Abstract
Objective:
We aimed to determine the prevalence of melanocortin-4 receptor (MC4R) variants in a large German cohort of children with obesity in a pediatric outpatient clinic and to ascertain whether there is a specific phenotype associated with loss-of-function variants as previously reported.
Study Design:
Eight hundred and ninety-nine patients from our pediatric obesity clinic were screened for MC4R variants by DNA sequencing after PCR amplification. Retrospective statistical analysis of anthropometric and metabolic characteristics was performed, comparing patients with and without MC4R variants across the entire cohort (n=586) as well as in case–control analysis using patients with common sequence MC4R individually matched for age, sex and body mass index standard deviation score (SDS) (n=11 case–control pairs).
Results:
We identified heterozygous variants within the coding region of the MC4R gene in n=22 (2.45%) patients. Fourteen (1.56%) had a variant that impaired receptor function. One new frameshift (p.F152Sfs), an yet unpublished nonsense mutation (p.Q156X) and one nonsynonymous variation (p.V65E) described in the Mouse Genome Database were detected. Across the whole cohort, at all ages, mean height SDS in subjects with impaired receptor function was higher than in patients with common sequence MC4R. In matched individuals, this trend persisted (8 of the 11 pairs) within the case–control setting. No differences were found regarding metabolic characteristics.
Conclusions:
The observed prevalence of mutations causing impaired receptor function in this large cohort is comparable to other pediatric cohorts. MC4R deficiency tends to lead to a taller stature, confirming previous clinical reports. The association of MC4R mutations with a distinct phenotype concerning metabolic characteristics remains questionable.
Introduction
The hypothalamic leptin–melanocortin pathway has a key role in energy homeostasis. Hypothalamic activation of the melanocortin-4 receptor (MC4R) reduces food intake and increases energy expenditure. Dysfunction of this receptor leads to rare monogenic early-onset obesity.
MC4R gene is located on chromosome 18q22 and encodes a G-protein coupled receptor widely expressed in the brain, including the hypothalamus, thalamus, cortex, brainstem and spinal cord.1, 2 In the hypothalamus, activation of MC4R reduces food intake and increases energy expenditure.3, 4, 5
Variants in the MC4R gene represent the most common cause of monogenic obesity. More than 150 different, mostly nonsynonymous variants are currently known.6 Their prevalence ranges from 0.5% to 5.8% depending on ethnicity, age of obesity onset and severity of obesity within the analyzed cohort as well as the nature of variants identified.7, 8, 9, 10, 11, 12, 13, 14, 15
MC4R deficiency shows a co-/dominant inheritance. Penetrance and expressivity of the phenotype in MC4R deficiency varies considerably. Both are influenced by diverse factors: In vitro analysis divides the functional relevance of variants into those with complete or partial loss of receptor function and a wild-type (WT)-like receptor function.16 The pathophysiological mechanisms behind the loss of function include intracellular retention or altered binding affinity of the MC4R. Carriers of mutations with complete loss of function show the severest phenotype. Heterozygous subjects seem to be less affected than homozygous individuals.10 The degree of morbid obesity in MC4R-deficient carriers is also influenced by different obesogenic environmental factors.17
Although thousands of patients of various ethnic backgrounds have been screened for MC4R variants, the impact of the variants on obesity and metabolic characteristics is still debated. In lack of clearly defined endocrine characteristics, the clinical distinction between monogenic MC4R-deficient obesity and common, polygenetic obesity remains challenging. A mouse model with a deleted MC4R gene showed hyperphagia, obesity, hyperinsulinemia and high leptin levels.18 In humans, a ‘MC4R syndrome’ with early-onset obesity, increased linear growth and hyperinsulinemia has been postulated,10 but this was not unequivocally confirmed in other reports.9, 19, 20, 21, 22 In addition, the study cohort in which a specific phenotype of MC4R deficiency was found comprised various cognate MC4R-deficient individuals. So the question arises whether the phenotype of a ‘MC4R syndrome’ was due to a MC4R mutation or due to shared genetic factors. We therefore deem it necessary to verify this postulated association in a large group of genetically unrelated patients.
The aim of this study was to elucidate the clinical phenotype of MC4R variants further. Therefore, we determined the prevalence and phenotypic characterization of MC4R variants in a large German cohort of well-characterized pediatric and adolescent patients with obesity of a tertiary care outpatient clinic. Anthropometric parameters of carriers and non-carriers were compared, and in a further step, metabolic characteristics, including glucose metabolism, liver function, blood lipids and inflammation markers, were studied in a matched case–control setting.
Methods and Materials
Study cohort
Between 2003 and 2013, n=899 children, adolescents and young adults (male n=452; female n=447) consulting our obesity outpatient clinic were screened for MC4R deficiency (Figure 1). Applied inclusion criterion was a body mass index standard deviation score (BMI SDS) ⩾1.28, which complies with the German definition of overweight in childhood and adolescence. Of these subjects, we were able to retrospectively obtain anthropometric data of n=586 (male n=304; female n=282) patients at the time of screening. Patients were divided into groups depending on genotype. Carriers of polymorphisms in the upstream or downstream region offside the translational region of the MC4R gene were excluded from further statistical analysis. Out of the remaining subcohort, we generated the group for the case–control study. Subjects were matched for sex, age (±0.5 years), BMI SDS (±0.3) and, whenever possible, for ethnicity and pubertal stage. All available data were analyzed. No partner matched the subject with the variant p.E42K; therefore his data were excluded from further analysis. Finally, anthropometric and metabolic parameters of n=11 case–control pairs were investigated. Patients with known syndromal diseases, obesity secondary to an endocrine disorder or relevant comorbidities were excluded. One female patient of the control group received a combination of ethinyl estradiol and cyproterone acetate. No other medication with relevant effects on weight, growth and other investigated parameters was taken.
