Abstract
Regression of log serum concentrations or log urine concentrations on time elapsed after primary exposure ceases is a common method for estimating the elimination rates and corresponding half-lives for environmental contaminants. However, this method produces bias in the presence of ongoing background exposures. A general formula for the amount of bias introduced by background exposures under any single compartment pharmacokinetic model is derived here, and simpler expressions and graphical results are presented for the special case of regularly spaced biomarker measurements. The formulas are also applied to evaluate the potential bias from background exposures in recently published half-life estimates for perfluorooctanoate. These published half-lives are likely to be overestimated because of bias from background exposures, by about 1–26%. Background exposures can contribute substantial bias to half-life estimates based on longer follow-up times, even when the background contribution constitutes a small fraction of total exposure at baseline.
Introduction
Regression of log serum concentrations on time is a long practiced method for estimating first-order elimination rates of contaminants and drugs after exposure ceases.1, 2, 3, 4, 5, 6, 7, 8 Similar methods are used for urine concentrations and other biomarkers. After exposure ceases, the first-order elimination implies the following equation:

where Ct is the serum concentration at time t, C0 is the serum concentration at baseline (time 0), and k is the elimination rate constant. Therefore, if the errors are independent, normally distributed, and homoscedastic, the slope from linear regression of log concentrations reliably estimates −k, and the intercept estimates ln C0. The apparent half-life t1/2=ln(2)/k. Adjustment for covariate effects on the serum concentrations is easily handled by adding additional terms to the model on the right hand side of Eq. (1), provided that the covariates have constant multiplicative effects on serum concentrations over time.7
Studies of post-shift workers,2, 5 retired workers,4 fasting subjects,6 and subjects undergoing exposure interventions7, 9 have used regression of log biomarker concentrations on time to estimate elimination rate constants and corresponding half-lives for environmental contaminants. However, Eq. (1) does not apply when any of the exposures are continuing, as occurs in many studies of environmental contaminants because of ongoing background exposures. With a constant background exposure that continues after some larger exposure ceases, as might be expected for retired workers, residents who leave a contaminated community, or anyone who has undergone an exposure intervention that eliminates most but not all exposure to a toxicant, the first-order elimination model implies the following:

where C∞ is the background contribution to the serum concentration at any point in time.10 When C∞ is very small relative to C0, Eqs. (1) and (2) are approximately equal. Thus, small background exposures are typically ignored allowing the use of Eq. (1) to estimate the elimination rate and corresponding half-life. However, no formal guidance appears to be available regarding how small background exposures must be in order to be ignored safely. This manuscript formally investigates the magnitude of bias introduced by unaccounted background exposures, providing a simple closed-form equation that can be used in the study design and evaluation of published half-life estimates that do not account for background exposures.
Methods
Suppose that a single serum measurement has been made for each of the n individuals, or that n serum measurements have been made for one individual. When no other covariates are included in a regression of log concentration versus time, the elimination rate constant k, (the negative slope) is estimated by:

where ti is the time of serum sample for measurement i, Ci is the serum concentration for measurement i, and
. Assuming a constant background exposure, substituting the expression for ln Ci from Eq. (2) along with a normally distributed error term ɛi into Eq. (3) yields:

Let f be the fraction of exposure attributed to background sources at baseline, C∞ / C0. Because the expected value of the error term is zero, the expected value of the elimination rate estimate from Eq. (4) is then:

Because
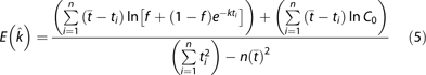
is zero and ln C0 does not vary over time, the last term in the numerator of Eq. (5) is equal to zero. Equation (5) thus simplifies to

