Abstract
Photonic crystal fibres (PCFs) offer greatly enhanced design freedom compared to standard optical fibres. For example, they allow precise control of the chromatic dispersion (CD) profile—the frequency dependence of propagation speed—over a broad wavelength range. This permits studies of nonlinear pulse propagation in previously inaccessible parameter regimes. Here we report on spectral broadening of 100-fs pulses in PCFs with anomalously flat CD profiles. Maps of the spectral and spatio-temporal behaviour as a function of power show that dramatic conversion (to both longer and shorter wavelengths) can occur in remarkably short lengths of fibre, depending on the magnitude and shape of the CD profile. Because the PCFs used are single-mode at all wavelengths, the light always emerges in a fundamental guided mode. Excellent agreement is obtained between the experimental results and numerical solutions of the nonlinear wave equation, indicating that the underlying processes can be reliably modelled. These results show how, through appropriate choice of CD, nonlinearities can be efficiently harnessed to generate laser light at new wavelengths.
Main
A feature common to almost all pulses of energy is that they broaden (or ‘disperse’) as they travel. Thus it was a surprise when, in 1844, Russell observed a solitary wave of water travelling, without change in shape, along a canal near Edinburgh1. Solitary waves turn out to be quite common in nature. Another example is of tsunamis—giant water waves initiated by seismic shocks and then transmitted across oceans in the form of massive pulses of energy. How does this happen? Fourier analysis shows that pulses can be decomposed into a spectrum of sinusoidal waves spread over a finite frequency band. Chromatic dispersion (CD)—a linear effect that affects most types of wave—causes different frequencies to travel at different speeds, producing pulse broadening. Solitary waves form when the effects of CD are balanced by nonlinearity—a phenomenon that changes the properties of systems at high power densities.
In 1971, Zhakarov and Shabat2 showed theoretically that, for an appropriate combination of nonlinearity and CD, light can form solitary waves, or solitons, which are robust against any perturbations, including strong inter-soliton collisions. The light solitons exist because self-phase modulation (a nonlinear effect caused by the tendency for the wavefront velocity to fall as the intensity increases) gradually redistributes the pulse energy into frequencies above and below the pulse's central frequency. A positive frequency ‘chirp’ develops across the broadening pulse: lower frequencies arrive first. On the other hand, CD broadening also gives rise to a frequency chirp because the different spectral components travel at different ‘group’ velocities vG:

where D(λ) and β2(ω) represent the CD as a function of wavelength and frequency, λ is the wavelength in vacuum, ω the angular frequency and c the speed of light in vacuum. In the anomalous CD region (D(λ) > 0), ‘red’-shifted frequencies travel more slowly than ‘blue’-shifted ones, producing a negative frequency chirp that can exactly balance the positive chirp of self-phase modulation. When this happens, a soliton forms. In 1973 Hasegawa suggested that solitons could appear in optical fibres in the wavelength range beyond ∼1,300 nm where the CD is anomalous3, and then in 1980 Mollenauer went on to report the first experimental observation of optical solitons in fibres4. Since then, many optical communications systems based on solitons have been developed, including most recently so-called ‘dispersion-managed’ systems where the CD changes sign periodically along the length5 and systems where femtosecond pulses are adaptively controlled6.
This story of prediction, exploration and discovery has been told and retold many times in textbooks7. But to what degree can the behaviour of solitons, and other related nonlinear effects, be engineered? Fibre nonlinearity is determined by the nonlinear susceptibility of the silica glass and the effective cross-sectional area of the guided mode Aeff. It is represented by the parameter γ (in m-1 W-1):

where n2 is the nonlinear refractive index (≈ 2.2 × 10-20 m2 W-1 in silica glass). Although Aeff can be engineered to a degree, it turns out that the CD is itself strongly dependent upon the shape and size of the core. So should one concentrate on increasing the nonlinearity or controlling the CD? Recent work8,9,10,11 on photonic crystal fibres (PCFs) with ultra-small Aeff shows that control of CD profile D(λ) is immensely more important. Previous numerical modelling and experimental work hints at this, though in fibres without precisely controlled D(λ).
Here we report our success in refining D(λ) to the point where new regimes of nonlinear behaviour become accessible.