All clinical, anthropometric and laboratory parameters were collected during clinic visits. Subjects were examined in light pants, a vest and no shoes. Body weight was measured to the nearest 0.1 kg on a calibrated balance beam scale (Seca, Hamburg, Germany). Body height was measured with accuracy to the nearest 0.1 cm (Ulm stadiometer, Busse Design, Ulm, Germany). BMI values were calculated as weight (in kilograms)/height (in square meters) and classified for children using the 90th age- and sex-specific percentiles of the German reference data as cutoff point for overweight.23 The BMI of all subjects exceeded the 90th percentile for age and sex of German reference data. Height SDS and BMI SDS were calculated using these reference values.23 Stage of genital and pubic hair development was recorded. Pubic hair stage (girls, boys) and breast development (girls) was assessed by visual inspection and palpation using the rating scales by Tanner and Marshall.24, 25 The volume of each testis was estimated by comparative palpation with the orchidometer of Prader.26 All physical examinations were carried out by trained pediatric endocrinologists.
Systolic and diastolic blood pressure (mm Hg) was measured with a calibrated blood pressure monitor (DINAMAP, Critikon, Germany, North Rhine-Westphalia). Blood pressure was measured after a 5 min rest in an upright position at the left upper arm. To account for differences in blood pressure levels according to sex, age and height, blood pressure data were converted into z-scores based on the reference values of the Fourth Report on the Diagnosis, Evaluation, and Treatment of High Blood Pressure in Children and Adolescents.27
Laboratory measurements were obtained during the clinical visit. Fasting plasma samples and glucose tolerance tests were performed after an overnight fast of 10 h between 0800 and 0900 hours. Blood samples were processed at the Department of Clinical Chemistry, University Medical Center Ulm, Ulm, Germany. Leptin (ng ml−1), insulin-like growth factor-1 (IGF1; ng ml−1), IGF-binding protein 3 (ng ml−1), uric acid (μmol l−1), low-density lipoprotein cholesterol (mmol l−1), high-density lipoprotein cholesterol (mmol l−1), C-reactive protein (mg l−1), aspartate transaminase (U l−1), alanine transaminase (U l−1), gamma-glutamyltransferase (U l−1) as well as fasting plasma concentrations of insulin (mU l−1), glucose (mg dl−1) and triglyceride (mmol l−1) were measured using commercially available test kits (IBL International, Hamburg, Germany; Siemens Immunoassay Immulite 1000, Chemiluminescence DPC Biermann Immunoassay Immulite 2500, Roche Diagnostics, Mannheim, Germany).
This retrospective study was conducted according to the principles outlined in the Declaration of Helsinki.
Genetics
All individuals or their parents (for children) gave written informed consent. Peripheral blood mononuclear cells of the patients were obtained from EDTA-blood. Genomic DNA was extracted from peripheral blood mononuclear cells by standard methods using the QIAmp Flexi Gen DNA Kit (Qiagen, Hilden, Germany). DNA of the single exon of the MC4R gene as well as 5′ and 3′ untranslated region sequences were amplified by PCR analysis using standard methods. After purification, PCR products were sequenced using The CEQ Quick Start Kit on a GeXP Genetic Analysis System (SCIEX, Darmstadt, Germany) and compared with the common MC4R gene sequence. For nucleotide numbering, the first A of the initiator ATG codon is nucleotide +1 of the MC4R mRNA sequence (GenBank accession number NM_005912.2). All oligonucleotides (primers) used in this work were designed by using the primer-BLAST software (http://www.ncbi.nlm.nih.gov/tools/primer-blast/) and individually modified. The sequence of the primers can be obtained upon request. The GenBank accession number of MC4R genomic sequence is: AY236539.1
Prediction of functional relevance of variants
We evaluated literature and genetic databases on the relevance of known MC4R variants based on functional in vitro analysis. Functional annotation of nonsynonymous variants was performed by PolyPhen-2 (http://genetics.bwh.harvard.edu/pph2/). PolyPhen-2 software analyzes the functional relevance of single-nucleotide polymorphisms (SNPs) and predicts potential consequences of mutations for the structure and function of a human protein. By a score from 0 to 1, PolyPhen-2 grades missense mutations as benign, possibly damaging or probably damaging. However, for frameshift or nonsense mutations, the analysis is not feasible. Additionally, the clinical phenotype of two novel variants and one variant that was so far described in a mouse model only are characterized.
Statistical analysis
The descriptive statistics report means and s.d. for continuous variables and numbers and proportions for categorical variables. Differences in anthropometric and metabolic parameters between groups were compared using Kruskal–Wallis test. Differences in proportion of males and females and pubertal stage between groups were compared by applying chi-square test. All statistical analyses were performed with the Statistical Analyses System (SAS) version 9.2 (SAS Institute, Cary, NC, USA). We conducted exploratory analyses without formal hypothesis testing and correction for multiple comparisons. Statistical significance was interfered at two-tailed P<0.05.
Results
Description of the Ulm cohort
All n=899 screened pediatric and adolescent patients consulted our outpatient clinic for obesity between the years 2003 and 2013. In n=22 out of n=899 patients (2.45%), we identified variants within the coding region of the MC4R gene (Table 1). All variants were found in heterozygous state. n=14 patients (1.56%) were affected by n=12 distinct variants causing loss of function or significantly reduced receptor signaling (Table 2). These variants are summarized as ‘mutations with impaired receptor function’, which can be further divided into (1) nonsense mutations (n=3 patients), (2) deletions with a consecutive frameshift (n=2 patients), and (3) missense mutations (n=9 patients). The deletions included the deletion c.453delC, which is described here for the first time. Among the nonsense mutation, a so far unpublished nonsense mutation (p.Q156X) was detected. Of the patients with a missense mutation, n=2 subjects carried a combination of two single SNPs: (a) the previously described p.Y35X/p.D37V variant and (b) a novel missense mutation p.V65E in combination with the known variant p.R165W. Because the parental genotype of these two patients is unknown, no statement can be made about compound heterozygosity or a combination of two SNPs on the same allele.
