIα to elute at 0.8-1.0 M NaCl and AT IIIβ at >1.2 M in heparin-affinity chromatography(23, 24). We eluted at maximal NaCl concentrations of 2.0 M and were unable to obtain evidence for two AT III isoforms in adult sheep plasma, in contrast to adult rabbit and adult human plasma.
This is the first report of an AT III isoform which is restricted to certain developmental stages. We detected it in sheep from at least 10 wk of gestation until 2 d after birth. The possible beneficial role of this fetal AT III isoform is currently not understood. The molecular basis for the two AT III isoforms found in fetal and early neonatal sheep appears to be a difference in their carbohydrate side chains. We did not determine whether the carbohydrate side chains differed in structure, number of side chains, or both. However, no difference in their heparin-binding affinity was detected. This would indicate that the basis for this difference is not identical to the human adult AT IIIα and β isoforms, i.e. the absence of the complete fourth carbohydrate side chain. Because it has been reported for the I-branching enzyme that different isoforms can be generated by developmental programs(41), the AT III isoforms we observed in prenatal lamb may result from differential expression of a subset of liver glycosyltransferases, resulting in a different structuring of the carbohydrate moiety. Recently, Manco-Johnson et al.(12) reported in sheep a fetal protein C which had a 3000-D increase in molecular mass relative to the adult form. The fetal protein C gradually disappeared from the fetal circulation with simultaneous appearance of the adult form, which was completed a few days after spontaneous onset of labor. This also indicates a unique fetal processing of protein C in sheep.
In conclusion, the increase in total plasma AT III activity during fetal and neonatal development appears not to be regulated at the transcriptional level. Also, a unique fetal isoform of AT III was detected in sheep. These results should provide a basis for detailed research into the regulation of the fetal and neonatal synthesis of AT III.
Abbreviations
- AT III:
-
antithrombin III
- PNGase F:
-
peptide:N-glycosidase F
References
Rosenberg RD, Damus PS 1973 The purification and mechanism of action of human antithrombin-heparin cofactor. J Biol Chem 248: 6490–6505.
Kurachi K, Fujikawa K, Schmer G, Davie EW 1976 Inhibition of bovine factor IXa and factor Xa by antithrombin III. Biochemistry 15: 373–377.
Koide T 1979 Isolation and characterization of antithrombin III from human, porcine, and rabbit plasma, and rat serum. J Biochem 86: 1841–1850.
Jordan RE 1983 Antithrombin in vertebrate species: conservation of the heparin-dependent anticoagulant mechanism. Arch Biochem Biophys 227: 587–595.
Damus PS, Hicks M, Rosenberg RD 1973 Anticoagulant action of heparin. Nature 246: 355–357.
Egeberg O 1965 Inherited antithrombin deficiency causing thrombophilia. Thromb Diath Haemorrh 13: 516–530.
Hathaway WE, Bonnar J 1978 Physiology of coagulation in the fetus and newborn infant. In: Oliver T (ed) Perinatal Coagulation-Monographs in Neonatology. Grune & Stratton, New York, 53–80.
Peters M, Jansen E, ten Cate JW, Kahle LH, Ockelford P, Breederveld C 1984 Neonatal antithrombin III. Br J Haematol 58: 579–587.
Andrew M, Paes B, Milner R, Johnston M, Mitchell L, Tollefsen DM, Castle V, Powers P 1988 Development of the human coagulation system in the healthy premature infant. Blood 72: 1651–1657.
Peters M, ten Cate JW, Breederveld C, de Leeuw R, Emeis JJ, Koppe JG 1984 Low antithrombin III levels in neonates with idiopathic respiratory distress syndrome: poor prognosis. Pediatr Res 18: 273–276.
Kisker CT, Perlman S, Bohlken D, Wicklund B 1988 Measurement of prothrombin mRNA during gestation and early neonatal development. J Lab Clin Med 112: 407–412.
Manco-Johnson MJ, Spedale S, Peters M, Townsend SF, Jacobson LJ, Christian J, Krugman SD, Hay WW, Sparks JW 1995 Identification of a unique form of protein C in the ovine fetus: developmentally linked transition to the adult form. Pediatr Res 37: 365–372.
Lamontagne L, Gauldie J 1980 Ontogeny of mouse and rat antithrombin III. Thromb Res 20: 417–424.
D'Souza SE, Mercer JFB 1987 Antithrombin III mRNA in adult rat liver and kidney and in rat liver during development. Biochem Biophys Res Commun 142: 417–421.
Amrani DL, Mosesson MW, Koide T 1985 Evidence that chicken antithrombin III is a developmentally regulated glycoprotein synthesized by hepatocytes. Biochim Biophys Acta 847: 324–334.
Amrani DL, Rosenberg J, Samad F, Bergtrom G, Banfield DK 1993 Developmental expression of chicken antithrombin III is regulated by increased RNA abundance and intracellular processing. Biochim Biophys Acta 1171: 239–246.
Andrew M, O'Brodovich H, Mitchell L 1988 Fetal lamb coagulation system during normal birth. Am J Hematol 28: 116–118.
Moalic P, Gruel Y, Foloppe P, Delahousse B, Leclerc M-H, Leroy J 1989 Hemostasis development in the lamb fetus and neonate. Am J Vet Res 50: 59–63.