If prior estimates of the elimination rate constant (or the half-life) and the relative contribution of background exposures are available, Eq. (6) can be used to determine whether any proposed study design is likely to yield nearly unbiased estimates (i.e., whether or not E (k̂) for simple linear regression of log concentrations versus time. Alternatively, Eq. (6) can be used to determine the fraction of background exposure that would be necessary to explain an anomalous observed elimination rate estimate k̂, compared with a prior published value of k. This can be accomplished using simple univariate optimization, solving for f.
It is instructive to consider the special case in which the time points are evenly spaced, so that ti=Δt(i−1) for i=1, 2, …, n. In this special case
the sum of the series
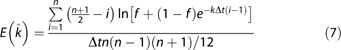
and the following expression is obtained from Eq. (6):

In this special case of evenly spaced samples, the amount of bias introduced into the half-life estimate by log concentration regression in the presence of background exposures, written as a fraction of the true half-life, is

Equation (8) provides the half-life bias fraction for evenly spaced samples, and is accurate at large sample sizes or when the error terms are relatively small (see Appendix).
Notably, the bias fraction for evenly spaced samples shown in Eq. (8) is a function of only three distinct quantities: f, n, and
Recall that f is the ratio of the background serum concentration to the baseline serum concentration, n is the number of measurements, and 
is the length of time between any two adjacent measurements, in terms of the number of half-lives. Let m be the total number of “elapsed half-lives” across all n measurements; thus 
Results
Figure 1 is the contour plot for the bias fraction shown in Eq. (8) for n=2, the case with only two measurements, plotted for a variety of background exposure fractions and total elapsed half-lives. This figure shows the extent of overestimation of the half-life for the two-sample case. For example, with a background exposure that contributes only 1% of the initial serum concentration, the log linear regression estimate from two serum samples will overestimate the half-life by less than 2% after one half-life, less than 3% after two half-lives, and less than 5% after three half-lives. In contrast, when background exposures contribute 2% to the initial serum concentration, the half-life will be overestimated by about 3% after one half-life, nearly 5% after two half-lives, between 5% and 10% after three half-lives, and over 10% by four half-lives.
Approximate bias in log concentration regression half-life estimates in the presence of background exposures. Contours show the bias as a fraction of the true half-life, depending on the ratio of background initial to biomarker concentration (f) and the number of elapsed half-lives between the two time points (m).
Interestingly, increasing the number of measurements has only a small impact on the bias fraction when the background fraction and total elapsed time are held constant, for evenly spaced samples. For example, a contour plot for n=5 is almost identical to Figure 1, with a maximum absolute difference of only 1.3% in the bias fraction in the plotted range, occurring in the upper right corner with f=0.2 and m=5. As the background fraction and total elapsed half-lives decrease, the difference in bias fractions between n=2 and n=5 becomes negligible. The bias fractions for larger n also appear very similar, with a maximum absolute difference of 3.2% for n=1000 compared with n=2. The case with n=2, as shown in Figure 1, may therefore offer a reasonable approximation to the bias fraction for cases with a larger number of evenly spaced samples, relying only on the total elapsed time and the background fraction. For n=2, Eq. (8) reduces to a simpler form that is more easily applied:

Perfluorooctanoate (PFOA) half-life examples
Bartell et al.7 fit linear mixed effects models to log serum PFOA concentrations to estimate the half-life of PFOA in 200 adult residents of a US community exposed primarily through contaminated drinking water. The study included up to six serum samples per participant collected over 1 year from 2007 to 2008, before and after activated carbon filters were installed in the two municipal water systems serving the participants. The mean serum PFOA concentration for the participants was 180 ng/ml at baseline. The median PFOA serum concentration for the US general population was approximately 4 ng/ml in 2003–2004.11 Bartell et al.7 assumed that background exposures were negligible in their study population and reported a median serum half-life estimate of 2.3 years for PFOA.
Two years of follow-up of another residential cohort exposed to PFOA via drinking water in Arnsberg, Germany yielded a geometric mean half-life estimate of 3.26 years, using two serum samples each for 65 residents, including both children and adults.9 These residents had lower exposures than the US residential cohort, with strata-specific baseline geometric mean PFOA serum concentrations ranging from 22.1 ng/ml for children to 25.3 ng/ml for men. A previous study of a retired US occupational cohort reported an average PFOA half-life estimate of 3.8 years from 5 years of follow-up with a baseline median serum PFOA concentration of 408 ng/ml and up to eight measurements per participant.4
All three PFOA half-life estimates relied on some form of log concentration regression. By how much might these PFOA half-life study estimates be overestimated because of background exposures? If background exposures contribute about 4 ng/ml to serum PFOA (as per the National Health and Nutrition Examination Survey (NHANES) data) for all three cohorts, then f=0.0098 for the occupational cohort, f=0.022 for the US residential cohort, and f=0.158 for the men in the German residential cohort. There were 5, 1, and 2 years of follow-up in the cited publication for the US occupational cohort, US residential cohort, and German residential cohort, respectively. If the true half-life is 2.3 years, Eq. (9) indicates an approximate bias fraction of 1.6% for the occupational cohort, 2.7% for the US residential cohort, and 26% for men in the German residential cohort, because of lack of adjustment for background exposures. Equations (8) and (9) produce nearly identical estimates for each of the three studies (equivalent to two digits), using n=8 for the occupational cohort, n=6 for the US residential cohort, and n=2 for the German residential cohort. Equation (9) is derived for the special case in which n=2, so the calculations in Eqs. (8) and (9) are identical for the German cohort.
This analysis indicates that background exposures may introduce substantial bias for the published analysis of the German cohort, explaining some of the difference between the PFOA half-life estimates for the two residential cohorts (2.3 years and 3.3 years), but such bias is likely to be minimal for the estimates from the occupational cohort (3.8 years). Bias from background exposures occurs, but may be small enough to be negligible in the published analyses of the US residential and occupational cohorts. The present analysis examines the potential impact of background exposures on median or geometric mean half-life estimates, but bias may be more substantial in participants with lower exposure such as the 17 individuals in the stratum with the lowest exposures (bottled water drinkers in the Lubeck Public Service District) in the US residential cohort, with a mean baseline serum concentration of only 58 ng/ml. Moreover, there was some evidence of ongoing PFOA exposures among the US residential cohort through other locally contaminated sources such as homegrown produce consumption. With only a doubling of the local background exposures, the bias predicted by Eq. (9) would be 18.7% for the Lubeck bottled water drinkers in the US residential cohort. Indeed, a lower half-life estimate of only 2.1 years was obtained when homegrown vegetable consumers were excluded from the analysis.
Differences among the three half-life estimates could also be due to age-dependent elimination,9 different background exposures in the three populations, or more complex pharmacokinetics. For example, biphasic elimination (violating the single compartment model assumptions) could explain much of the differences between these three estimates, because the published US residential cohort estimate is based on only the first year of follow-up, and most participants in the occupational cohort had been retired for some years before the initial serum measurement.
Discussion
Equation (9) is derived assuming that the measurements are only made at two time points, but it may be applied more generally as a simple approximation because the bias fraction is fairly insensitive to the total number of measurements if they are evenly spaced. Some caution is warranted in interpreting the example calculations performed here, as not all of these studies used exactly evenly spaced measurements. In two of the PFOA studies, more measurements were made at early time points than at later time points, and not all participants were measured at every time point. The effect of uneven spacing on the bias fraction can be determined using Eq. (5) when the exact distribution of sampling times is known, but exact spacing often varies by participant and the exact distribution is generally not reported in publications. When original study data are available, direct adjustment methods reviewed later in this manuscript should be considered as alternatives to log concentration regression.