The frequent variants associated with a conserved or even increased constitutive MC4R activity (p.V103I, p.T112M and p.I251L) were found in n=8 individuals (0.89%) (‘Variants with WT function’). Upstream of the translational site, the frequently found polymorphism c.-178 A>C was detected in n=8 patients (‘Polymorphism upstream’; Table 2). Specific data, including in vitro characterization of functional relevance, are shown in Table 1.
For n=586 patients, anthropometric data were available. All patients had a BMI SDS >1.28 (>90th percentile) and the majority met the criterion for obesity with a BMI exceeding SDS 1.88 (>97th percentile). Age distribution was as follows: the cohort involved n=402 subjects aged from 0 to 10.9 years, n=378 subjects aged from 11.0 to 15.9 years, and n=119 subjects aged from 16.0 to 35.0 years. Of these, only n=16 were young adults aged >21.0 years (data not shown).
Characterization of the novel variants
Two novel variants were found in children with severe early-onset obesity. The deletion c.453delC (p.F152Sfs) leads to a frameshift and consecutively to a stop codon at position 161. It was detected in a 2-year-old girl with severe early-onset obesity (BMI SDS 4.8) and an abnormal eating behavior with considerably diminished satiety. Her younger brother and father are both carriers of the same variant. Both are affected by early-onset obesity less severely. The normal weight mother carries the common sequence MC4R.
The p.V65E variant was found in combination with an already known missense mutation p.R165W. p.R165W causes an impaired receptor function by significantly reduced cell surface expression.28 The p.V65E variant is predicted by PolyPhen-2 to be probably damaging (score=1.000). The carrier of the variant p.V65E/p.R165W is a 14-year-old girl with severe obesity (BMI SDS 4.06) and pronounced hyperphagia without control of food consumption.
An yet unpublished nonsense mutation, p.Q156X, leads to a premature termination of translation, causing a truncated protein. It was found in a 12-year-old boy with a BMI SDS of 2.7 who developed marked obesity during preschool age. His father (BMI 21.1 kg m−2) and older brother are both lean. The mother is overweight (BMI 26.2 kg m−2) and several members of her pedigree suffer from severe obesity partially complicated by obesity-related comorbidities. Unfortunately, in none of the family members the MC4R status is known.
For all novel variants, impairment of receptor signaling can be postulated.
Height SDS and BMI SDS in MC4R mutations vs WT (n=586)
Of the n=899 screened patients, we obtained anthropometric data of n=586 subjects, comprising n=13 subjects with impaired MC4R receptor function, n=8 subjects with a WT-like mutations, n=524 WT carriers and n=41 upstream and downstream polymorphisms (Figure 1). We compared BMI SDS and height SDS in patients with MC4R deficiency with MC4R WT carriers. To elucidate age-dependent height distribution, we divided all subjects into three age groups: the first group included patients aged from 0 to 10.9 years, the second group was made up of patients aged from 11.0 to 15.9 years, and the third group comprised subjects aged >16 years. Means of BMI SDS did not differ significantly in WT carriers and carriers with impaired receptor function (Figure 2a). Height SDS means of all obese individuals aged <16 years were above the 50th percentile of German reference population.23 There was a trend for an increased mean height SDS in subjects with an impaired MC4R function compared with WT carriers for all age groups. This finding reached statistical significance only in the age group 11.0 to 15.9 years (P<0.05). Interestingly, in all 16-year-old or older subjects mean height SDS was below the 50th percentile of German references. However, height SDS means of carriers with a relevant MC4R mutation still remained higher than those of carriers with the common MC4R sequence (Figure 2b). The MC4R-deficient subjects had normal length at birth (length SDS −1.46 to 0.59), based on length SDS according to gestational age for German newborns.29 These findings suggest that increased growth is a postnatal phenomenon in MC4R deficiency.
Means of body mass index standard deviation score (BMI SDS) (a), height SDS (b), systolic blood pressure z-score (c) and diastolic blood pressure z-score (d) compared with subjects with melanocortin-4 receptor (MC4R) deficiency and subjects with MC4R wild-type carriers in the three age groups. First group aged from 0 to 10.9 years, second group aged from 11.0 to 15.9 years and a third group aged >16 years.
Systolic and diastolic blood pressure z-scores were not significantly different between subjects with an impaired MC4R function compared with WT carriers (Figures 2c and d).
Case–control study: MC4R mutation vs WT (n=11)
Anthropometric and obesity-related metabolic parameters might be biased by several criteria such as gender, pubertal development, degree of obesity and age. In order to further elucidate the impact of variants with impaired MC4R receptor function on anthropometric and obesity-related metabolic traits, a retrospective 1:1 case–control study was performed in n=11 matched pairs. Comparing mean values of anthropometric and metabolic parameters between both groups revealed no significant differences (Table 3).
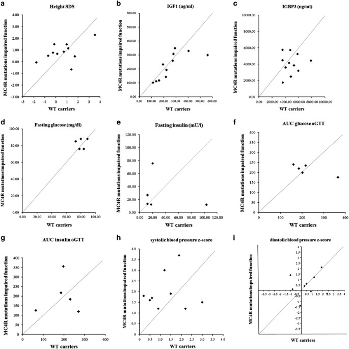
However, when we directly compared the anthropometric and metabolic parameters of each single matched pair, the previously observed height difference in favor of MC4R-deficient carriers compared with WT carriers was confirmed. In 8 out of the 11 pairs, the carrier of a relevant MC4R mutation was taller than his or her control (Figure 3a). Interestingly, in 6 out of the 11 pairs, the carriers of a relevant MC4R mutation had lower IGF1 levels and in 9 of the 11 pairs, the carriers of a relevant MC4R mutation had lower IGF-binding protein 3 levels than their respective controls (Figures 3b and c).
