Abstract
Objective:
To examine the associations of: (a) neonatal sex with mild-to-moderate and severe birth asphyxia, (b) fetal sex with mortality due to birth asphyxia and (c) neonatal race with severe birth asphyxia.
Study Design:
We used the Nationwide Inpatient Sample (NIS) Database including the years 1993 to 2008 or its pediatric sub portion Kid’s Inpatient Database (KID) for the years 1997, 2000, 2003 and 2006. NIS database is collected annually from more than 1000 hospitals across the United States for millions of inpatient discharge summaries. We included newborns older than 36 weeks gestational age or more than 2500 g at birth. We excluded newborns with congenital heart disease, major congenital anomalies and chromosomal disorders. We compared birth asphyxia in males to females, and in each race compared with whites, and examined effect of sex in association with birth asphyxia within each race/ethnicity.
Result:
There were 9 708 251 term infants (51.8% males) included in the study. There were 15 569 newborns diagnosed with severe birth asphyxia (1.6 in 1000); of them 56.1% were males. Odds ratio (OR)to have severe birth asphyxia in male newborns was 1.16 (confidence interval (CI): 1.12 to 1.20, P<0.001). Compared with Whites, African-American newborns had more birth asphyxia, OR 1.23 (CI: 1.16 to 1.31, P<0001), whereas Hispanics and Asians had less birth asphyxia. Native American newborns did not differ from their white counterparts. On comparing males to females within each race, male sex was associated with increased birth asphyxia in all races but Native American.
Conclusion:
Male sex and African-American race were associated with increased prevalence of birth asphyxia.
Introduction
Birth asphyxia is the 5th largest cause of death among children under five years worldwide. The World Health Organization estimates about 3 to 4 million cases of birth asphyxia to take place every year and about similar number of stillbirth cases associated with birth asphyxia. Globally, it is responsible for an estimated annual mortality of 900 000 newborns every year and accounts for more than 20% of neonatal deaths and 25% of stillbirths.1, 2, 3 In US, intrauterine hypoxia and birth asphyxia is the 10th leading cause of neonatal death.4 Those who survive severe birth asphyxia face long-term neurological impairments and complications ranging from learning disabilities and mental retardation to cerebral palsy.1, 2, 3
Some studies have shown increased rates of fetal distress, worse Apgar scores and increased risk for neonatal death among males; however, the evidence associating fetal sex with birth asphyxia is scarce.5, 6, 7 To our knowledge, there are no large-scale studies that addressed the association of birth asphyxia (mild, moderate or severe) with sex and race/ethnicity of the newborn. Findings from previous studies cannot completely estimate the burden of birth asphyxia in both sexes and in different races/ethnicities because the majority of them have been limited to a state-level statistics or were conducted on populations outside the United States.1, 2, 5, 8
In this study, we assessed the association of fetal sex with birth asphyxia from a large database collected from across the US reflecting different care levels and diverse insurance background while controlling for several possible confounders. The same association in relation to race/ethnicity of the newborn was examined to determine the influence of race and sex in protecting the newborn from birth asphyxia. Our aims were: (1) to examine the association of neonatal sex with mild-to-moderate and severe birth asphyxia, (2) to examine the association of fetal sex with mortality due to birth asphyxia and (3) to examine the association of severe birth asphyxia in-between different race categories and within each race category, in term infants after controlling for confounders.
Methods
Data sources and management
We used the de-identified datasets produced by the Healthcare Cost and Utilization Project (HCUP) from the federal Agency for Healthcare Research and Quality (AHRQ).9 HCUP datasets, the largest healthcare database in the US, are reproduced from an all-payer national database collected annually from millions of inpatient hospitalization records across the United States. These datasets reflect more than 1000 hospitals from across the United States with various care levels (primary–tertiary), types of insurance (public, private) and academic settings (university–general). Data on hospitalization records were coded by medical records hospital staff using International Classification of Disease 9 ‘ICD-9’ for different demographic and clinical variables and Current Procedural Terminology ‘CPT’ for different surgical and non-surgical procedures done for the patient during the hospitalization. HCUP datasets include more than 100 data elements for each hospital stay, such as primary and secondary diagnoses, primary and secondary procedures, source of admission, discharge status, disposition, patient demographics, expected payment source and total charges.
