Abstract
Associations of particulate matter (PM) and ozone with morbidity and mortality have been reported in many recent observational epidemiology studies. These studies often considered other gaseous co-pollutants also as potential confounders, including nitrogen dioxide (NO2), sulfur dioxide (SO2), and carbon monoxide (CO). However, because each of these air pollutants can have different seasonal patterns and chemical interactions, the estimation and interpretation of each pollutant's individual risk estimates may not be straightforward. Multi-collinearity among the air pollution and weather variables also leaves the possibility of confounding and over- or under-fitting of meteorological variables, thereby potentially influencing the health effect estimates for the various pollutants in differing ways. To investigate these issues, we examined the temporal relationships among air pollution and weather variables in the context of air pollution health effects models. We compiled daily data for PM less than 2.5 μm (PM2.5), ozone, NO2, SO2, CO, temperature, dew point, relative humidity, wind speed, and barometric pressure for New York City for the years 1999–2002. We conducted several sets of analyses to characterize air pollution and weather data interactions, to assess different aspects of these data issues: (1) spatial/temporal variation of PM2.5 and gaseous pollutants measured at multiple monitors; (2) temporal relationships among air pollution and weather variables; and (3) extent and nature of multi-collinearity of air pollution and weather variables in the context of health effects models. The air pollution variables showed a varying extent of intercorrelations with each other and with weather variables, and these correlations also varied across seasons. For example, NO2 exhibited the strongest negative correlation with wind speed among the pollutants considered, while ozone's correlation with PM2.5 changed signs across the seasons (positive in summer and negative in winter). The extent of multi-collinearity problems also varied across pollutants and choice of health effects models commonly used in the literature. These results indicate that the health effects regression need to be run by season for some pollutants to provide the most meaningful results. We also find that model choice and interpretation needs to take into consideration the varying pollutant concurvities with the model co-variables in each pollutant's health effects model specification. Finally, we provide an example for analysis of associations between these air pollutants and asthma emergency department visits in New York City, which evaluate the relationship between the various pollutants' risk estimates and their respective concurvities, and discuss the limitations that these results imply about the interpretability of multi-pollutant health effects models.
Introduction
A large number of studies have examined the short-term associations between air pollution and morbidity and mortality outcomes, but a surge in the increasing number of these studies has occurred over the last two decades. The most common study design is time-series analysis, comparing day-to-day fluctuations of community average air pollution and corresponding fluctuations in the daily citywide aggregate counts of morbidity or mortality, while adjusting for temporal trends and weather effects. The basic modeling concept goes back to several studies conducted in London, England in the 1950s and 1960s (e.g., Scott, 1958; Martin and Bradley, 1960) in which attempts were made to quantitatively link particulate matter (PM), sulfur dioxide (SO2) and daily deaths, adjusting for temporal trends. Several studies also reported associations between PM and mortality in the U.S. in the 1970s (e.g., Schimmel and Greenburg, 1972; Schimmel and Murawski, 1976; Schimmel, 1978), using increasingly more elaborate techniques. The 1980s brought a re-evaluation of the London data sets by several researchers to quantify the relationship between air pollution and mortality (Ware et al., 1981; Mazumdar et al., 1982; Shumway et al., 1983; Schwartz and Marcus, 1986; Thurston et al., 1989). Most of the above studies focused on PM and SO2, the “classic” primary air pollution products of coal burning. In addition to the main objective of quantifying the exposure–response relationships, the relative importance of PM and SO2 was often examined in these studies.
The surge in the number of time-series studies in the 1990s appears to have started with a series of reported associations between daily morbidity/mortality and PM whose levels were mostly well below the ambient air quality standard (Pope, 1989; Fairley, 1990; Dockery et al., 1992; Pope et al., 1992; Schwartz and Dockery, 1992a, 1992b). The PM controversy (Utell and Samet, 1993) led to more analyses and increased funding for PM research. Many of the respiratory morbidity studies whose main interest was the effects of summer haze air pollution, which includes ozone (O3) and secondary fine particles also applied similar time-series concepts (e.g., Bates and Sizto, 1983, 1987; Thurston et al., 1994, 1997). However, as an increasing number of studies expanded to examine other gaseous pollutants, with the rationale that they may be potential confounders in the PM-health effects association.
These analyses then expanded to consider multiple cities, to increase statistical power. Many of these year-round multi-city studies found that some of these gaseous pollutants were also significantly associated with morbidity and mortality. The Air Pollution and Health—A European Approach (APHEA) study reported positive and significant associations between mortality and NO2 (Touloumi et al., 1997), and a later report suggested that PM mortality risk estimates were higher in cities where NO2 levels were higher (Katsouyanni et al., 2001). A systematic time-series analysis of the largest 90 U.S. cities (Samet et al., 2000; Dominici et al., 2003) found that PM was associated with mortality, but their results also showed that other gaseous pollutants were also associated with mortality in single-pollutant models, although less consistently than PM. A meta-analysis of PM and gaseous pollutants also showed that PM, NO2, CO, and SO2, all showed a positive and significant mortality risk estimates (Stieb et al., 2002, 2003). Burnett et al.'s (2004) analysis of 12 Canadian cities also suggested that NO2 was most consistently associated with mortality. Since many of these pollutants come from the same sources (e.g., traffic and other combustion sources) and day-to-day fluctuations of air pollution are strongly influenced by weather conditions, it is not surprising that these air pollutants are temporally correlated and that the collinearity possibly leads to conflicting associations.