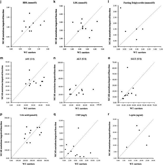
Impaired melanocortin-4 receptor (MC4R) mutation–wild-type (WT) carriers pairs (n=11) for (a) height SDS (standard deviation score), (b) insulin-like growth factor 1 (IGF1; ng ml−1), (c) insulin-like growth factor-binding protein 3 (IGFBP3; ng ml−1), (d) fasting glucose (mg dl−1), (e) fasting insulin (mU l−1), (f) area under the curve (AUC) glucose, (g) AUC insulin, (h) systolic blood pressure (z-score), (i) diastolic blood pressure (z-score), (j) high-density lipoprotein (HDL; mmol l−1), (k) low-density lipoprotein (LDL; mmol l−1), (l) fasting triglyceride (mmol l−1), (m) aspartate transaminase (AST; U l−1), (n) alanine transaminase (ALT; U l−1), (o) gamma-glutamyltransferase (GGT; U l−1), (p) uric acid (μmol l−1), (q) C-reactive protein (mg l−1) and (r) leptin (ng ml−1).
All subjects had normal fasting glucose levels (Figure 3d). Fasting plasma insulin levels were elevated in two controls and one MC4R-deficient patient; the others showed normal plasma insulin levels (Figure 3e). During an oral glucose tolerance test, area under the curve calculation revealed no difference between MC4R-deficient individuals and controls in glycemic control (Figures 3f and g). However, data of only n=5 case–control pairs were available.
In seven of the nine pairs, carriers of a relevant MC4R mutation had a higher systolic blood pressure z-score than controls. This tendency was not present for diastolic blood pressure (Figures 3h and i). Lipid profiles, uric acid levels, C-reactive protein and leptin values were comparable between patients with MC4R mutations and WT carriers (Figures 3j–l and p–r). In direct comparison of every case–control pair, we observed lower levels of the transaminases, alanine transaminase, aspartate transaminase and gamma-glutamyltransferase, in the majority of patients with MC4R mutations. (alanine transaminase: 6/11 pairs; aspartate transaminase: 8/11 pairs; gamma-glutamyltransferase: 9/11 pairs) (Figures 3m–o).
Discussion
The present cohort comprised n=899 unrelated children and adolescents with obesity. To our knowledge, it thereby represents one of the largest pediatric cohorts6, 7, 14, 20, 30, 31, 32 in which MC4R mutations have been studied. A total of n=22 patients (2.45%) were identified carrying variants in the MC4R gene. Of these mutation carriers, n=14 (1.56%) were affected by relevant mutations causing impaired MC4R signaling. The two most common variants p.I251L and p.V103I were found in n=7 patients. Previous reports showed elevated basal receptor activity for p.I251L;28 however, other studies reported a function indistinguishable from the WT MC4R receptor for p.I251L and p.V103I.11, 20 Meta-analyses suggested that these polymorphisms might even be associated with a reduced risk for obesity.33
In the literature, the prevalence of variants in the MC4R gene is quoted to lie between 0.5% and 5.8%.7, 8, 9, 10, 11, 12, 13, 14, 15 This frequency broadly varied depending on ethnicity, age and grade of obesity of the analyzed cohort. Additionally, inconsistent analysis of MC4R variants concerning the degree of impaired signaling and position in the coding or noncoding segment of the MC4R gene significantly influenced reported prevalence rates. In this context, prevalence of variants with impaired receptor function in our cohort was comparable to other pediatric cohorts.20, 31, 34
Two novel variants were found: p.Q156X, p.F152Sfs as well as the variant p.V65E, which have already been described in the Mouse Genome Database, http://www.informatics.jax.org/allele/MGI:5619128. All three carriers of these variants suffered from severe obesity (p.V65E/p.R165W: BMI SDS 4.06; p.F152SfsTerm161: BMI SDS 4.80; p.Q156X: BMI SDS 2.72). The nonsynonymous mutation p.V65E occurred in combination with the already known mutation p.R165W, which is responsible for a significantly reduced cell surface expression28 and consecutively impaired MC4R function. PolyPhen-2 predicts for p.V65E and p.R165W separately to be probably damaging with the highest listed score (score=1.000). This most likely will cause loss of function. As the genotype of the parents was not available, no differentiation between compound heterozygosity or a combination of different SNPs on the same allele was possible. The p.F152Sfs and p.Q156X variants cause premature termination of translation. In the literature, all identified nonsense mutations and deletions cause a frameshift in the nucleotide sequence, and as a consequence, they change the translation pattern. Thus these changes might be responsible for a loss of function of MC4 receptor. Although the analytic proof of functional in vitro studies has not been provided in this study, incapacity of MC4R signaling must be assumed. In summary, all identified novel variants have strong functional relevance.
Interestingly, we did not find any rare or novel SNPs within the promotor region. Here one group previously described two novel human MC4R gene promotor region variants in children with obesity, causing a decrease in basal transcriptional activity.35
Mice lacking the MC4R develop a maturity-onset obesity syndrome associated with hyperphagia, hyperinsulinemia and hyperglycemia.18 In humans, the phenotype of MC4R deficiency has been discussed controversially.9, 10, 19, 20, 21, 22, 32 A MC4R syndrome was claimed, characterized by early-onset obesity, hyperphagia, increased linear growth, increased lean body mass and bone mineral density and, in addition, severe hyperinsulinemia.10 However, other studies have questioned whether these characteristics truly allow to differentiate between a MC4R-deficient obese child and an identically obese peer without monogenic obesity.20, 36
Longitudinal growth in normal childhood obesity per se shows altered growth patterns and pubertal development. Compared with lean subjects, height velocity is increased during the prepubertal period.37, 38, 39 The above average growth declines during puberty by an extenuated growth spurt, resulting in an impaired height gain in comparison to normal weight controls.40, 41
In our present study, BMI SDS did not differ between affected subjects and controls in the three age groups. However, we found that height SDS differed between affected subjects and controls. Throughout childhood, height SDS means were higher in carriers with impaired MC4R function than in controls. This finding persisted in the postpubertal period; hence, MC4R deficiency might increase final height. In order to minimize the effect of confounding variables, we additionally performed statistical analysis in a case–control setting. The large cohort allowed an exact matching pursuant to BMI SDS, sex, age, ethnicity and pubertal stage. Direct comparison of pairs strengthened the observation that carriers with impaired MC4R function tended to a taller stature than individuals with normal obesity.