HCUP produced the NIS dataset and its pediatrics version, KID.9 NIS dataset represent 10% sample of all hospital admissions during any given year for patients of all ages. KID dataset has similar data elements to those included in the NIS but produced every three years and only for pediatric patients. The KID dataset for the years 1997, 2000, 2003 and 2006 were used in this analysis. NIS dataset were used whenever KID database were not available for the years: 1993, 1994, 1995, 1996, 1998, 1999, 2001, 2002, 2004, 2005, 2007 and 2008.
Variables extracted from HCUP data included age of the newborn on the day of admission, gestational age category, birth weight category, sex, race/ethnicity, source of admission, neonatal diagnoses encountered during the admission, birth asphyxia related ICD-9 code and disposition at discharge.
Study design and population
We included all hospital discharge records that had newborn-related diagnostic codes. All preterm newborns defined as being delivered before completing 36 weeks of gestation, and all low-birth weight newborns defined as an infant delivered weighing less than 2500 g were excluded from the study sample. We also excluded all newborns with major congenital anomalies or chromosomal disorders that could affect the health and well-being of the newborn. Newborns with missing ICD codes for sex or race were also excluded from the study sample. Those newborns that were transferred out from the hospital of birth were excluded to avoid duplicate inclusion at both the birth and receiving hospitals. We used the race/ethnicity as assigned to newborns in their hospital discharge summary that always followed mothers’ race/ethnicity.
Newborns included in the study were identified in relation to birth asphyxia as follow: no birth asphyxia, mild-to-moderate birth asphyxia, severe birth asphyxia who survived and neonatal mortalities associated with birth asphyxia. In addition to ICD-9 code (768.6) for the diagnosis of mild-to-moderate birth asphyxia, we also considered cases presented with fetal distress before onset of labor, fetal distress first noted during labor and delivery or fetal distress unspecified as to time of onset (ICD-9 codes: 768.2, 768.3, 768.4), respectively. We used ICD-9 code (768) to identify cases with severe birth asphyxia, along with cases presented with intrauterine hypoxia and birth asphyxia, hypoxic-ischemic encephalopathy or unspecified severity of birth asphyxia (ICD-9 codes: 768.5, 768.7, 768.9). Mortality due to birth asphyxia was determined if an infant was diagnosed with severe birth asphyxia and was reported as in-hospital death.
Study sample was classified into two groups: males and females. A second predictor was used to examine the differential effects of race/ethnicity on the outcome. In addition, vaginal or Cesarean-section delivery, singleton or multiple pregnancy, presence of associated placenta previa, chorioamnionitis, forceps delivery, placental abruption, cord prolapse, uterine dysplasia, maternal anesthesia, abnormal umbilical cord, nuchal cord, breech or mal-presentation, maternal infection, maternal hypertension and precipitous delivery were analyzed as potential confounders.
Statistical analysis
Frequency analysis, χ2 and Fisher exact tests and logistic regression models were used to examine the association of newborn’s sex and/or race/ethnicity with variable degrees of birth asphyxia using SAS 9.1 (SAS Institute, Cary, NC, USA). Female sex was used as the reference for sex comparisons. White race (most frequent in sample) was used as the reference for racial comparisons. Demographic characteristics of the study population were produced using the frequency procedure. Unadjusted ORs, 95% CI and P-values were calculated using the χ2 and fisher exact tests. In addition to fetal sex, race/ethnicity and degrees of birth asphyxia, each obstetric and neonatal outcome variable was examined using χ2 and Fisher exact tests to calculate unadjusted ORs. Multiple logistic regression analyses were performed to examine associations of birth asphyxia with fetal sex, race/ethnicity while adjusting for the effect of included confounders. Adjusted ORs examining birth asphyxia and fetal sex were calculated within each race and compared with the reference group. In this study, P-values were considered statistically significant; if they were <0.05,. ORs calculated in logistic regression models were used considering birth asphyxia is a rare condition which can closely approximate the relative risk. IRB approval was obtained from the George Washington University Medical Center.
