Abstract
This paper examines the link between the ambient level of particulate pollution and subsequent human health effects and various sources of uncertainty when total exposure is taken into consideration. The exposure simulation model statistically simulates daily personal total exposure to ambient PM and nonambient PM generated from indoor sources. It incorporates outdoor–indoor penetration of PM, contributions of PM from indoor sources, and time–activity patterns for target groups of the population. The model is illustrated for Los Angeles County using recent 1997 monitoring data for both PM10 and PM2.5. The results indicate that, on average, outdoor-source PM contributes about 20–25% of the total PM exposure to Los Angeles County individuals not exposed to environmental tobacco smoking (ETS), and about 15% for those who are exposed to ETS. The model computes both the fractional contribution of outdoor concentrations to total exposure and the effect of exposure uncertainties on the estimated slope of the (linear) concentration–response curve in time-series studies for PM health effects. The latter considers the effects of measurement and misclassification error on PM epidemiological time-series studies. The paper compares the predictions of a conventional PM epidemiological model, based solely on ambient concentration measurements at a central monitoring station, and an exposure simulation model, which considers the quantitative relationship between central-monitoring PM concentrations and total individual exposures to particulate matter. The results show that the effects of adjusting from outdoor concentrations to personal exposures and correcting dose–response bias are nearly equal, so that roughly the same premature mortalities associated with short-term exposure to both ambient PM2.5 and PM10 in Los Angeles County are predicted with both models. The uncertainty in the slope of the concentration–response curve in the time-series studies is the single most important source of uncertainty in both the ambient- and the exposure-health model.
Introduction
Ambient particulate matter originates both from natural processes and anthropogenic emissions such as fossil fuel combustion, industrial manufacturing, and construction. Over the past three decades, epidemiologists have identified various physical and chemical mass-based measures of airborne particulate matter, for example, total suspended particles (TSP), PM10 (particulate matter less than 10 μm in aerodynamic diameter), PM2.5 (particulate matter less than 2.5 μm in aerodynamic diameter), and sulfate as important aerosol measures or components to be statistically significantly associated with observed acute or chronic health effects data. These include premature mortality, increased hospital admissions and emergency room visits (primarily among the elderly and individuals with cardiopulmonary disease), increased respiratory symptoms and disease (in children and individuals with cardiopulmonary disease such as asthma), decreased lung function (particularly in children and individuals with asthma) and alterations in lung tissue, structure and respiratory tract defense mechanisms (Logan, 1953; Lave and Seskin, 1973; Dockery et al., 1989; Schwartz and Dockery, 1992; Ito and Thurston, 1996; U.S. Environmental Protection Agency [U.S. EPA], 1996a,b; Lipsett et al., 1997). The evidence provided by these and other epidemiological studies became the basis for the policy assessment of the EPA Office of Air Quality Planning and Standards (OAQPS) while reviewing the National Ambient Air Quality Standard (NAAQS) for particulate matter (U.S. EPA, 1996b). Published in 1996, the OAQPS Staff Paper performed a systematic risk analysis to assess the expected reduction of possible adverse health effects under alternative ambient PM standards in Southeast Los Angeles County and Philadelphia. The Staff Paper also used sensitivity analysis to show the effect of several uncertain assumptions on the mortality risk associated with short-term exposure to PM. While this effort and the resulting PM NAAQS have been challenged (May 14, 1999 U.S. Appeals Court DecisionFootnote 1), no other framework or methodology has yet to emerge as broadly accepted for estimating PM-associated health effects.
A key concern with the approach provided by PM epidemiological studies involves its sole reliance on ambient monitoring station measurements of PM, and relationships derived from these data. Since PM health effects should derive from total personal exposure to PM, including PM inhaled while indoors and outdoors, the plausibility of the empirical relationship between ambient PM and acute mortality (and morbidity) is called into question (Mage et al., 1999). This viewpoint is supported by recent personal exposure studies that suggest that ambient particles of outdoor origin contribute only a faction of the total personal daily exposure to PM, that personal particulate matter concentrations are substantially higher on average than outdoor concentrations, and that personal exposures exhibit a greater range of variability than ambient concentrations. Furthermore, simple regression analyses indicate that measured personal exposure is only modestly correlated with indoor concentration and even less correlated with outdoor concentration (Sexton et al., 1984; Spengler et al., 1985; Lioy et al., 1990; Clayton and Pellizzari, 1991; Clayton et al., 1993; Özkaynak et al., 1996a,b; Wallace, 1996).