These findings are coherent with the report of Martinelli et al.,32 who showed in a cohort of partially cognate MC4R-deficient individuals that throughout childhood and also in adulthood height SDS was greater in MC4R-deficient subjects compared with controls. Our present data confirm this observation now in a genetically unrelated cohort. Therefore, we strongly advocate that tall stature is defined as part of the phenotype of MC4R deficiency. However, our results did not show such an association as previously described by Martinelli et al.32 This might be due to the fact that in the study by Martinelli et al.32 further interfering genetic determinants of growth development in the related carriers increased the association.
Growth is not only sensitively altered by various external influences but also highly determined by the individual genetic background. As also normal-weight individuals heterozygous for functional relevant MC4R variants have been described, it would be interesting to observe growth and final height in normal-weight carriers with impaired MC4R signaling.
Height SDS of both carriers and controls decreased with age. Obese individuals aged ⩾16 years, carriers and controls likewise, had lower means of height SDS than the 50th percentile of reference data. These results are consistent with earlier findings.40, 41 It might be postulated that growth pattern is altered and final height is reduced owing to a diminished peak height velocity in analogy to individuals with normal obesity but on an attenuated level. Obesity provokes a suppression of growth hormone (GH) secretion in adults.42, 43 In contrast Martinelli et al.32 detected an incomplete suppression of GH pulsatility in MC4R-deficient adults, whereas GH secretion in equally obese controls was significantly suppressed.32 It has been postulated that impaired MC4R signaling might decrease the expression of somatostatin, leading to a reduced suppression of GH release despite severe obesity. In comparison to WT mice, somatostatin secretion is halved in adult obese mice overexpressing the natural MC4R antagonist Agouti.44 Their phenotype corresponds to a MC4R knockout mouse model.45 Reduced somatostatin mRNA expression and consecutively upregulated plasma IGF1 concentrations seem to be a potential key factor responsible for increased body height.44 Literature provides inconsistent data about IGF1 levels in obesity. IGF1 and IGF-binding protein 3 levels in our cohort tended, however, to be lower in MC4R-deficient subjects than in obese controls.
Hyperinsulinemia is also suggested to stimulate linear growth during the fetal period and early infancy.46 Leptin was also found to stimulate linear growth by increased GH levels and a direct effect on the chondrocytes of the epiphyseal growth plate.47, 48 As insulin and leptin levels were comparable to controls, it is unlikely that hyperinsulinemia or leptin levels were responsible for increased linear growth in the here reported MC4R-deficient carriers.
As mentioned above, we found no differences in insulin levels and glucose metabolism during an oral glucose tolerance testing. This data coincides with other reports.9, 19, 20 In contrast to our data, one group characterized the human MC4R-deficient phenotype by pronounced hyperinsulinemia, especially in early age.10, 32 It has to be kept in mind that these data were gathered from family studies. Hence, a bias due to consanguinity cannot be excluded. In contrast, our cohort consisted of genetically unrelated subjects. As glucose tolerance and sensitivity to insulin are determined in a polygenic manner, severe hyperinsulinemia might be related to other genetic endowments than altered MC4R. In our study, we were unable to identify metabolic features specific for carriers with impaired receptor function. The impact of MC4R mutations on a specific metabolic phenotype was so far exclusively seen in families and therefore must be questioned in unrelated cohorts.
Inconsistent to previously reported data,18, 49, 50 we did not find lower blood pressures in our MC4R-deficienct patients.
Another interesting aspect has to be considered. There is growing evidence that changes in weight regulation and energy homeostasis can be caused by obesity (mal)programming. Several studies conclude that maternal obesity during gestation or postnatal overfeeding can permanently alter the development and functional activity of the melanocortin system.51, 52 Chronic postnatal carbohydrate excess resulted in diminished mRNA levels of proopiomelanocortin and MC4R.53 Epigenetic changes and obesity programming seem to impair proopiomelanocortin projection and hereby might alter MC4R signaling.54, 55, 56 Alterations were evident permanently throughout the lifespan. Based on these findings, one might conclude that modern lifestyle in an obesogenic environment could generate a phenotype similar to that caused by a genetically determined MC4R deficiency. This might further complicate a clear-cut differentiation between individuals with ‘common’ childhood obesity and pediatric patients with MC4R deficiency according to clinical and metabolic characteristics.
In conclusion, we confirm in a large, well-characterized cohort that increased postnatal height at all ages is a specific feature of MC4R deficiency. We could not confirm a specific pattern of metabolic alterations as part of MC4R deficiency.
References
Mountjoy KG, Mortrud MT, Low MJ, Simerly RB, Cone RD . Localization of the melanocortin-4 receptor (MC4-R) in neuroendocrine and autonomic control circuits in the brain. Mol Endocrinol 1994; 8: 1298–1308.
Kishi T, Aschkenasi CJ, Lee CE, Mountjoy KG, Saper CB, Elmquist JK . Expression of melanocortin 4 receptor mRNA in the central nervous system of the rat. J Comp Neurol 2003; 457: 213–235.