Fibre design and fabrication
Underpinning the study is PCF12,13. PCF consists of a strand of glass with an array of microscopic air-channels running along its length. It can guide light by two mechanisms: a photonic bandgap (when the refractive index of the core can have any value), and a modified form of total internal reflection (when the holey cladding has a lower index, on average, than the core). Over the past decade PCF has attracted increasing interest in many fields, including nonlinear fibre optics, where the ability to design PCFs with well-controlled CD profiles and high nonlinearity is leading to a number of new applications14,15,16.
Silica glass PCF is made in several stages. First, a set of precision-manufactured glass capillaries and rods are stacked into a macroscopic ‘preform’ of the desired microstructure. In the fibres studied here, a hexagonal lattice of capillaries is arranged around a central solid core. This preform stack is then fused together and reduced in size (by several orders of magnitude) in a fibre-drawing tower. Even this simple structure allows remarkable control over the CD of the mode guided in the central solid core. By choosing appropriate values of hole diameter d and interhole spacing Λ, the zero CD wavelength (which is close to 1,300 nm in standard fibre) can be shifted down into the 800-nm wavelength band, allowing highly efficient supercontinuum generation using femtosecond pulses from Ti:sapphire lasers17. The shape of D(λ) can also be flattened in the 1,550-nm (100-fs) wavelength range18, the resulting fibres having the additional advantage of being single-mode at all wavelengths where the glass is transparent (standard flattened-dispersion step-index fibres are single-mode over a much smaller range)19,20. Broad-band single-mode operation has additional advantages in applications where well-controlled interactions between signals at widely different wavelengths are required, such as optical parametric amplifiers21 and in supercontinuum-based infrared communications22.
Experimental results
An important challenge in the design of PCFs—particularly those with flattened CD—is the absence of accurate analytical formulae for D(λ). This means that numerical modelling must be used to provide the initial ‘ideal’ design (hole diameter and spacing) for a desired D(λ) (ref. 18). Fabricating precisely this ideal structure is also a challenge, because of slight systematic distortions introduced in the fibre-drawing process. Starting from a suitable preform stack, a large number of PCFs were drawn under slightly different conditions, each yielding a different profile of flattened D(λ), ranging from 17 ps nm-1 km-1 to -7 ps nm-1 km-1. Figure 1 shows D(λ) for the fibres used in the experiments, measured using low coherence interferometry23. The plot includes D(λ) for a PCF with anomalous CD and negative CD slope ∂D/∂λ < 0 (fibre labelled A in Fig. 1), a PCF with near-zero anomalous CD (∼+2 ps nm-1 km-1) and ∂D/∂λ > 0 (fibre B), and a PCF with normal CD and ∂D/∂λ < 0 (fibre C). Included in the plot is a scanning electron micrograph (SEM) of fibre B. The fibre parameters, including the coefficients of a polynomial fit to the dispersion β2(ω) (see equation (3) below), are given in Table 1. The small effective core-cladding refractive index difference and high structural regularity of the fibres meant that any ‘accidental’ birefringence in the guided mode was negligible. All of the PCFs used in the experiments had Aeff ≈ 44 µm2, a numerical aperture of approximately 0.2 and a measured loss of ∼35 dB km-1 at 1,550 nm.
Light at 1,550 nm from an optical parametric oscillator, pumped by a Ti:sapphire laser, was launched into 1-m lengths of fibre. The pulse length was approximately 100 fs, the repetition rate was 80 MHz and a maximum pulse energy of several nanojoules was available at the fibre input face. The input power was varied using crossed polarizers and the generated spectrum was measured at the fibre output using an optical spectrum analyser (OSA). The generated spectra, plotted against launched power for the three PCFs in Fig. 1, are presented in Fig. 2. The left-hand column shows the experimental results and the right-hand column contains the predictions of the numerical model (see below).
The pump source is a pulse train of 100-fs pulses at a repetition rate of 80 MHz and a wavelength of 1,550 nm in all cases. Plots show a, fibre A, with anomalous CD and negative slope; b, fibre B, with small anomalous CD and positive slope; and c, fibre C, with normal CD and negative slope. The theoretical modelling was based on the experimental data, but without one of the fitting parameters—to allow slight rescaling of the power axis (see text). The small disparities between experiment and theory are caused by limitations in the optical measurements, inexact knowledge of the CD profile at all wavelengths, and the perfect chirp-free hyperbolic-secant time-envelopes used to represent the input pulses.
Note that the long-wavelength portions of the generated spectra lie beyond the maximum operating wavelength of the OSA (1,650 nm), and that wavelength-dependent losses, caused by imperfect coupling of light into the OSA, may also distort the recorded spectra to some degree.