Despite the statistical power advantages of the multi-year and multi-city studies, the challenge of choosing the most appropriate model specification remains, and is potentially worsened by the fact that the population make up and pollutant-meteorological interactions may vary from city to city, and season to season. The difficulty in interpreting each individual pollutant's risk estimate is also that it is often not clear as to what extent each gaseous pollutant's risk estimate represents its own effects or whether the pollutant in question acts as a surrogate marker of PM sources. For example, the presence of high NO2 levels is likely also associated with periods of elevated impacts of PM from motor vehicles. Most studies analyze each of the multiple pollutants in the same health effects regression model as if each pollutant's risk estimate represents its own (chemical entity's) independent effect, but each pollutant's correlation with other covariates in the regression model (e.g., temporal trends, weather variables, day of week) is expected to be different from other pollutants'. Therefore, the optimal extent of model “adjustment” applied is likely to vary from pollutant to pollutant, city to city, and season to season, depending upon the interactions that are occurring among the base model (i.e., the model without a pollutant included) meteorological and seasonal “controlling” terms and the particular pollutant(s) under consideration. The correlation among air pollution and weather variables can also vary across seasons, and thus the correlation matrix (and regression) for the year-round data may be misleading. Furthermore, the measurement error associated with each of the pollutants in representing the city's population exposure may vary across pollutants and between seasons. Therefore, the aim of this study was to systematically investigate the influences of the temporal relationships among the air pollution and weather variables beyond the usual extent of consideration given in most time-series epidemiological literature, and including all of the criteria air pollutants (PM2.5, O3, NO2, SO2, and CO). In addition, we provide an example analysis of health outcome data (asthma emergency department (ED) visits) using these air pollutants, and discuss the relationship between the results from the above analysis and the pollutants' corresponding risk estimates in New York City.
Methods
Data
The data from all the air quality monitors within a 20-mile radius from the geographic center of New York City were obtained, and the average of multiple monitors were computed for each day. We retrieved all the relevant air pollution variables from the EPA's Air Quality System (AQS): PM less than 2.5 μm (PM2.5), collected by the 24-h filter samples using the Federal Reference Method (FRM), PM2.5, and PM10 data measured by the tapered element oscillating microbalance (TEOM) procedure ozone (O3), nitrogen dioxide (NO2), sulfur dioxide (SO2), and carbon monoxide (CO). There were 17 ozone monitors with this inclusion criterion, but the data from a monitor at the top of the World Trade Center was excluded because of its height (it read higher readings than the nearby monitors on the ground level), and because the site was destroyed during the attack on 9/11/01. There were 30 monitors for the FRM PM2.5, 24 monitors for TEOM PM2.5, 18 monitors for CO, 15 monitors for NO2, and 19 monitors for SO2. The average values across the monitors were then computed for further analyses.
PM2.5 data were available from 1999; therefore, we evaluated the influence of PM2.5 and other co-pollutants for the years 1999–2002. Hourly readings were available for the gaseous pollutants and the TEOM PM data. We computed the daily summary exposure index for each pollutant based on the averaging time used for the National Ambient Air Quality Standard (NAAQS). Thus, 24-h average values were computed for TEOM PM2.5 (FRM PM2.5 was available as a 24-h average), NO2 (there is no daily NAAQS for NO2), and SO2. The daily maximum of the 8-h average values were computed for O3 and CO.
We retrieved and analyzed the daily 24-h average temperature, dew point, maximum relative humidity, resultant wind speed, and barometric pressure from La Guardia airport using EarthInfo (Boulder, Colorado, USA), which compiled the First Order Summary of the Day data from the National Climatic Data Center.
The asthma ED visits data considered here were obtained from the 11 New York City Health and Hospitals Corporation medical centers with emergency receiving facilities. These hospitals are municipally run and serve a largely poor and minority population located within the five boroughs of New York City. The asthma ED visits for all ages were considered in this analysis. More details of the asthma ED visits data set can be found in Silverman et al. (2005).
Data Analysis
We conducted several sets of analyses to characterize the interactions among the air pollution and weather variables, and to describe these interactions’ effects on the modeling of time-series analysis of health effects outcomes. The three sets of data interaction analyses were as follows: (1) spatial/temporal variation of PM2.5 and gaseous pollutants measured at multiple monitors; (2) temporal relationships among air pollution and weather variables; and (3) extent and nature of the multi-collinearity of the air pollution and weather variables in the context of health effects models. Our primary objectives were (2) and (3), but (1) affects the interpretation of (2) and (3). In addition, we present an example analysis of asthma ED visits data using these air pollution variables.
Spatial/Temporal Error of PM2.5 and Gaseous Pollutants Measured at Multiple Monitors
There are several types of exposure errors associated in the time-series air pollution data in representing the population exposure of the city in question, including (1) analytical (chemical/physical) measurement errors; (2) discrepancy between personal exposures and ambient concentrations; and (3) error in a community monitor's ability to represent the population exposure of the city. The first type of error is generally considered small, provided that the concentration levels are well above the detection limits (which is usually the case for PM2.5 and gaseous pollutants, but not as usually the case for many of PM2.5 chemical species). The second type of error has been characterized for PM in several personal exposure studies (e.g., Lioy et al., 1990; Janssen et al., 1998, 1999) and less frequently for gaseous pollutants in addition to PM2.5 (Sarnat et al., 2001, 2005). These studies generally find that, while personal levels of air pollution differ between personal vs. central site monitors, the population mean of the personal exposures correlate well with the central site monitor over time, causing this source of error to be relatively small in the population-based time-series studies considered here. The third type of error, which may be called ecologic-level exposure error, has to do with the spatial/temporal uniformity of temporal fluctuations of air pollution. A few past studies have previously examined this type of error (e.g., Ito et al., 2001, 2005; Pinto et al., 2004). Examining the variability and effects of this ecologic-level exposure error across pollutants and models is the primary focus of this analysis.