Cone RD . Studies on the physiological functions of the melanocortin system. Endocr Rev 2006; 27: 736–749.
Ellacott KL, Cone RD . The role of the central melanocortin system in the regulation of food intake and energy homeostasis: lessons from mouse models. Philos Trans R Soc Lond B Biol Sci 2006; 361: 1265–1274.
Mineur YS, Abizaid A, Rao Y, Salas R, DiLeone RJ, Gündisch D et al. Nicotine decreases food intake through activation of POMC neurons. Science 2011; 332: 1330–1332.
van den Berg, van Beekum O, Heutink P, Felius BA, van de Heijning MP, Strijbis S et al. Melanocortin-4 receptor gene mutations in a Dutch cohort of obese children. Obesity 2011; 19: 604–611.
Miraglia Del Giudice E, Cirillo G, Nigro V, Santoro N, D'Urso L, Raimondo P et al. Low frequency of melanocortin-4 receptor (MC4R) mutations in a Mediterranean population with early-onset obesity. Int J Obes Relat Metab Disord 2002; 26: 647–651.
Lubrano-Berthelier C, Dubern B, Lacorte JM, Picard F, Shapiro A, Zhang S et al. Melanocortin 4 receptor mutations in a large cohort of severely obese adults: prevalence, functional classification, genotype-phenotype relationship, and lack of association with binge eating. J Clin Endocrinol Metab 2006; 91: 1811–1818.
Vaisse C, Clement K, Guy-Grand B, Froguel P . A frameshift mutation in human MC4R is associated with a dominant form of obesity. Nat Genet 1998; 20: 113–114.
Farooqi IS, Keogh JM, Yeo GS, Lank EJ, Cheetham T, O'Rahilly S . Clinical spectrum of obesity and mutations in the melanocortin 4 receptor gene. N Engl J Med 2003; 348: 1085–1095.
Hinney A, Hohmann S, Geller F, Vogel C, Hess C, Wermter AK et al. Melanocortin-4 receptor gene: case-control study and transmission disequilibrium test confirm that functionally relevant mutations are compatible with a major gene effect for extreme obesity. J Clin Endocrinol Metab 2003; 88: 4258–4267.
Lubrano-Berthelier C, Durand E, Dubern B, Shapiro A, Dazin P, Weill J et al. Intracellular retention is a common characteristic of childhood obesity-associated MC4R mutations. Hum Mol Genet 2003; 12: 145–153.
Branson R, Potoczna N, Kral JG, Lentes KU, Hoehe MR, Horber FF . Binge eating as a major phenotype of melanocortin 4 receptor gene mutations. N Engl J Med 2003; 348: 1096–1103.
Valli-Jaakola K, Lipsanen-Nyman M, Oksanen L, Hollenberg AN, Kontula K, Bjørbaek C et al. Identification and characterization of melanocortin-4 receptor gene mutations in morbidly obese finnish children and adults. J Clin Endocrinol Metab 2004; 89: 940–945.
Hinney A, Bettecken T, Tarnow P, Brumm H, Reichwald K, Lichtner P et al. Prevalence, spectrum, and functional characterization of melanocortin-4 receptor gene mutations in a representative population-based sample and obese adults from Germany. J Clin Endocrinol Metab 2006; 91: 1761–1769.
Tao YX . Molecular mechanisms of the neural melanocortin receptor dysfunction in severe early onset obesity. Mol Cell Endocrinol 2005; 239: 1–14.
Stutzmann F, Tan K, Vatin V, Dina C, Jouret B, Tichet J et al. Prevalence of melanocortin-4 receptor deficiency in Europeans and their age-dependent penetrance in multigenerational pedigrees. Diabetes 2008; 57: 2511–2518.
Huszar D, Lynch CA, Fairchild-Huntress V, Dunmore JH, Fang Q, Berkemeier LR et al. Targeted disruption of the melanocortin-4 receptor results in obesity in mice. Cell 1997; 88: 131–141.
Dubern B, Clément K, Pelloux V, Froguel P, Girardet JP, Guy-Grand B et al. Mutational analysis of melanocortin-4 receptor, agouti-related protein, and alpha-melanocyte-stimulating hormone genes in severely obese children. J Pediatr 2001; 139: 204–209.
Melchior C, Schulz A, Windholz J, Kiess W, Schöneberg T, Körner A . Clinical and functional relevance of melanocortin-4 receptor variants in obese German children. Horm Res Paediatr 2012; 78: 237–246.
Wang CL, Liang L, Wang HJ, Fu JF, Hebebrand J, Hinney A . Several mutations in the melanocortin 4 receptor gene are associated with obesity in Chinese children and adolescents. J Endocrinol Invest 2006; 29: 894–898.
Zakel UA, Wudy SA, Heinzel-Gutenbrunner M, Görg T, Schäfer H, Gortner L et al. Prevalence of melanocortin 4 receptor (MC4R) mutations and polymorphismsin consecutively ascertained obese children and adolescents from a pediatric health care utilization population. Klin Padiatr 2005; 217: 244–249.
Kromeyer-Hauschild K, Kunze D, Wabitsch M . Perzentile für den body-mass-index für das Kindes- und Jugendalter unter Heranziehung verschiedener deutscher Stichproben. Monatsschr Kinderheilkd 2001; 149: 807–818.
Marshall WA, Tanner JM . Variations in pattern of pubertal changes in girls. Arch Dis Child 1969; 44: 291–303.
Marshall WA, Tanner JM . Variations in the pattern of pubertal changes in boys. Arch Dis Child 1970; 45: 13–23.
Prader A . Testicular size: assessment and clinical importance. Triangle 1966; 7: 240.
National High Blood Pressure Education Program Working Group on High Blood Pressure in Children and Adolescents. The Fourth Report on the Diagnosis, Evaluation, and Treatment of High Blood Pressure in Children and Adolescents. Pediatrics 2004; 114: 555–576.