Modulational instability
When a strictly monochromatic wave of high power is travelling in a dispersive nonlinear medium, instabilities can appear within certain frequency bands on either side of the pump frequency. This causes signals to grow from noise, and is at the root of most nonlinear effects. We start with a system whose CD is given by:

where Ω = (ω - ωo) and ωo is the pump frequency (if the coefficients in Table 1 are used, Ω is measured in units of 2π THz). By extending the perturbation analysis in ref. 7 and taking terms up to m = 6, it may be shown that the modulational instability (MI) gain per metre has the value:

where LNL = (γP)-1 is the nonlinear length and P is the pump power. The frequencies at which γMI becomes real-valued are located at the zeroes of the function under the square-root in equation (4). Note that odd CD orders play no role in the presence or absence of gain. This is because they cancel out from the degenerate four-wave phase-matching condition 2β(ωo) - β(+ Ω) - β(- Ω) = 0 where β(ω) is the exact wavevector (including dispersion). The results are summarized in density plots of gain versus Ω and β2 for four different cases (Fig. 3). Standard textbook analyses, treating the case when βn>2 = 0, show that gain occurs only when β2 ≤ 0. The situation is much more complicated when higher-order CD terms are present. Gain can appear in the normal dispersion region β2 > 0, sometimes in several sidebands. In the presence of β4 < 0 it is interesting that the gain bands broaden out. These results illustrate the unusual nonlinear effects that can be seen in fibres with non-standard CD profiles, such as those in which β2≅0.
Numerical modelling
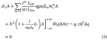
The equation used to model the experiment is the so-called generalized nonlinear Schrödinger equation:

In this equation t0 = 0.1 ps is the full-width at half-maximum (FWHM) pulse duration, ω0 is the pump frequency, βm = ∂m(1/vG)/∂ωm (evaluated at ω = ω0) is the mth dispersion coefficient, LDm = t0m/|βm| is the mth dispersion length, and

is the response function, which includes instantaneous electronic and delayed Raman contributions, the causality condition being taken into account through the Heaviside function Θ(t) (unity for t > 0 and zero for t < 0). The time t is in a reference frame moving at the group velocity (evaluated at ω = ω0) and is measured in the units of t0. The propagation distance z along the fibre is measured in units of LD2. N2 is the ratio between the peak power of the pump pulse and the peak power P0 = (γLD2)-1 necessary to create a single soliton in the ideal nonlinear Schrödinger equation (that is, equation (5), neglecting the Raman contribution and dispersion terms of order m > 2). For all the PCFs modelled, γ ≈ 0.002 m-1W-1. A is the amplitude of the electric field at the pump frequency, measured in the units of √(P0). The parameters of the response function were taken from ref. 7: fR = 0.18, τ1 = 12.2 fs/t0 and τ2 = 32 fs/t0.
It is generally accepted that equation (5) accurately describes the propagation of femtosecond pulses and that it is valid even in circumstances where the bandwidth of the radiation is of the same order as the central frequency of the pump laser—as confirmed in recent modelling of supercontinuum generation in PCF (see, for example, ref. 24).
To solve equation (5) we used a fast Fourier transform method to integrate the linear part, and a second-order Runge–Kutta algorithm for the nonlinear part. The launched pulses were taken to have hyperbolic-secant temporal profiles and to be free of any frequency chirp, which closely approximates the experimental condition where the launched pulses exhibit a minimal linear chirp. To convert the average pump power Pav (measured in experiments) to peak power, we used the relation Pav = νfsrηt0(P0N2), where νfsr = 80 MHz is the pulse repetition rate and η = 0.7 is an empirically determined coefficient which is introduced to allow for non-ideal input pulse profiles (this affects the relationship between peak and average power).
Neglecting fibre losses and launching chirp-free pulses will obviously create some discrepancies between the numerical and experimental results. More substantial difficulties arise from the fact that D(λ) was measured only in the range 1 to 1.7 µm, whereas the numerical modelling produces spectra that can cover a much broader range. To calculate the dispersion parameters for equation (5), a 4th-order polynomial (m = 6) was fitted to the available experimental CD profile. For each fibre type, the coefficients in the summation in equation (3) are given in Table 1. Adding terms beyond the 4th order did not lead to any noticeable change in the modelled behaviour.