Results
The study included 9 708 251 newborns; of them (51.8%) were males. In this sample, 43.2% were Whites, 9.6% were African Americans, 14.2% were Hispanics, 3.7% were Asians/Pacific Islanders and 0.54 were Native Americans, whereas the remaining records did not record any race. Females and males had a similar racial breakdown. Male sex was associated with increased Cesarean-section deliveries, nuchal cord, cord prolapse, placental abruption, placenta previa, vacuum and forceps deliveries and mal-presentations. Table 1 shows percentages and adjusted ORs of the demographic and obstetrical characteristics of both males and females in the sample.
Mild–to-moderate asphyxia was diagnosed in 87 451 records representing (0.9%) of the sample. Those who had the diagnosis of severe birth asphyxia were 15 569 (0.16%) newborns; of them, 1472 (9.45%) died during hospitalizations. On comparing males to females, 0.97% male newborns had mild-to-moderate birth asphyxia compared with 0.83% females with significant OR of 1.11 (CI: 1.09 to 1.13, P<0.001) after adjusting for associated demographic and obstetric risk factors. Among severe birth asphyxia cases, males represented 0.17% compared with 0.15% females, OR=1.16 (CI: 1.12 to 1.20, P<0.001) after adjusting for associated demographic and obstetric risk factors. Among asphyxiated newborns who died during their hospitalization, 797(9.2%) were males compared with 666(9.7%) females. Mortality associated with birth asphyxia did not relate to fetal sex, OR=1.05 (CI: 0.99 to 1.13, P=0.125), Table 1 and Figure 1.
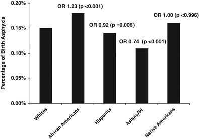
Compared with Whites (both males and females), African-American newborns had more birth asphyxia, OR=1.23 (CI: 1.16 to 1.31, P<0001), whereas Hispanics and Asians had less birth asphyxia; OR=0.92 (CI: 0.87 to 0.98, P=0.018) and OR=0.74 (CI: 0.66 to 0.83, P<0.001), respectively. Native American newborns didn’t differ from their White counterparts, Supplementary Table 2A. On comparing males of different races/ethnicity to White males, Black males were shown to have increased risk of severe birth asphyxia OR=1.28 (CI: 1.18 to 1.38, P<0001). Asian/Pacific Islander males had decreased risk of severe birth asphyxia when compared with White males OR=0.74(0.64 to 0.87, P<.0001), Supplementary Table 2B and Figure 2.
When examining the interaction of sex with race, the odds of severe birth asphyxia was greatest in African-American males (OR=1.26, CI: 1.13 to 1.40, P<0.001) and Hispanic males (OR=1.26, CI: 1.14 to 1.39, P<0.001), and to a lesser extent in White males (OR= 1.17, CI: 1.11 to 1.24, P<0.001) compared with their female counterparts. There were no significant differences between males and females among Asian/Pacific Islanders or Native Americans, Supplementary Table 2C and Figure 3.
Birth asphyxia was associated with Cesarean-section deliveries, precipitous deliveries, placental abruption, placenta previa, nuchal cord, cord prolapse, abnormal cord, forceps or vacuum deliveries, breech or mal-presentations, chorioamnionitis and maternal hypertension. Supplementary Table 3 shows percentages and adjusted ORs of demographic and obstetrical characteristics associated with severe birth asphyxia.