Hedner U, Nilsson IM 1973 Antithrombin III in a clinical material. Thromb Res 3: 631–641.
Petersen TE, Dudek-Wojciechowska G, Sottrup-Jensen L, Magnusson S 1979 Primary structure of antithrombin III (heparin cofactor). Partial homology between α1-antitrypsin and antithrombin III. In: Collen D, Wiman B, Verstraete M (eds) The Physiological Inhibitors of Blood Coagulation and Fibrinolysis. Elsevier Science Publishers, Amsterdam, 43–54.
Franzen L-E, Svensson S, Larm O 1980 Structural studies on the carbohydrate portion of human antithrombin III. J Biol Chem 255: 5090–5093.
Carlson TH, Atencio AC 1982 Isolation and partial characterization of two distinct types of antithrombin III from rabbit. Thromb Res 27: 23–34.
Peterson CB, Blackburn MN 1985 Isolation and characterization of an antithrombin III variant with reduced carbohydrate content and enhanced heparin binding. J Biol Chem 260: 610–615.
Brennan SO, George PM, Jordan RE 1987 Physiological variant of antithrombin-III lacks carbohydrate side chain at Asn 135. FEBS Lett 219: 431–436.
Naaktgeboren C, Stegeman JHJ 1966 Untersuchungenuber den Einflu des Uterus und der Placenta auf das fetale Wachstum und das Geburtsgwicht, mit besonderer Berucksichtigung des Schafes. Z Tierz Zuechtungsbiol 85: 245–290.
Chomczynski P, Sacchi N 1987 Single-step method of RNA isolation by acid guanidinium thiocyanate-phenol-chloroform extraction. Anal Biochem 162: 156–159.
Niessen RWLM, Sturk A, Hordijk PL, Michiels F, Peters M 1992 Sequence characterization of a sheep cDNA for antithrombin III. Biochim Biophys Acta 1171: 207–210.
Laudien Gonzalez I, Gorski JL, Campen TJ, Dorney DJ, Erickson JM, Sylvester JE, Schmickel RD 1985 Variation among human 28S ribosomal RNA genes. Proc Natl Acad Sci USA 82: 7666–7670.
Munro HN, Fleck A 1966 The determination of nucleic acids. Methods Biochem Anal 14: 113–176.
Feinberg AP, Vogelstein B 1984 A technique for radiolabeling DNA restriction endonuclease fragments to high specific activity. Anal Biochem 137: 266–267.
Mc Kay EJ, Laurell C-B 1980 The interaction of heparin with plasma proteins. Demonstration of different binding sites for antithrombin III complexes and antithrombin III. J Lab Clin Med 95: 69–80.
Laemmli UK 1970 Cleavage of structural proteins during the assembly of the head of bacteriophage T4. Nature 227: 680–685.
Johnstone A, Thorpe R 1987 Purification of immunoglobulins, constituent chains and fragments. In: Johnstone A, Thorpe R.(eds) Immunochemistry in Practice. Blackwell Scientific Publications, Oxford 48–85.
Towbin H, Staehelin T, Gordon J 1979 Electrophoretic transfer of proteins from polyacrylamide gels to nitrocellulose sheets: procedure and some applications. Proc Natl Acad Sci USA 76: 4350–4354.
Peters M, Breederveld C, Kahle LH, ten Cate JW 1982 Rapid microanalysis of coagulation parameters by automated chromogenic substrated methods-application in neonatal patients. Thromb Res 28: 773–781.
Odegard OR, Lie M, Abildgaard U 1976 Antifactor Xa activity measured with amidolytic methods. Haemostasis 5: 265–275.
de Groot CJ, Zonneveld D, de Laaf RTM, Dingemanse MA, Mooren PG, Moorman AFM, Lamers WH, Charles R 1986 Developmental and hormonal regulation of carbamoylphosphate synthetase gene expression in rat liver: evidence for control mechanisms at different levels in the perinatal period. Biochim Biophys Acta 866: 61–67.
Prothero JW 1980 Scaling of blood parameters in mammals. Comp Biochem Physiol 67A: 649–657.
Andrew M, Mitchell L, Berry LR, Schmidt B, Hatton MWC 1988 Fibrinogen has a rapid turnover in the healthy newborn lamb. Pediatr Res 23: 249–252.
Witmer MR, Hatton MWC 1991 Antithrombin III- associates more readily than antithrombin III- with uninjured and de-endothelialized aortic wall in vitro and in vivo. Arterioscler Thromb 11: 530–539.
Bierhuizen MF, Mattei MG, Fukuda M 1993 Expression of the developmental I antigen by a cloned human cDNA encoding a member of a-1,6-N-acetylglucosaminyltransferase gene family. Genes Dev 7: 468–478.
Author information
Affiliations
Rights and permissions
About this article
Cite this article
Niessen, R., Lamping, R., Peters, M. et al. Fetal and Neonatal Development of Antithrombin III Plasma Activity and Liver Messenger RNA Levels in Sheep. Pediatr Res 39, 685–691 (1996). https://doi.org/10.1203/00006450-199604000-00021
Received:
Accepted:
Issue Date:
DOI: https://doi.org/10.1203/00006450-199604000-00021
Further reading
-
Control of post-translational modifications in antithrombin during murine post-natal development by miR-200a
Journal of Biomedical Science (2013)