Results and discussion
Soliton formation is expected in PCFs with appreciable flattened anomalous dispersion. This indeed is quite clearly observed in the numerical modelling of fibre A. Figure 4a shows evolution of the pulse intensity in the (t,z) plane for a pump power of Pav = 48 mW. Initially self-phase modulation causes pulse compression and later, when dispersive effects come into play, one can clearly see the formation and splitting away of the solitary pulse, which is delayed (that is, continuously shifted towards larger values of t) by the Raman effect. Figure 4b shows spectral evolution of the same initial pulse, showing that the solitary pulse is red-shifted, as is typical for Raman solitons. The pulse dynamics in this particular PCF are similar to those observed in standard telecommunication fibres. The only noticeable difference is that nonlinear effects, including the Raman part of the nonlinearity, are stronger in the PCF case, which leads to the formation of a Raman-shifted solitary wave at an earlier stage.
Our experimental measurements in this and all other cases show the dependence of output spectrum on the average input power. Comparing experimental and numerical results in Fig. 2a, good qualitative agreement is seen. In particular, two clear spectral traces deviating out towards longer wavelengths are present in both experiment and theory. These traces correspond to the formation of Raman-delayed solitary waves; most of the non-solitonic radiation continues to propagate at the initial pump wavelength. Although the modelling results are in qualitative agreement with experiment, there are differences in the relative brightness of the observed and predicted spectral lines, especially in the red part of the spectrum. This is most probably due to the combination of the uneven spectral response of the OSA and to the wavelength-dependent coupling losses into the instrument.
Modelling of pulse propagation in fibre B—the one with small anomalous CD—is shown in Fig. 2b and Fig. 5. The behaviour in this case is highly sensitive to the exact form of D(λ). Nevertheless there is good qualitative agreement between experiment and theory. After the initial stages of propagation, which is again dominated by the spectral broadening and temporal compression induced by self-phase modulation, a quasi-solitary pulse forms (Fig. 5a). This pulse immediately starts to radiate dispersive waves (waves that are too weak to be affected by nonlinearity). Unlike in the previous case (Fig. 4a), this radiation is strong enough to prevent formation of a robust solitary pulse. Another noticeable difference, compared to the previous case, is that spectral broadening now happens on both sides of the pump wavelength. In particular, one can clearly see formation of a robust bright feature at short wavelengths. This blue-shifted radiation, observed in both modelling and experiment, is due to the effect of so-called resonant radiation25.
Resonant radiation can be understood as follows. The quasi-soliton formed as a result of self-phase modulation can be approximately considered as almost non-dispersive pulse. Dispersion characteristic of such a pulse is a straight line in the wavevector-frequency plane with a slope given by the pulse group velocity. In contrast, small-amplitude linear waves are highly dispersive, their wavevectors being complicated functions of frequency. Resonant radiation occurs when one or more spectral components of the soliton are phase-matched to the dispersive waves, that is, their wavevectors are equal. Thus intersections of the two dispersion characteristics guarantee existence of the channels for resonant energy exchange between solitons and the ‘sea’ of ever-present linear dispersive waves. It results in the coherent amplification of phase-matched linear waves. In the case shown in Fig. 2b there are two resonant frequencies: one is on the blue side of the soliton spectrum and the other one is on the red. However, the red-shifted line is far detuned and therefore very weak, and hardly detectable in either experiment or modelling.
Finally, in Fig. 2c, the CD is normal everywhere and spectral broadening is caused by the higher-order dispersion terms. In this case, solitary wave formation, which takes place in both of the previous cases with β2 < 0, is absent. The excellent agreement between modelling and experiment arises from the fact that practically no energy is transferred into spectral areas where the CD is not known.
Future prospects
The ability to control light on the femtosecond timescale, by manipulating the CD profile precisely over a broad wavelength band, defines a new territory in nonlinear optics. The implications for laser physics and its applications are wide-reaching. For example, it is difficult (and expensive) to generate laser light at wavelengths beyond those offered by the small canon of available lasers. The efficient transfer of laser energy to new wavelengths is therefore a highly attractive prospect.