There are two aspects of this ecologic-level error: (1) errors in correlation of temporal fluctuations at multiple locations within the city (i.e., the extent to which the correlation coefficient, r, between data from different sites over time is less than 1.0) and (2) the difference in absolute concentration levels of pollutants across the city. In the first case, if temporal fluctuations of an air pollutant measured at multiple locations are not highly correlated with each other, that is indicative of an ecologic-level error of that air pollutant, and the relationship between the data from a central-site community monitor (or the average of a few monitors) for such an air pollutant with health outcomes would be biased toward null. In the second case, a difference in the absolute concentration levels of an air pollutant across the city does not necessarily affect the strength of association between that pollutant and the health outcome, but the slope (risk estimate) can still be biased if the average level of the monitor's data is lower (which would result in a positive bias) or higher (a negative bias) relative to the true citywide average.
We estimate each of these two ecological error terms for each pollutant in the case of New York City. We compute the first term by calculating the monitor-to-monitor temporal correlations from multiple monitors for each pollutant considered. Since the correlation of two time series can be heavily influenced by trends and seasonal cycles, and since such trends are routinely “controlled for” in health effects regression models, we computed the monitor-to-monitor temporal correlation after removing the temporal trends from each series using the Generalized Additive Model (GAM) (note that there is only one smoothing term in the model, which should not result in biased results) and smoothing splines with 8 d.f. per year. Although there are at least 15 monitors available for each of the pollutants, and their sampling periods did not always overlap. Therefore, we computed temporal correlation only when at least 60 overlapping observations were available in each pair of monitors. To estimate the second aspect of ecologic error, we computed the coefficient of variation (CV) of the average values across monitors.
Temporal Relationships among Air Pollution and Weather Variables
To characterize the temporal relationships among air pollution and weather variables, we computed the cross-correlation function (CCF) (correlation with lags) for each variable considered. For air pollution variables, we used the average of multiple monitors as the input to the CCF. These cross-correlations can indicate the sequence of temporal fluctuations (i.e., which variable leads the other in time). Again, the correlation between the two time series can be strongly influenced by shared trends and seasonal cycles. Therefore, to remove the influence of these temporal patterns and to focus on the short-term relationships between the variables, each of the weather and air pollution time series was first pre-filtered in the GAM using smoothing splines function with 8 d.f. per year prior to computation of CCF. Also, since the lag-structure of CCF in the short-term span (e.g., days) can also be influenced by each series' day-of-week pattern, we also removed this trend by including day-of-week indicator variables in the same data filtering GAM. Furthermore, since relationships among the weather and air pollution variables can change across seasons, the CCF was computed in a series of 12 3-month blocks centered on each month of the year, and pooled for the entire 4-year study period.
Extent and Nature of Multi-Collinearity of the NYC Air Pollution and Weather Variables
To characterize the extent and nature of the multi-collinearity in the context of current air pollution short-term health effects studies, we computed the variables' concurvity (i.e., the nonlinear analogue of multi-collinearity) using the regression models similar to those used in the time-series air pollution literature. Concurvity was computed by regressing each of the air pollution variables on the same covariates usually used in the health effects regression models, except that the Gaussian model was used rather than the Poisson model (used for counts), and the extent of concurvity was expressed as the correlation between the original series and the predicted series from the regression, as has been carried out previously in other studies (Dominici et al., 2002; Ramsay et al., 2003). Because we were interested in which of the meteorological or seasonal covariate(s) were correlated with each of the air pollutants, we computed concurvity in sets of building models that included one added term with each new model, as follows: (1) adjustment term for temporal trends; (2) model (1) plus weather terms; (3) model (2) plus day-of-week indicators; (4) model (3) plus one of the other pollutants, and so on. On the basis of the fact that the majority of the reviewed pollution health effects studies showed associations between today's health with 0- or 1-day lagged pollution concentrations (i.e., same day or day before pollution), we included the average of 0- and 1-day lagged pollution indices in this analysis. To adjust for seasonal cycles and other temporal trends, we included a smoothing function of days using natural splines with 8 d.f. per year as a base model and, as a sensitivity analysis, we also used 4 and 16 d.f. per year for comparison. This range covers the extent of temporal smoothing used in most past published time-series health effects studies.
On the basis of the types of weather models most commonly used in the published literature, we considered three alternative weather models: (A) two smoothing terms including: (i) one with natural splines of same-day temperature (d.f.=3) and (ii) another with natural splines of same-day dew point (d.f.=3) (i.e., a model similar to that used in Schwartz et al., 1996; Klemm et al., 2000; Schwartz, 2003; Klemm and Mason, 2003); (B) four smoothing terms, including: (i) natural splines of same-day temperature (d.f.=6), (ii) natural splines of the average of lag 1 through 3-day temperature (d.f.=6), (iii) natural splines of same-day dew point (d.f.=3), and (iv) natural splines of the average of lag 1 through 3 day dew point (d.f.=3) (i.e., similar to the model used in Samet et al., 2000; Dominici et al., 2003, 2006; Bell et al., 2004), and; (C) a more parsimonious version of model (B) that has (i) natural splines of same-day temperature (d.f.=3) and (ii) natural splines of the average of lag 1 through 3 day temperature (d.f.=3). The model (C) did not include dew point, because dew point was so highly correlated with temperature in this data set (r=0.93), which may lead to unstable fits if placed in the model simultaneously with temperature when they are so highly correlated. Since the relationships among the weather and air pollutants are expected to change across seasons, the above analysis was repeated for both the warm season (April through September) and the cold season (October through March).