Although the US residential cohort was originally analyzed using mixed effects models and several analyses adjusted for confounding variables, the equations presented here were only derived for simple linear regressions of log concentrations versus time. Adjustment for confounding variables or full extension to the mixed effects model setting would require additional derivations or simulation studies. In addition, these equations assume a constant background rate, not allowing for background exposures to vary over time. With additional research efforts, the bias equations might be extended to these more complex settings. However, such effort might be better spent developing or using alternative statistical methods that attempt to adjust half-life estimates for background exposures using the original data. The equations presented here are likely best suited to determining whether or not the bias is likely to be important when planning a new study, or as an approximation when evaluating published studies, rather than for bias-adjustment.
Potential Solutions
One common method of adjustment during original data analysis is to treat the background biomarker concentration C∞ as a known constant, subtracting it from all observed concentrations before log transformation and linear regression. Inspection of Eq. (2) shows that this approach should yield an unbiased estimate of the elimination rate and half-life, provided that the correct value of C∞ is selected. Published examples include dose reconstruction for former dioxin workers12 and in a recently published cross-sectional analysis of former residents of a community exposed to PFOA via drinking water.13 However, ad hoc selection of C∞ using external data is risky because results may be highly sensitive to the selected value of C∞.13 Moreover, incorrect values can lead to substantial bias, as demonstrated in this paper when C∞ is inaccurately assumed to be 0. Selection of C∞ is more difficult than it may seem, as background exposures typically vary across individuals, regions, and over time. For example, although NHANES summary statistics are often used as external estimates of background exposures for highly exposed populations, local background exposures may differ and measured biomarker concentrations often vary widely among NHANES participants. Subtraction of the estimated background concentration can also create negative concentrations for some participants, causing additional problems in log concentration regression. Selective omission of those participants can also introduce bias because the excluded participants are more likely to be fast eliminators relative to the typical participant.
A design-based approach to limiting bias from background exposures is to restrict participant enrollment or data analysis to those individuals with a high initial biomarker concentration, so that nobody approaches background biomarker concentrations throughout the entire period of follow-up. Unfortunately, this approach has been shown to introduce truncation bias when selection occurs after biomarker concentrations have peaked, because those with slower elimination rates are preferentially enrolled.14 Michalek et al. suggest an iterative approach to correct the truncation bias, but their approach does not address bias introduced by background exposures.
The most promising solution to the adjustment for background exposures is asymptotic regression, based on the formula shown in Eq. (2). Asymptotic regression is less familiar than traditional log concentration regression, but is available for both fixed effect regression and mixed effects models,15 and has been applied successfully to polybrominated diphenyl ethers10 and polycyclic aromatic hydrocarbons.16 This approach has the strongest theoretical basis if the one compartment model is appropriate, as the study data are used to determine the most likely contribution of background exposures. However, asymptotic regression can only be applied when sufficient data are available from both short-term and long-term follow-up, so that the half-life is evident during early follow-up and the asymptote (the background serum concentration) is evident from longer follow-up. Without sufficient data to observe both aspects of the decay curve, the algorithms used to fit asymptotic regression models fail to converge. Indeed, initial attempts to apply asymptotic regression methods to the US residential PFOA cohort have failed, likely because of the fact that PFOA serum levels are still in decline after only one year and provide no empirical basis for estimating the asymptote.
Conclusions
Human studies of toxicant elimination rates and half-lives are critical for environmental health research and regulation. Although regression of log biomarker concentrations after exposure ceases is a long practiced and widely accepted method of estimating elimination rates for simple one compartment pharmacokinetic models, it produces biased estimates in the presence of any ongoing exposures. The bias is often thought to be negligible, but careful justification for that assumption is rarely presented. Indeed, Figure 1 shows that a relatively small background exposure contribution is not sufficient to justify linear regression using log concentrations. Bias can be substantial for more than two half-lives of follow-up time, even when background exposures are thought to contribute only 5% to the total exposure. Such bias can give a false impression of a longer half-life, concentration-dependent elimination, or accumulation in fat or other bodily tissues. Conversely, these violations of the simple one compartment model can give a false impression of the extent of ongoing background exposures. One of the limitations of observational human biomarker studies is that the concentration curves can appear very similar under different mechanisms of: (1) unknown background exposures under the one compartment model, (2) multi-compartment kinetics, and (3) concentration-dependent elimination.