In Fig. 2a energy is transferred to longer wavelengths in a highly controllable way; in Fig. 2b there is conversion to a dramatically shorter wavelength—and the magnitude of the wavelength shift can be engineered. In Fig. 2c the spectrum broadens in a symmetrical manner, and at higher pump powers a supercontinuum is generated that can extend from the ultraviolet (∼350 nm) to the near-infrared (∼2,000 nm) (ref. 14), with a spectral brightness 10,000 times greater than sunlight. By adjusting the CD profile, supercontinua can be efficiently generated from the inexpensive, ultracompact, all-solid-state pulsed lasers that are becoming available, for example, at 1,064 and 1,550 nm, with pulse durations from ∼10 fs to ∼600 ps. Further control can be achieved by pre-chirping and pre-shaping the pump pulses26, or by exploiting nonlinear coupling between orthogonal polarization states of the light in birefringent PCFs (ref. 8).
An additional degree of freedom comes from the use of borosilicate or non-silica glasses27, where the intrinsic CD profile of the material is quite different and transparency is possible in new wavelength ranges, for example, out to 10 µm in the infrared, where there is a huge unsatisfied demand for tunable laser sources, driven largely by the requirement to sense hydrocarbons (such as methane and atmospheric pollutants) with strong molecular absorptions in the range 2 to 10 µm. Fibre delivery of high-energy femtosecond laser pulses for biomedical sensing and laser manufacturing (cutting and drilling of materials) requires precise control of CD—otherwise the pulses broaden before they arrive.
Better control of the CD profile will allow generation of spectrally flat supercontinua, which is highly desirable in many applications from optical coherence tomography16 to frequency metrology15. The unique combination of extremely high spatial resolution (∼ 1 µm) with huge spectral breadth and high brightness makes the characterization of diffractive structures—such as those that cause structural colour in nature28—quick and accurate. Finally, control of the dispersion profile in hollow-core gas-filled PCF will allow all sorts of super-efficient nonlinear devices for wavelength conversion, such as gas-Raman cells29. CD-engineered PCF seems set to revolutionize many areas of nonlinear laser science and technology and their applications.
References
Russell, J. S. Report on waves. in Report of the 14th Meeting of the British Association for the Advancement of Science 311–390, Plates XLII–LVII (London, 1845)
Zakharov, V. E. & Shabat, A. B. Exact theory of two-dimensional self-focusing and one-dimensional self-modulation of nonlinear waves in nonlinear media. Sov. Phys. JETP 34, 62–69 (1971)
Hasegawa, A. & Tappert, F. D. Transmission of stationary nonlinear optical pulses in dispersive dielectric fibres. Appl. Phys. Lett. 23, 142–144 (1973)
Mollenauer, L. F., Stolen, R. H. & Gordon, J. P. Experimental observation of picosecond pulse narrowing and solitons in optical fibers. Phys. Rev. Lett. 45, 1095–1098 (1980)
Smith, N. J., Knox, F. M., Doran, N. J., Blow, K. J. & Bennion, I. Enhanced power solitons in optical fibres with periodic dispersion management. Electron. Lett. 32, 54–55 (1996)
Omenetto, F. G., Moores, M. D., Reitze, D. H. & Taylor, A. J. Adaptive control of nonlinear femtosecond pulse propagation in optical fibers. Opt. Lett. 26, 938–940 (2001)
Agrawal, G. P. Nonlinear Fiber Optics (Academic, San Diego, 2001)
Ortigosa-Blanch, A., Knight, J. C. & Russell, P. St. J. Pulse breaking and supercontinuum generation with 200-fs pump pulses in photonic crystal fibers. J. Opt. Soc. Am. A 19, 2567–2572 (2002)
Herrmann, J. et al. Experimental evidence for supercontinuum generation by fission of higher-order solitons in photonic fibers. Phys. Rev. Lett. 88, 173901 (2002)
Coen, S. et al. Supercontinuum generation by stimulated Raman scattering and parametric four-wave mixing in photonic crystal fibers. J. Opt. Soc. Am. B 19, 753–764 (2002)
Gaeta, A. L. Nonlinear propagation and continuum generation in microstructured optical fibers. Opt. Lett. 27, 924–926 (2002)