For the analysis of asthma ED visits data, we used a Poisson's Generalized Linear Model to estimate the impact of ozone on the asthma ED visits while adjusting for the effects of temporal trends, day-of-week, weather, and accommodating over-dispersion of the ED visit series. We used the same three weather models as those used in the concurvity analysis above. We analyzed the data for all year, warm months and cold months, but to avoid the influence of the fall peaks in asthma ED visits (Silverman et al., 2005), we excluded September and October. To adjust for temporal trends, we used natural splines with 8 and 4 d.f. per season (warm and cold months). As in the concurvity analysis above, the average of 0- and 1-day lag pollution was included in the model. Single- and two-pollutant models were examined.
Results
Table 1 shows the distribution of air pollution variables for the all-year, warm seasons, and cold seasons, respectively. Seasonal contrasts are clear for O3 (higher in the warm season) and SO2 (higher in the cold season). Figure 1 presents the raw data time-series plots of each of the air pollution variables. Note that all the pollutants show some extent of seasonality, except for NO2, which shows white noise-like fluctuations around the mean of approximately 30 p.p.b. CO exhibits a declining trend during the 4-year period.
Spatial/temporal Variation of PM2.5 and Gaseous Pollutants Measured at Multiple Monitors
Figure 2 presents the paired monitor-to-monitor correlation vs. corresponding separation distance for each of the air pollutants as a function of separation distance between the sites. PM2.5 (FRM and TEOM) monitors showed the highest monitor-to-monitor correlation, followed by NO2 and O3. SO2 and CO generally showed poorer correlation. Table 2 shows median values of these correlations as well as the CV of the monitors' mean values (i.e., within-city variation of the mean). Again, PM2.5 (FRM and TEOM) monitors showed the smallest spatial variation (∼10%) in the mean levels across the monitors, followed by NO2 (17%) and O3 (19%). In contrast, SO2 and CO had much larger spatial variation (36%) of the mean values. Since the FRM PM2.5 and TEOM PM2.5 are highly correlated (r=0.92), the following analyses will only examine FRM PM2.5.
Temporal Relationships Among Air Pollution and Weather Variables
Because of the large number of CCF results, we have shown them here only as figures. Also, because the pattern of results for SO2 and CO was similar to that for NO2 but weaker, we show results for PM2.5, O3, and NO2 only.
Figure 3 shows the CCFs for wind speed vs. PM2.5, O3, and NO2. NO2 showed the strongest negative associations with wind speed year-round, whereas PM2.5's negative associations with wind speed are weaker during warm seasons, likely due to the domination of transported secondary sulfate, which is regionally distributed and therefore less wind dependent. O3's associations with wind speed changed signs across seasons. Note that, in these results, the strongest associations are on the same day, but the lag structure of associations is generally not symmetric (low wind speed tends to lead the air pollution).
Figure 4 shows the CCFs for temperature and air pollutants. The lag structure of associations is generally not symmetric. For PM2.5 and NO2, in cold seasons, colder temperature days result in higher air pollution levels a few days later in cold seasons, likely due to the setting up of a high-pressure cell over the NYC area in the days following the passage of a cold front. However, the higher NO2 or PM2.5 levels are also predictive of the following days' warmer temperature, likely due to the tendency for warmer south-west winds on the “back-side” of a high-pressure cell. O3's association with temperature was positive in summer and negative in winter, suggesting different mechanisms for the temporal fluctuations of the ozone in the two different seasons. Figure 5 shows the CCFs for barometric pressure and air pollutants. Barometric pressure is positively associated with the following days PM2.5 and NO2, especially in colder seasons, consistent with the setting up of a high-pressure dome over the metropolitan area on those days.
Figure 6 shows the CCF's relationships between PM2.5 vs. O3 and NO2. The lag structure of associations between PM2.5 and O3 is generally symmetric, but the correlation is positive in the warm season and negative in the cold season. The association between PM2.5 and NO2 is strongest on the same day, but the lag structure of association is not symmetric—higher NO2 levels are positively predictive of the following day's PM2.5. These results generally suggest that the correlation among air pollution and weather variables have varying lag structure of associations and the association can differ across pollutants and also change across seasons.
Extent and Nature of Multi-Collinearity of the Air Pollution and Weather Variables
Table 3 shows computed concurvity of air pollution variables using three alternative weather models and using d.f.=8 per year for fitting temporal trends in the all-year data. Sensitivity analysis using 4 d.f. and 16 d.f. per year showed nearly identical results once the weather terms are included (likely because the weather terms have seasonal trends), and therefore not shown here. PM2.5 and NO2 showed the two lowest correlations with temporal trends. O3 showed the strongest association with temporal trends. When weather terms are added, concurvity increased substantially for PM2.5 and NO2, but NO2 still showed the lowest concurvity of all the pollutants considered, indicating that it would be least affected by the co-presence of the temperature variables to the model. The inclusion of the day-of-week term increased concurvity slightly for NO2 and CO. Adding PM2.5 in the model increased concurvity problems for the gaseous pollutants, except O3. Adding O3 did not change concurvity for PM2.5 and other pollutants. The three alternative weather models showed very similar results, although the model B (the model that has the most number of terms and degrees of freedom) almost always showed the strongest concurvity problems among the three models. Thus, these analyses indicate that NO2 is most likely to be identified independent of the other pollutants in this city, and that the concurvity problems of all pollutants grow with the year-round model that most aggressively controls for seasonality and long-term trends.
The results for the warm (Table 4) and cold (Table 5) seasons showed generally similar patterns to those in the all-year data, but with a few notable exceptions. The extent of correlation with temporal trends is reduced for O3 and SO2, as expected because these two pollutants showed the strongest seasonal cycles. PM2.5's concurvity is larger in the warm season than in the all-year data, likely because PM2.5 in the warm season in this locale is dominated with secondary sulfate, which positively correlates with temperature. Interestingly, in contrast to the all-year and warm season results, adding O3 increased concurvity problems for PM2.5 and other gaseous pollutants in the cold season. Thus, the pollutant–pollutant and pollutant–weather interactions can vary by season, and concurvity problems are reduced by separately analyzing the seasons in this city, suggesting the need for season-specific analyses of health effects.