Unfortunately, background exposures are a very common feature for environmental toxicants! This bias increases dramatically in magnitude as the serum concentrations approach background concentrations because of low initial concentrations or long-term follow-up. In some cases, overestimation of the half-life by log concentration regression is only by a few percent and may be small enough to be reasonably ignored. In other cases, background exposures may contribute a substantial amount of bias. Researchers are advised to carefully consider the impacts of background exposures when estimating half-lives using regression of log concentrations, as significant bias can result even when initial biomarker concentrations are quite high relative to background levels. When formal inspection reveals that background exposures could cause significant bias, researchers should consider alternative study designs or statistical methods that directly adjust for background exposures.
Abbreviations
- NHANES:
-
National Health and Nutrition Examination Survey
- PFOA:
-
perfluorooctanoate
References
Foulds G., Shepard R.M., and Johnson R.B. The pharmacokinetics of azithromycin in human serum and tissues. J Antimicrob Chemother 1990: 25 (Suppl A): 73–82.
Brzeznicki S., Jakubowki M., and Czerski B. Elimination of 1-hydroxypyrene after human volunteer exposure to polycyclic aromatic hydrocarbons. Int Arch Occup Environ Health 1997: 70: 257–260.
Obach R.S. Prediction of human clearance of twenty-nine drugs from hepatic microsomal intrinsic clearance data: an examination of in vitro half-life approach and nonspecific binding to microsomes. Drug Metab Dispos 1999: 27 (11): 1350–1359.
Olsen G.W., Burris J.M., Ehresman D.J., Froehlich J.W., Seacat A.M., and Butenhoff J.L., et al. Half-life of serum elimination of perfluorooctanesulfonate, perfluorohexanesulfonate, and perfluorooctanoate in retired fluorochemical production workers. Environ Health Perspect 2007: 115: 1298–1305.
Sobus J.R., McClean M.D., Herrick R.F., Waidyanatha S., Onyemauwa F., Kupper L.L., and Rappaport S.M. Investigation of PAH biomarkers in the urine of workers exposed to hot Asphalt. Ann Occup Hyg 2009: 53 (6): 551–560.
Stahlhut R.W., Welshons W.V., and Swan S.H. Bisphenol a data in NHANES suggest longer than expected half-life, substantial nonfood exposure, or both. Environ Health Perspect 2009: 117: 784–789.
Bartell S.M., Calafat A.M., Lyu C., Kato K., Ryan P.B., and Steenland K. Rate of decline in serum PFOA concentrations after granular activated carbon filtration at two public water systems in Ohio and West Virginia. Environ Health Perspect 2010: 118 (2): 222–228.
Seegal R.F., Fitzgerald E.F., Hills E.A., Wolff M.S., Haase R.F., Todd A.C., Parsons P., Molho E.S., Higgins D.S., Factor S.A., Marek K.L., Seibyl J.P., Jennings D.L., and Mccaffrey R.J. Estimating the half-lives of PCB congeners in former capacitor workers measured over a 28-year interval. J Expos Sci Environ Epidemiol 2011: 21: 234–246.
Brede E., Wilhelm M., Göen T., Müller J., Rauchfuss K., Kraft M., and Hölzer J. Two-year follow-up biomonitoring pilot study of residents’ and controls’ PFC plasma levels after PFOA reduction in public water system in Arnsberg, Germany. Int J Hyg Environ Health 2010: 213 (3): 217–223.
Thuresson K., Höglund P., Hagmar L., Sjödin A., Bergman A., and Jakobsson K. Apparent half-lives of hepta- to decabrominated diphenyl ethers in human serum as determined in occupationally exposed workers. Environ Health Perspect 2006: 114: 176–181.
Calafat A.M., Wong L.-Y., Kuklenyik Z., Reidy J.A., and Needham L.L. Polyfluoroalkyl chemicals in the U.S. population: data from the National Health and Nutrition Examination Survey (NHANES) 2003–2004 and comparisons with NHANES 1999–2000. Environ Health Perspect 2007: 115: 1596–1602.
Steenland K., Deddens J., and Piacitelli L. Risk Assessment for 2,3,7,8-Tetrachlorodibenzo-p-Dioxin (TCDD) based on an Epidemiologic Study. Am J Epidemiol 2001: 172 (7): 451–458.
Seals R., Bartell S.M., and Steenland K. Accumulation and clearance of PFOA in current and former residents of an exposed community. Environ Health Perspect 2011: 119: 119–124.
Michalek J.E., Tripathi R.C., Kulkarni P.M., Gupta P.L., and Selvavel K. Correction for bias introduced by truncation in pharmacokinetic studies of environmental contaminants. Environmetrics 1998: 9: 165–174.
Pinheiro J.C., and Bates D.M. Mixed-Effects Models in S and S-Plus. Springer, New York, NY, 2004.
Romanoff L.C., Li Z., Pittman E.N., Trinidad D.A., Hand K., Lester S., McClean M.D., Bartell S., Webster T.F., and Sjodin A. ##2010. Urinary Excretion Kinetics of Polycyclic Aromatic Hydrocarbon Metabolites Following Dietary Exposure [abstract]. Presented on March 3 at Pittcon 2010, Orlando, FL, Abstract # 2420-26..
DeGroot M.H. Probability and Statistics, 2nd edn. Addison Wesley Publishing Company, Reading, MA 1986.
Acknowledgements
Although no contract or grant funding supported this work, the author would like to acknowledge the C8 Science Panel and the C8 Class Action Settlement Agreement (Circuit Court of Wood County, WV) for funding his residential perfluorooctanoate half-life study that serves as one of the motivating examples.
Author information
Affiliations
Corresponding author
Ethics declarations
Competing interests
The author declares no conflict of interest.
Appendix
Appendix
Equation (4) can be written more simply in terms of the random variables ɛi and several constants (values that may vary over time, but are fixed quantities not random variables):