Discussion
Birth asphyxia remains one of the top ten conditions responsible for neonatal death in the US and is recognized as an important cause of morbidity among newborns. Neurological complications in survivors impose tremendous medical and financial burdens that affirm the importance of taking swift steps to prevent birth asphyxia.1, 2, 3, 4 Therefore, understanding factors and conditions that associate with this disease is an important step in this endeavor. Recent studies have suggested an increased vulnerability of male newborns to birth asphyxia. A small study showed asphyxiated females to have less mortality.1 Data from the 1991 to 2000 California statewide hospital discharge database showed a birth asphyxia incidence of 4.9 per 1000 live births among males compared with 4.2 per 1000 live births among females. Male gender, after adjusting for ethnicity, socioeconomic status, and birth weight, was associated with increased risk of birth asphyxia.5 Males sex was identified in another study as an independent risk for intra-partum asphyxia.7
Our study shows that male sex is independently associated with both mild-to-moderate and severe birth asphyxia. The study findings, like previous studies, reported a consistent difference among males and females after adjusting for several neonatal and obstetric risk factors.1, 7 Unlike previous reports where fewer mortality cases were reported in females compared with males, our analyses did not show a significant difference.
Biological mechanisms have been suggested to explain this male disadvantage phenomenon.10 The explanation could involve a transient cerebral anoxia and death of respiratory control neurons in the brainstem that could prevent emergency resuscitation or auto resuscitation in males.7 A study suggested that the Y chromosome does not harm; the female protection at the times of cerebral anoxia is rather related to the presence of an additional X chromosome. Therefore, females are more resistant to hyoxia than females.7
Though a clear-cut reason explaining the elevated risk of birth asphyxia among males has not been put forth, the disparity observed among the sexes is also substantiated within each race/ethnicity group. Few studies have included race/ethnicity or reported on ethnic differences. Wu et al.5 examined the association of race and birth asphyxia among African Americans, Whites, Hispanics and Asians. The study reported a 28% increased risk of birth asphyxia among African Americans compared with Whites. These results are similar to our findings. Moreover, when we examined sex differences within each race, African-American and Hispanic male newborns had the highest association with birth asphyxia compared with their female counterparts. Similar to sex differences, there has been no confirmed explanation to account for racial differences.
This study benefits from several strengths. Foremost, the study was conducted on a national in-hospital dataset in contrast to previous studies that were limited to statewide datasets.1, 3, 5, 8, 11, 12 The large sample size in this database allows to study a relatively rare conditions such as birth asphyxia. The study also included many obstetrical risk factors that were significantly associated with birth asphyxia. The database provided information on several obstetrical risk factors that were not included in previous studies, allowing to control of additional potential confounders. Furthermore, this study categorized birth asphyxia into two groups: severe and mild-to-moderate. Previous studies reported birth asphyxia as a single outcome, including mild, moderate and severe cases altogether or focusing only on severe asphyxia.1, 2, 3, 5, 6, 7
Some limitations were observed in this study. Although using a national database that identified specific ICD-9 diagnostic codes for birth asphyxia, it is impossible to account for variations in the diagnostic practices of physicians. The study may also be limited due to our inability to identify some demographic characteristics in the analysis;. Socioeconomic status was not included in this study, although it was previously shown to associate with birth asphyxia.5, 8
In conclusion, this study support previous findings that female newborns are more protected than males when exposed to birth asphyxia injuries. Males were at an increased risk for mild-to-moderate and severe birth asphyxia. African-American newborns have the greatest risk for severe birth asphyxia. Being aware of the sex and race/ethnicity vulnerability to birth asphyxia, clinicians may be able to anticipate and better prepare for high-risk populations. Additional studies are needed to clarify the role of genetics in birth asphyxia.
References
Lee ACC, Mullany LC, Tielsch JM, Katz J, Khatry SK, LeClerq SC et al. Risk factors for neonatal mortality due to birth asphyxia in southern Nepal: a Prospective, Community-Based Cohort Study. Pediatrics 2008; 121: e1381.