An Example Analysis of Asthma ED Visits
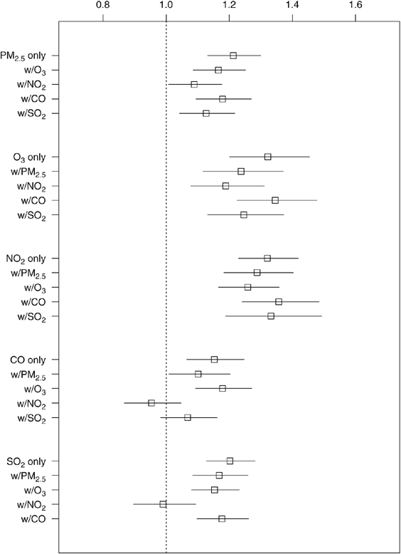
Figure 7 shows results of asthma ED visits risk estimates per 5th to 95th percentile of air pollution increment in the single-pollutant models for all-year, warm months, and cold months. NO2 was generally the most significant (and the largest in effect size per the same distributional increment) predictor of asthma ED visits among these pollutants for all-year and warm months (e.g., for Model C, RR=1.14 (95% CI: 1.09, 1.19) per 24 p.p.b. increase and 1.32 (95% CI: 1.23, 1.42) per 25 p.p.b. increase, respectively). However, it is important to examine this result in the context of corresponding pollutants' concurvity (see Tables 3, 4 and 5). NO2 exhibited the lowest concurvity with the temporal trend plus weather terms among the pollutants in the all-year and warm months. O3's risk estimates in cold months are negative, but given the very low levels of O3 in cold months, it is unlikely that such associations are causal health effects. These associations may arise because of O3's negative associations with temperature or PM2.5 in cold months (see Figures 4 and 6). The three alternative weather models generally did not make substantial difference in risk estimates, except for O3 in all-year and warm months in which Model B resulted in much smaller risk estimates than those from Model A or C. This is not surprising because Model B adjusts for temperature more aggressively than Model A or C. Thus, these health effect results are consistent with the patterns found in the CCF and concurvity results.
Figure 8 shows two-pollutant model results for warm months using Model C. NO2's risk estimates were most robust to the addition of other pollutants in the model, and the addition of NO2 reduced other pollutants' risk estimates most consistently. CO and SO2's associations with asthma ED visits (RR=1.15 (95% CI: 1.07, 1.25) per 1.3 p.p.m. increase and 1.20 (95% CI: 1.13, 1.28) per 6 p.p.b. increase, respectively) were “eliminated” once NO2 was included in the model, which is consistent with the result of monitor-to-monitor correlations, suggesting that NO2 has less exposure error than CO or SO2 in this data set. We do caution that these differences may also reflect the corresponding differences in toxicity, but it is impossible to differentiate such factors in multi-pollutant models.
Discussion
This analysis examined three issues that affect interpretations of short-term health-risk estimates for multiple air pollutants: (1) ecologic error associated with PM2.5 and gaseous pollutants in representing a city's population exposure; (2) lag structure of temporal correlation among air pollution and weather variables; and (3) multi-collinearity of the PM2.5 and gaseous pollutants in the prevailing health effects model specifications. These issues are typically not described or investigated in detail in most of time-series studies in the literature, but nevertheless, are important in interpreting, and especially in inter-comparing, individual pollutant health effect estimates from multi-pollution exposures. We found that, in this locale, PM2.5 showed the best characteristics, on an ecologic-level, in representing the citywide population exposures in terms of high monitor-to-monitor correlation (r>0.9) and high precision (CV∼10%) of the mean levels within the city. NO2 and O3 also showed high monitor-to-monitor correlation (r∼0.9), but the precision of the mean levels (CV∼20%) was lower than that for PM2.5. Ozone also varied most between seasons, suggesting that annual analyses will not provide meaningful results for this pollutant. SO2 and CO showed lower monitor-to-monitor correlation (r∼0.7 and 0.6, respectively) and low within-city precision of the mean levels (CV=36%), indicating that these pollutants' risk estimates could be biased in short-term health effects models.
Most of the current time-series studies of health effects of air pollution employ regression models that adjust for the effects of weather. Both extreme heat waves and cold spells are known to affect a variety of health end points, and therefore adjusting for such events is clearly important. However, less is known regarding the health effects of temperature in the “milder” middle range of temperature. The weather condition is a major driving force of day-to-day fluctuations of air pollution concentrations, and temperature may be an indicator of the change in weather conditions. Our result shows that NO2 (after removing long-term trends) is positively associated with the current and the following days' temperature (i.e., NO2 leads temperature to some extent), although cold temperature (which is followed by higher barometric pressure, poor dispersion, and increased NO2 a few days later. Moreover, O3's association with temperature even changed sign across seasons. Thus, the relationship between temperature and air pollution can be complex and vary with season. In fact, it is not clear whether the temperature terms in the health effects regression models actually “control” for the weather effects, or are actually acting as surrogates for pollutants in the middle range of temperature, where direct temperature health effects are unlikely. If true, this would lead to over-adjustment of health effects for weather, and an underestimation of pollutants most correlated with temperature. Further research is needed on the extent of weather adjustment terms needed or desirable in air pollution models.