Knight, J. C., Birks, T. A., Russell, P. St. J. & Atkin, D. M. All-silica single-mode fiber with photonic crystal cladding. Opt. Lett. 21, 1547–1549 (1996); erratum Opt. Lett. 22, 484–485 (1997)
Russell, P. St. J. Photonic crystal fibers. Science 299, 358–362 (2003)
Jones, D. A. et al. Carrier-envelope phase control of femtosecond mode-locked lasers and direct optical frequency synthesis. Science 288, 635–639 (2000)
Holzwarth, R. et al. An optical frequency synthesiser for precision spectroscopy. Phys. Rev. Lett. 85, 2264–2267 (2000)
Hartl, X. D. et al. Ultrahigh resolution optical coherence tomography using continuum generation in an air-silica microstructure optical fiber. Opt. Lett. 26, 608–610 (2001)
Wadsworth, W. J. et al. Supercontinuum generation in photonic crystal fibers and optical fiber tapers: a novel light source. J. Opt. Soc. Am. B 9, 2148–2155 (2002)
Reeves, W. H., Knight, J. C., Russell, P. St. J. & Roberts, P. J. Demonstration of ultra-flattened dispersion in photonic crystal fibers. Opt. Expr. 10, 609–613 (2002)
Lundin, R. Dispersion flattening in a W-fibre. Appl. Opt. 6, 1011–1014 (1994)
Lee, J., Song, G. H., Paek, U.-C. & Seo, Y. G. Design and fabrication of a nonzero-dispersion fibre with a maximally flat dispersion spectrum. IEEE Phot. Tech. Lett. 4, 317–319 (2001)
Hansryd, J. & Andrekson, P. A. Broad-band continuous-wave-pumped fiber optical parametric amplifier with 49 dB gain and wavelength-conversion efficiency. IEEE Phot. Tech. Lett. 13, 194–196 (2001)
Takushima, Y. & Kikuchi, K. 10-GHz, over 20-channel multiwavelength pulse source by slicing super-continuum spectrum generated in normal-dispersion fiber. IEEE Phot. Tech. Lett. 11, 322–324 (1999)
Tateda, M., Shibata, N. & Seikai, S. Interferometric method for chromatic dispersion measurement in a single-mode optical fiber. IEEE J. Quant. Electron. 17, 404–407 (1981)
Dudley, J. M. et al. Supercontinuum generation in air-silica microstructured fibers with nanosecond and femtosecond pulse pumping. J. Opt. Soc. Am. B19, 765–771 (2002)
Akhmediev, N. & Karlsson, M. Čerenkov radiation emitted by solitons in optical fibers. Phys. Rev. A 51, 2602–2607 (1995)
Weiner, A. Femtosecond pulse shaping using spatial light modulators. Rev. Sci. Instrum. 71, 1929–1960 (2000)
Ravi Kanth Kumar, V. V. et al. Extruded soft glass photonic crystal fiber for ultrabroad supercontinuum generation. Opt. Expr. 10, 1520–1525 (2002)
Parker, A. R. 515 million years of structural colour. J. Opt. A: Pure Appl. Opt. 2, R15–R28 (2000)
Benabid, F., Knight, J. C., Antonopoulos, G. & Russell, P. St. J. Stimulated Raman scattering in hydrogen-filled hollow-core photonic crystal fiber. Science 298, 399–402 (2002)
Acknowledgements
We thank B. J. Mangan of BlazePhotonics Ltd for technical assistance in fabricating the fibres.
Author information
Authors and Affiliations
Corresponding authors
Ethics declarations
Competing interests
The authors declare that they have no competing financial interests.
Rights and permissions
About this article
Cite this article
Reeves, W., Skryabin, D., Biancalana, F. et al. Transformation and control of ultra-short pulses in dispersion-engineered photonic crystal fibres. Nature 424, 511–515 (2003). https://doi.org/10.1038/nature01798
Received:
Accepted:
Issue Date:
DOI: https://doi.org/10.1038/nature01798
This article is cited by
-
Novel shaped solid-core photonic crystal fiber for the numerical study of nonlinear optical properties
Optical and Quantum Electronics (2022)
-
From spectral broadening to recompression: dynamics of incoherent optical waves propagating in the fiber
PhotoniX (2021)
-
Temperature gradient engineered to maintain pulse shape and efficiency of a 532 nm picosecond second-harmonic generation
Applied Physics B (2020)
-
Optical microfiber-based ultrafast fiber lasers
Applied Physics B (2019)
-
Design and engineering of dispersion and loss in photonic crystal fiber 1 × 4 power splitter (PCFPS) based on hole size alteration and optofluidic infiltration
Optical and Quantum Electronics (2019)
Comments
By submitting a comment you agree to abide by our Terms and Community Guidelines. If you find something abusive or that does not comply with our terms or guidelines please flag it as inappropriate.