Bang AT, Bang RA, Baitule SB, Reddy HM, Deshmukh MD . Management of birth asphyxia in home deliveries in rural Gadchiroli: the effect of two types of birth attendants and of resuscitating with mouth-to-mouth, tube-mask or bag-mask. J Perinatol 2005; 25 (Suppl 1): S82–S91.
Lawn JE, Bahl R, Bergstrom S, Bhutta ZA, Darmstadt GL, Ellis M et al. Setting research priorities to reduce almost one million deaths from birth asphyxia by 2015. PLoS Med 2011; 8 (1): e1000389.
Miniño AM, Heron M, Smith BL . Deaths: Preliminary data for 2004 Health E-Stats http://www.cdc.gov/nchs/data/hestat/prelimdeaths04/preliminarydeaths04.htm Released 19 April 2006 accessed on 12 December 2013.
Wu YW, Backstrand KH, Zhao S, Fullerton HJ, Johnston SC . Declining diagnosis of birth asphyxia in california: 1991-2000. Pediatrics 2004; 114: 15846.
Bekedam DJ, Engelsbel S, Mol BWJ, Buitendijk SE, Van der pal-de Bruin KM . Male Predominance in Fetal Distress During Labor. Am J Obstet Gynecol 2002; 187: 1605–1607.
Mage DT, Donner M . Female resistance to hypoxia: does it explain the sex difference in mortality rates? J Women’s Health 2006; 15 (6): 786–794.
Milsom I, Ladfors L, Thringer K, Niklasson A, Odeback A, Thornberg E . Influence of maternal, obstetric and fetal risk factors on the prevalence of birth asphyxia at term in a Swedish urban population. Acta Obstet Gynecol Scand 2002; 81: 909–917.
HCUP Nationwide Inpatient Sample[a5] (NIS) and Kid’s Inpatient Database (KID). Healthcare Cost and Utilization Project (HCUP). 1993-2008. Agency for Healthcare Research and Quality, Rockville, MD www.hcup-us.ahrq.gov/nisoverview.jsp Accessed on 1 December 2013.
Naeye RL, Burt LS, Wright DL, Blanc WA, Tatter D . Neonatal mortality, the male disadvantage. Pediatrics 1971; 48 (6): 902–906.
Becher J, Stenson B, Lyon A . Is intrpartum asphyxia preventable? BJOG 2007; 114: 1442–1444.
Ingemarrson I, Herbst A, Thorngren-Jerneck K . Long term outcome after umbilical artery acidaemia at term birth influence of gender and duration of fetal heart rate abnormalities. BJOG 1997; 104: 1123–1127.
Acknowledgements
We thank Justine Maxwell who performed the statistical analysis and contributed to the design and writing initial version of this manuscript.
Author contribution
Mohamed A Mohamed conceptualized and designed the study, reviewed the statistical analysis, drafted the initial manuscript and approved the final manuscript as submitted. Hany Aly reviewed and revised the manuscript and approved the final manuscript as submitted.
Author information
Affiliations
Corresponding author
Ethics declarations
Competing interests
The authors declare no conflict of interest.
Additional information
Supplementary Information accompanies the paper on the Journal of Perinatology website
Supplementary information
Rights and permissions
About this article
Cite this article
Mohamed, M., Aly, H. Impact of race on male predisposition to birth asphyxia. J Perinatol 34, 449–452 (2014). https://doi.org/10.1038/jp.2014.27
Received:
Revised:
Accepted:
Published:
Issue Date:
DOI: https://doi.org/10.1038/jp.2014.27
Keywords
- HCUP
- AHRQ
- hypoxic-ischemic encephalopathy
- HIE
- ethnicity
- sex
Further reading
-
Lipid peroxides in the serum of asphyxiated neonates
Journal of Perinatology (2016)