Let
. Because ɛi is normally distributed with mean 0, ɛ* must also be normally distributed with mean 0. Thus,
explaining why the error term does not appear in Eqs. (5), (6) and (7).
The bias in the half-life estimate is a function of
a quantity that depends on the error variances and is more difficult to calculate. For errors that are small relative to the predicted log biomarker concentrations, the denominator is approximately equal to c1 so
the approximation used in Eqs. (8) and (9).
Alternatively, the delta method states that
for functions g(.) with existent second derivatives.17 The result of this method is thus:

Therefore with either a relatively small error variance, often a reasonable assumption, or for studies with large enough sample sizes, an underlying assumption for most statistical methods, Eqs. (8) and (9) provide close approximations to the bias in half-life estimates from background exposures under the single compartment pharmacokinetic model for evenly spaced samples.
Rights and permissions
About this article
Cite this article
Bartell, S. Bias in half-life estimates using log concentration regression in the presence of background exposures, and potential solutions. J Expo Sci Environ Epidemiol 22, 299–303 (2012). https://doi.org/10.1038/jes.2012.2
Received:
Accepted:
Published:
Issue Date:
DOI: https://doi.org/10.1038/jes.2012.2
Keywords
- perfluorooctanoic acid
- half-life
- background exposures
Further reading
-
Change in decay rates of dioxin-like compounds in Yusho patients
Environmental Health (2016)
-
Urinary polycyclic aromatic hydrocarbon metabolites as biomarkers to woodsmoke exposure — results from a controlled exposure study
Journal of Exposure Science & Environmental Epidemiology (2016)
-
Occurrence, temporal trends, and half-lives of perfluoroalkyl acids (PFAAs) in occupational workers in China
Scientific Reports (2016)
-
Unexpectedly long half-lives of blood 2,3,4,7,8-pentachlorodibenzofuran (PeCDF) levels in Yusho patients
Environmental Health (2015)