Xiang Z, Litherland SA, Sorensen NB, Proneth B, Wood MS, Shaw AM et al. Pharmacological characterization of 40 human melanocortin-4 receptor polymorphisms with the endogenous proopiomelanocortin-derived agonists and the agouti-related protein (AGRP) antagonist. Biochemistry 2006; 45: 7277–7288.
Voigt M, Schneider KT, Jährig K . [Analysis of a 1992 birth sample in Germany. 1: New percentile values of the body weight of newborn infants]. Geburtshilfe Frauenheilkd 1996; 56: 550–558.
Cole SA, Butte NF, Voruganti VS, Cai G, Haack K, Kent JW Jr et al. Evidence that multiple genetic variants of MC4R play a functional role in the regulation of energy expenditure and appetite in Hispanic children. Am J Clin Nutr. 2010; 91: 191–199.
Santoro N, Cirillo G, Xiang Z, Tanas R, Greggio N, Morino G et al. Prevalence of pathogenetic MC4R mutations in Italian children with early onset obesity, tall stature and familial history of obesity. BMC Med Genet 2009; 10: 25.
Martinelli CE, Keogh JM, Greenfield JR, Henning E, van der Klaauw AA, Blackwood A et al. Obesity due to melanocortin 4 receptor (MC4R) deficiency is associated with increased linear growth and final height, fasting hyperinsulinemia, and incompletely suppressed growth hormone secretion. J Clin Endocrinol Metab 2011; 96: E181–E188.
Stutzmann F, Vatin V, Cauchi S, Morandi A, Jouret B, Landt O et al. Non-synonymous polymorphisms in melanocortin-4 receptor protect against obesity: the two facets of a Janus obesity gene. Hum Mol Genet 2007; 16: 1837–1844.
Rettenbacher E, Tarnow P, Brumm H, Prayer D, Wermter AK, Hebebrand J et al. A novel non-synonymous mutation in the melanocortin-4 receptor gene (MC4R) in a 2-year-old Austrian girl with extreme obesity. Exp Clin Endocrinol Diabetes 2007; 115: 7–12.
Tan KM, Ooi SQ, Ong SG, Kwan CS, Chan RM, Seng Poh LK et al. Functional characterization of variants in MC4R gene promoter region found in obese children. J Clin Endocrinol Metab 2014; 99: E931–E935.
Reinehr T, Hebebrand J, Friedel S, Toschke AM, Brumm H, Biebermann H et al. Lifestyle intervention in obese children with variations in the melanocortin 4 receptor gene. Obesity 2009; 17: 382–389.
Denzer C, Weibel A, Muche R, Karges B, Sorgo W, Wabitsch M . Pubertal development in obese children. Int J Obes 2007; 31: 1509–1519.
Ballerini MG, Ropelato MG, Domené HM, Pennisi P, Heinrich JJ, Jasper HG . Differential impact of simple childhood obesity on the components of the growth hormone-insulin-like growth factor (IGF)-IGF binding proteins axis. J Pediatr Endocrinol Metab 2004; 17: 749–757.
Vanderschueren-Lodeweyckx M . The effect of simple obesity on growth and growth hormone. Horm Res 1993; 40: 23–30.
De Leonibus C, Marcovecchio ML, Chiavaroli V, de Giorgis T, Chiarelli F, Mohn A . Timing of puberty and physical growth in obese children: a longitudinal study in boys and girls. Pediatr Obes 2014; 9: 292–299.
Marcovecchio ML, Chiarelli F . Obesity and growth during childhood and puberty. World Rev Nutr Diet 2013; 106: 135–141.
Argente J, Caballo N, Barrios V, Pozo J, Muñoz MT, Chowen JA et al. Multiple endocrine abnormalities of the growth hormone and insulin-like growth factor axis in prepubertal children with exogenous obesity: effect of short- and long-term weight reduction. J Clin Endocrinol Metab 1997; 82: 2076–2083.
Riedel M, Hoeft B, Blum WF, von zur Mühlen A, Brabant G . Pulsatile growth hormone secretion in normal-weight and obese men: differential metabolic regulation during energy restriction. Metabolism 1995; 44: 605–610.
Martin NM, Houston PA, Patterson M, Sajedi A, Carmignac DF, Ghatei MA et al. Abnormalities of the somatotrophic axis in the obese agouti mouse. Int J Obes 2006; 30: 430–438.
Lu D, Willard D, Patel IR, Kadwell S, Overton L, Kost T et al. Agouti protein is an antagonist of the melanocyte-stimulating-hormone receptor. Nature 1994; 371: 799–802.
Soto N, Bazaes RA, Peña V, Salazar T, Avila A, Iñiguez G et al. Insulin sensitivity and secretion are related to catch-up growth in small-for-gestational-age infants at age 1 year: results from a prospective cohort. J Clin Endocrinol Metab 2003; 88: 3645–3650.
Gat-Yablonski G, Phillip M . Leptin and regulation of linear growth. Curr Opin Clin Nutr Metab Care 2008; 11: 303–308.
Phillip M, Moran O, Lazar L . Growth without growth hormone. J Pediatr Endocrinol Metab 2002; 15 (Suppl 5): 1267–1272.
Tallam LS, Stec DE, Willis MA, da Silva AA, Hall JE . Melanocortin-4 receptor-deficient mice are not hypertensive or salt-sensitive despite obesity, hyperinsulinemia, and hyperleptinemia. Hypertension 2005; 46: 326–332.
Greenfield JR, Miller JW, Keogh JM, Henning E, Satterwhite JH, Cameron GS et al. Modulation of blood pressure by central melanocortinergic pathways. N Engl J Med 2009; 360: 44–52.
Kirk SL, Samuelsson AM, Argenton M, Dhonye H, Kalamatianos T, Poston L et al. Maternal obesity induced by diet in rats permanently influences central processes regulating food intake in offspring. PLoS One 2009; 4: e5870.