The results from an analysis of concurvity indicated that the extent of multi-collinearity with covariates in typical time-series health effects models varies across the pollutants. PM2.5 and NO2 showed the least correlation with temporal trends. With weather terms in the model, NO2 showed the lowest concurvity among the pollutants, but the day-of-week term increased NO2's concurvity the most. Adding any of PM2.5, NO2, SO2, or CO to these pollutants' models generally increased concurvity for these pollutants to a similar extent, suggesting possible confounding among them. Although adding O3 in the model generally did not increase concurvity of PM2.5, NO2, SO2, or CO, it did increase their concurvity in the cold season, despite the fact that O3 levels are quite low in the cold season, possibly an indication that wintertime O3 may be acting as a surrogate for specific weather conditions. For all the pollutants, a combination of temporal trends, weather term, day-of-week, and a co-pollutant made concurvity in the range between 0.8 and 0.9. These results suggest the importance of analysis by season and also the limitation of two-pollutant models.
NO2 was also most negatively associated with wind speed (and wind speed leads NO2), indicating that NO2 may also be serving as a good indicator of general local air stagnation. PM2.5 and O3 are less correlated with wind speed, likely because these pollutants are distributed regionally and are therefore less affected by local wind speed or direction. Thus, NO2 may be a good indicator of more air pollution from local combustion sources. NO2 is sometimes referred to as a surrogate marker of traffic-related air pollution. Seaton and Dennekamp (2003) suggested that NO2 may be a surrogate for ultrafine particles, especially the number concentrations. Since both NO (which gets converted to NO2) and ultrafine particles are generated by the combustion process, NO2 and ultrafine particles are likely to correlate. In their measurements over 6 months in Aberdeen city, the correlation between NO2 and the number concentration (r=0.89) was much higher than that between NO2 and PM2.5 (r=0.55) and that between NO2 and PM10 (r=0.45). Thus, NO2 may also be a marker of another agent that may not be measured routinely and yet has some potential health effects. Whether it is a surrogate or not, NO2 in our data showed desirable characteristics in the context of time-series health effects analysis, in that it has small ecologic error and relatively small concurvity among the air pollutants. Thus, it would not be surprising where models that input all pollutants at once, NO2 becomes the apparent individual “winner” in simultaneous regressions, since it is the pollutant that varies least like all the rest of the pollutants, and is least affected by concurvity in such a multi-pollutant model.
The question of relationship between ambient concentration and personal exposures of multiple air pollutants is another important issue in interpreting health-risk estimates of multi-pollutants that was beyond the scope of our analysis. There are a few studies that have examined this issue. Sarnat et al. (2001) conducted a study in Baltimore, Maryland, USA and measured personal exposure levels of PM2.5, NO2, O3, SO2, and CO for 56 subjects. Ambient concentrations were not associated with their corresponding personal exposures for any of the pollutants, except for PM2.5. Interestingly, however, some of the ambient gaseous pollutants were significant predictors of personal PM2.5. The results from Sarnat et al.'s (2005) another study in Boston, Massachusetts, USA generally support their findings in Baltimore in that summertime gaseous pollutant concentrations may be better surrogates of personal PM2.5 exposures than they are surrogates of personal exposures to the gases themselves. These studies may be limited in size and locations, and clearly more studies like these in other locales are needed.
This study characterized the relationships among PM2.5, gaseous pollutants, and weather variables in New York City, but the results may not yet be generalized for other cities. New York City is large in terms of population, but relatively small in terms of geographic scale compared to other large cities in the United States (e.g., Chicago and Los Angeles). The types of air pollution sources in New York City are not unlike other east-coast cities, with the mixed influences of transported secondary aerosols, traffic-related pollution, and other local combustion sources. However, characterization of air pollution in the context of health effects studies needs to be conducted in other locations with different pollution sources and climate to obtain a more comprehensive understanding of the relationships among weather and air pollution variables and their influences on the individual air pollutant effect estimates.
The results from the example analysis of asthma ED visits were generally as expected from the concurvity analysis: NO2, which showed the lowest concurvity with temporal trend and weather terms among the pollutants, was the most independent predictor of asthma ED visits in the warm season when the pollutants were considered simultaneously. The fact that this was so predictable on the basis of the model specification interactions alone without consideration of the health effects) places great suspicion on the practice of interpreting multi-pollutant regressions as indicative of the pollutants' relative health effects, when it is much more likely that it is a product of the pollutants' respective model term interactions. The result that CO and SO2's associations with asthma ED visits were eliminated once NO2 was included in the model was also consistent with NO2's smaller expected exposure error compared with CO and SO2. However, obviously, these results may reflect actual difference in toxicity of either the corresponding pollutants themselves, or the pollution mixture that these pollutants are surrogate for. On the basis of the CCF results between weather and air pollutants, NO2 appears to be most reflective of local air pollution (as opposed to regional pollution), likely combustion sources including traffic-related air pollution. More source-specific information may be useful in clarifying the responsible pollutants or pollution sources. We are currently investigating this issue using PM2.5 chemical speciation data.
In summary, our analysis described some of the complexities of the relationships among air pollution and weather variables, and cautions against including each of the PM and gaseous pollutants in the health effects model simultaneously, as if each is an “independent” variable. These results are a cautionary exercise, and throw into question the now commonplace practice of using multi-pollutant models in health effects analyses. The proper interpretation of risk estimates across the various pollutants in a city will need to much more carefully take into consideration the different extent of exposure error across the pollutants and the varying concurvity of the pollutants in a given model specification. Indeed, modeling of each of the various pollutants may require different long-wave and meteorological base model specifications, to minimize concurvity to achieve as unbiased a pollutant effect estimate for each pollutant as possible.
References
Bates D.V., and Sizto R. Relationship between air pollution and hospital admissions in Southern Ontario. Can J Public Health 1983: 74: 117–122.