Davidowa H, Plagemann A . Insulin resistance of hypothalamic arcuate neurons in neonatally overfed rats. Neuroreport 2007; 18: 521–524.
Srinivasan M, Mitrani P, Sadhanandan G, Dodds C, Shbeir-ElDika S, Thamotharan S et al. A high-carbohydrate diet in the immediate postnatal life of rats induces adaptations predisposing to adult-onset obesity. J Endocrinol 2008; 197: 565–574.
Horvath TL, Sarman B, García-Cáceres C, Enriori PJ, Sotonyi P, Shanabrough M et al. Synaptic input organization of the melanocortin system predicts diet-induced hypothalamic reactive gliosis and obesity. Proc Natl Acad Sci USA 2010; 107: 14875–14880.
Davidowa H, Li Y, Plagemann A . Altered responses to orexigenic (AGRP, MCH) and anorexigenic (alpha-MSH, CART) neuropeptides of paraventricular hypothalamic neurons in early postnatally overfed rats. Eur J Neurosci 2003; 18: 613–621.
Plagemann A, Harder T, Brunn M, Harder A, Roepke K, Wittrock-Staar M et al. Hypothalamic proopiomelanocortin promotor methylation becomes altered by early overfeeding: an epigenetic model of obesity and the matabolic syndrome. J Physiol 2009; 587: 4963–4976.
Larsen LH, Echwald SM, Sørensen TI, Andersen T, Wulff BS, Pedersen O . Prevalence of mutations and functional analyses of melanocortin 4 receptor variants identified among 750 men with juvenile-onset obesity. J Clin Endocrinol Metab 2005; 90: 219–224.
Demiralp DO, Berberoglu M, Akar N . Melanocortin-4 receptor polymorphisms in Turkish pediatric obese patients. Clin Appl Thromb Hemost 2011; 17: 70–74.
Jacobson P, Ukkola O, Rankinen T, Snyder EE, Leon AS, Rao DC et al. Melanocortin 4 receptor sequence variations are seldom a cause of human obesity: the Swedish Obese Subjects, the HERITAGE Family Study, and a Memphis cohort. J Clin Endocrinol Metab 2002; 87: 4442–4446.
Nijenhuis WA, Garner KM, van Rozen RJ, Adan RA . Poor cell surface expression of human melanocortin-4 receptor mutations associated with obesity. J Biol Chem 2003; 278: 22939–22945.
Vaisse C, Clement K, Durand E, Hercberg S, Guy-Grand B, Froguel P . Melanocortin-4 receptor mutations are a frequent and heterogeneous cause of morbid obesity. J Clin Invest 2000; 106: 253–262.
Xiang Z, Proneth B, Dirain ML, Litherland SA, Haskell-Luevano C . Pharmacological characterization of 30 human melanocortin-4 receptor polymorphisms with the endogenous proopiomelanocortin-derived agonists, synthetic agonists, and the endogenous agouti-related protein antagonist. Biochemistry 2010; 49: 4583–4600.
Biebermann H, Krude H, Elsner A, Chubanov V, Gudermann T, Grüters A . Autosomal-dominant mode of inheritance of a melanocortin-4 receptor mutation in a patient with severe early-onset obesity is due to a dominant-negative effect caused by receptor dimerization. Diabetes 2003; 52: 2984–2988.
Gu W, Tu Z, Kleyn PW, Kissebah A, Duprat L, Lee J et al. Identification and functional analysis of novel human melanocortin-4 receptor variants. Diabetes 1999; 48: 635–639.
Ho G, MacKenzie RG . Functional characterization of mutations in melanocortin-4 receptor associated with human obesity. J Biol Chem 1999; 274: 35816–35822.
Calton MA, Ersoy BA, Zhang S, Kane JP, Malloy MJ, Pullinger CR et al. Association of functionally significant Melanocortin-4 but not Melanocortin-3 receptor mutations with severe adult obesity in a large North American case-control study. Hum Mol Genet 2009; 18: 1140–1147.
Valli-Jaakola K, Lipsanen-Nyman M, Oksanen L, Hollenberg AN, Kontula K, Bjørbaek C et al. Identification and characterization of melanocortin-4 receptor gene mutations in morbidly obese finnish children and adults. J Clin Endocrinol Metab 2004; 89: 940–945.
Acknowledgements
This study was supported by grants from the German Federal Ministry for Education and Research within the German Competence Network on Obesity (BMBF, project funding reference numbers: 01GI1120A+B (February 2012–January 2015) and 01GI1401 (February 2015–January 2018)).
Author information
Affiliations
Corresponding author
Ethics declarations
Competing interests
The authors declare no conflict of interest.
Rights and permissions
About this article
Cite this article
Vollbach, H., Brandt, S., Lahr, G. et al. Prevalence and phenotypic characterization of MC4R variants in a large pediatric cohort. Int J Obes 41, 13–22 (2017). https://doi.org/10.1038/ijo.2016.161
Received:
Revised:
Accepted:
Published:
Issue Date:
DOI: https://doi.org/10.1038/ijo.2016.161
Further reading
-
Angeborene Adipositasformen und Therapien
Journal für Klinische Endokrinologie und Stoffwechsel (2021)
-
Clinical Assessment and Treatment of Early-Onset Severe Obesity
Current Obesity Reports (2021)
-
Obesity treatment effect in Danish children and adolescents carrying Melanocortin-4 Receptor mutations
International Journal of Obesity (2021)
-
Early childhood BMI trajectories in monogenic obesity due to leptin, leptin receptor, and melanocortin 4 receptor deficiency
International Journal of Obesity (2018)
-
Genetic and Syndromic Causes of Obesity and its Management
The Indian Journal of Pediatrics (2018)