Bates D.V., and Sizto R. Air pollution and hospital admissions in Southern Ontario: the acid summer haze effect. Environ Res 1987: 43: 317–331.
Bell M.L., McDermott A., Zeger S.L., Samet J.M., and Dominici F. Ozone and short-term mortality in 95 US urban communities, 1987–2000. JAMA 2004: 292: 2372–2378.
Burnett R.T., Stieb D., Brook J.R., Cakmak S., Dales R., Raizenne M., Vincent R., and Dann T. Associations between short-term changes in nitrogen dioxide and mortality in Canadian cities. Arch Environ Health 2004: 59: 228–236.
Dockery D.W., Schwartz J., and Spengler J.D. Air pollution and daily mortality: associations with particulates and acid aerosols. Environ Res 1992: 59: 362–373.
Dominici F., McDermott A., and Daniels, et al. Mortality among residents of 90 cities. In: Revised Analyses of Time-Series Studies of Air Pollution and Health. Special report. Health Effects Institute, Boston, MA, USA, 2003, pp. 9–24.
Dominici F., McDermott A., Zeger S.L., and Samet J.M. On the use of generalized additive models in time series of air pollution and health. Am J Epidemiol 2002: 156: 193–203.
Dominici F., Peng R.D., Bell M.L., Pham L., McDermott A., Zeger S.L., and Samet J.M. Fine particulate air pollution and hospital admission for cardiovascular and respiratory diseases. JAMA 2006: 295: 1127–1134.
Fairley D. The relationship of daily mortality to suspended particulates in Santa Clara County, 1980–1986. Environ Health Perspect 1990: 89: 159–168.
Ito K., DeLeon S.F., Nadas A., Thurston G.D., and Lippmann M. Monitor-to-monitor temporal correlation of air pollution in the contiguous U.S. J Expos Anal Environ Epidemiol 2005: 15: 172–184.
Ito K., Thurston G.D., Nadas A., and Lippmann M. Monitor-to-monitor temporal correlation of air pollution and weather variables in the North-Central U.S. J Expo Anal Environ Epidemiol 2001: 11: 21–32.
Janssen N.A., Hoek G., Brunekreef B., Harssema H., and Brunkreef B. Personal exposures to fine particles in children correlates closely with ambient fine particles. Arch Environ Health 1999: 54: 95–101.
Janssen N.A., Hoek G., Brunekreef B., Harssema H., Mensink I., and Zuidhof A. Personal sampling of particles in adults: relation among personal, indoor, and outdoor air concentrations. Am J Epidemiol 1998: 147: 537–547.
Katsouyanni K., Touloumi G., Samoli E., Gryparis A., Le Tertre A., Monopolis Y., Rossi G., Zmirou D., Ballester F., Boumghar A., Anderson H.R., Wojtyniak B., Paldy A., Braunstein R., Pekkanen J., Schindler C., and Schwartz J. Confounding and effect modification in the short-term effects of ambient particles on total mortality: results from 29 European cities within the APHEA2 project. Epidemiology 2001: 12: 521–531.
Klemm R.J., and Mason R.M. Replication of reanalysis of Harvard Six-City mortality study. In: Revised Analyses of Time-Series Studies of Air Pollution and Health. Special report. Health Effects Institute, Boston, MA, USA, 2003, pp. 165–172.
Klemm R.J., Mason R.M., and Heilig C.M., et al. Is daily mortality associated specifically with fine particles? Data reconstruction and replication of analyses. J Air Waste Manage Assoc 2000: 50: 1215–1222.
Lioy P.J., Waldman J.M., Buckley T., Butler J., and Pietarinen C. The personal, indoor, and outdoor concentration of PM10 measured in an industrial community during the winter. Atmos Environ Part B 1990: 24: 57–66.
Martin A.E., and Bradley W.H. Mortality, fog, and atmospheric pollution: an investigation during the winter of 1958–59. Month Bull Min Hlth 1960: 19: 56.
Mazumdar S., Schimmel H., and Higgins I. Relation of daily mortality to air pollution: an analysis of 14 London winters, 1958/59–1971/72. Arch Environ Health 1982: 37: 213–220.
Pinto J.P., Lefohn A.S., and Shadwick D.S. Spatial variability of PM2.5 in urban areas in the United States. J Air Waste Manag Assoc 2004: 54: 440–449.
Pope III C.A. Respiratory disease associated with community air pollution and a steel mill, Utah Valley. Am J Public Health 1989: 79: 623–628.
Pope III C.A., Schwartz J., and Ransom M.R. Daily mortality and PM 10 pollution in Utah Valley. Arch Environ Health 1992: 47: 211–217.
Ramsay T.O., Burnett R.T., and Krewski D. The effect of concurvity in generalized additive models linking mortality to ambient particulate matter. Epidemiology 2003: 14: 18–23.
Samet J.M., Zeger S., and Dominici F., et al The National Morbidity, Mortality, and Air Pollution Study (NMAPS). Part I. Methods and methodological issues, Cambridge, MA: Health Effects Institute, 2000 (Report no. 94).
Sarnat J.A., Brown K.W., Schwartz J., Coull B.A., and Koutrakis P. Ambient gas concentrations and personal particulate matter exposures: implications for studying the health effects of particles. Epidemiology 2005: 16: 385–395.
Sarnat J.A., Schwartz J., Catalano P.J., and Suh H.H. Gaseous pollutants in particulate matter epidemiology: confounders or surrogates? Environ Health Perspect 2001: 109: 1053–1061.
Schimmel H. Evidence for possible acute health effects of ambient air pollution from time series analysis: methodological questions and some new results based on New York City daily mortality, 1963–1976. Bull N Y Acad Med 1978: 54: 1052–1108.
Schimmel H., and Greenburg L. A study of the relation to pollution to mortality in New York City, 1963–1968. J Air Pollut Control Assoc 1972: 22: 607–616.
Schimmel H., and Murawski T.J. The relation of air pollution to mortality. J Occup Med 1976: 18: 316–333.
Schwartz J. Daily deaths associated with air pollution in six US cities and short-term mortality displacement in Boston. In: Revised Analyses of Time-Series Studies of Air Pollution and Health. Special report. Health Effects Institute, Boston, MA, USA, 2003, pp. 219–226.
Schwartz J., and Dockery D.W. Particulate air pollution and daily mortality in Steubenville, Ohio. Am J Epidemiol 1992a: 135: 12–19.
Schwartz J., and Dockery D.W. Increased mortality in Philadelphia associated with daily air pollution concentrations. Am Rev Respir Dis 1992b: 145: 600–604.
Schwartz J., Dockery D.W., and Neas L.M. Is daily mortality associated specifically with fine particles? J Air Waste Manage Assoc 1996: 46: 927–939.
Schwartz J., and Marcus A.H. Statistical analysis of data relating mortality to air pollution during London winters 1958–1972, 1986. Appendix to Second Addendum to Air Quality Criteria for Particulate Matter and Sulfur Oxides, 1982: Assessment of Newly Available Health Effects Information, U.S. EPA, Research Triangle Park, NC. EPA/600/8-86/020F.
Scott J.A. The London fog of December 1957. Med Off 1958: 99: 367.
Seaton A., and Dennekamp M. Hypothesis: Ill health associated with low concentrations of. Thorax 2003: 58: 1012–1015.
Shumway R.H., Tai R.Y., Tai L.P., and Pawitan Y., Statistical analysis of daily London mortality and associated weather and pollution effects, a report submitted to California Air Resources Board, Sacramento, CA, USA, 1983.
Silverman R.A., Ito K., Stevenson L., and Hastings H.M. The relationship of the fall school opening and emergency department asthma visits in a large metropolitan area. Arch Pediatr Adolesc Med 2005: 159: 818–823.
Stieb D.M., Judek S., and Burnett R.T. Meta-analysis of time-series studies of air pollution and mortality: effects of gases and particles and the influence of cause of death, age, and season. J Air Waste Manage Assoc 2002: 52: 470–484.
Stieb D.M., Judek S., and Burnett R.T. Meta-analysis of time-series studies of air pollution and mortality: update in relation to the use of generalized additive models. J Air Waste Manage Assoc 2003: 53: 258–261.
Thurston G.D., Ito K., Lippmann M., and Bates D.V. Respiratory hospital admissions and summertime haze air pollution in Toronto, Ontario: consideration of the role of acid aerosols. Environ Res 1994: 65: 271–290.
Thurston G.D., Ito K., Lippmann M., and Hayes C. Re-examination of London, England, mortality in relation to exposure to acidic aerosols during 1963–1972 winters. Environ Health Perspect 1989: 79: 73–82.
Thurston G.D., Lippmann M., Scott M.B., and Fine J.M. Summertime haze air pollution and children with asthma. Am J Respir Crit Care Med 1997: 155: 654–660.
Touloumi G., Katsouyanni K., Zmirou D., Schwartz J., Spix C., de Leon A.P., Tobias A., Quennel P., Rabczenko D., Bacharova L., Bisanti L., Vonk J.M., and Ponka A. Short-term effects of ambient oxidant exposure on mortality: a combined analysis within the APHEA project. Air Pollution and Health: a European Approach. Am J Epidemiol 1997: 146: 177–185.
Utell M.J., and Samet J.M. Particulate air pollution and health: new evidence on an old problem. Am Rev Respir Dis 1993: 147: 1334–1335.
Ware J.H., Thibodeau L.A., Speizer F.E., Colome S., and Ferris Jr B.G. Assessment of the health effects of atmospheric sulfur oxide and particulate matter: evidence from observational studies. Env Health Persp 1981: 41: 255–276.
Acknowledgements
Although the research described in this article has been funded in part by the United States Environmental Protection Agency through Grant R827997, it has not been subjected to the Agency's required peer and policy review and therefore does not necessarily reflect the views of the Agency and no official endorsement should be inferred. The research was also supported by the National Institute of Environmental Health Sciences Center Grant (ES00260). All data were derived from the New York City Health and Hospital Corporation (HHC) databases. We acknowledge the HHC for allowing its use.
Author information
Affiliations
Corresponding author
Rights and permissions
About this article
Cite this article
Ito, K., Thurston, G. & Silverman, R. Characterization of PM2.5, gaseous pollutants, and meteorological interactions in the context of time-series health effects models. J Expo Sci Environ Epidemiol 17, S45–S60 (2007). https://doi.org/10.1038/sj.jes.7500627
Received:
Accepted:
Published:
Issue Date:
DOI: https://doi.org/10.1038/sj.jes.7500627
Keywords
- particulate matter
- nitrogen dioxide
- weather
- health effects
Further reading
-
Ambient gaseous pollutants and emergency ambulance calls for all-cause and cause-specific diseases in China: a multicity time-series study
Environmental Science and Pollution Research (2022)
-
Comparing health benefit calculations for alternative energy futures
Air Quality, Atmosphere & Health (2020)
-
The effect of short-term exposure to O3, NO2, and their combined oxidative potential on mortality in Rome
Air Quality, Atmosphere & Health (2019)
-
Short-term exposure to ambient air pollution and daily atherosclerotic heart disease mortality in a cool climate
Environmental Science and Pollution Research (2019)
-
Uncertainty associated with ambient ozone metrics in epidemiologic studies and risk assessments
Air Quality, Atmosphere & Health (2019)