As a result, many have expressed concern that error is introduced in the statistical analysis of health and pollution data when using ambient PM measurement as a surrogate for personal exposure, and that this measurement error limits the validity and biases the prediction of the magnitude of the health effects associated with PM (Özkaynak et al., 1986; Lebret, 1990; Thomas et al., 1993; Lipfert and Wyzga, 1995a,b; Navidi and Lurmann, 1995; Wacholder, 1995; Gamble and Lewis, 1996; National Research Council, 1998; Zeger et al., 1999; Wilson et al., 2000). This concern applies both to estimates for the overall population and to estimates for particular subgroups.
Individual characteristics affect both the exposure to, and the risk from inhaled, PM. Sensitive subgroups such as the elderly, chronic obstructive pulmonary disease (COPD) patients or children likely have a greater risk from a given PM exposure (e.g., a higher concentration–response slope and/or a lower threshold). However, some of those subgroups also tend to have restricted or modified activities relative to the general population and subsequently a different pattern of exposure. The report by the National Research Council on “Research Priorities for Airborne Particulate Matter” (National Research Council, 1998) states that “the investigation of relationships between actual personal exposures and outdoor air–particle concentrations is crucial for validating and interpreting the results of epidemiological studies.” This report further notes “Understanding the relationship between particulate–matter mass concentrations measured at fixed outdoor sites and actual human exposure to particulate matter will help guide and improve decisions about ambient pollution control strategies.”
The goal of this paper is to reexamine the existing relationship used by the EPA and to propose a new methodology that takes exposure into consideration in an integrated manner, and to quantitatively characterize various sources of uncertainties within such a framework. There are a number of other significant uncertainties involved in estimating health effects from PM that are not addressed in this study. These include the implications of PM chemical composition (Lipfert and Wyzga, 1999; Mage, 2002) and copollutant effects (Lipfert and Wyzga, 1997; Carrothers and Evans, 2000), both of which can confound estimated dose–response relationships and result in site-specific variations in apparent PM sensitivity. In this study, only the effects of ambient PM are considered and all PM of a given size class (i.e., PM10 or PM2.5) is assumed to have equal potency, regardless of its origin (in particular, indoor-source and outdoor-source PM are assumed equal in their contribution to premature mortality, per unit exposure). Furthermore, the health endpoint utilized in this paper, premature mortality, does not distinguish between deaths advanced by only a small amount of time among those who would have otherwise died shortly after the exposure date, and deaths involving longer reductions in life span (Schimmel and Murawsky, 1978; Zeger et al., 1999). A number of health impact studies now attempt to differentiate between these by estimating the value of a statistical life year (Hammit, 2000). This paper is not intended to present a full characterization of all of the uncertainties affecting estimates of PM-associated mortality; considerable ongoing and future research will be needed to accomplish this. Rather, it is intended to demonstrate how current models can be better formulated and interpreted when one additional factor, the relationship between ambient concentrations and personal exposure, is included explicitly. The technique presented in this paper is based on the development of a time-weighted exposure model; while such an approach has only limited power for predicting individual exposure compared to direct measurement for each participant, it is useful for characterizing the general distribution of exposures in a population. The estimated population exposure distribution provides a basis for an estimation of the misclassification error in epidemiological studies and for subsequent application in predicting the impact of reductions in ambient concentrations on personal exposure and associated health outcomes (Spengler et al., 1985; Wilson et al., 2000).
The effects of including exposure are demonstrated by comparing the results of alternative modeling approaches, as summarized in Figure 1. The PM ambient monitoring epidemiology (AME) model uses ambient PM concentrations from a central monitoring station and epidemiological ambient concentration–response relationships to estimate the premature mortality associated with ambient PM. The dose–response relationships are based on daily mortality, time-series regression studies. The individual exposure simulation (IES) model simulates daily individual PM exposures from outdoor and indoor sources, uses the simulation results to estimate both the bias from measurement and misclassification error and the fractional contribution of outdoor PM to personal exposure, and estimates the premature mortality associated with ambient PM accordingly. We compare the predictions of the expected annual number of premature mortality cases in Los Angeles County associated with ambient PM by the AME model and the IES model, indicate the portion of the total exposure to PM in the IES model that is from outdoor versus indoor sources, and discuss the ranges and sources of uncertainties in the overall analysis. The PM AME/IES models can be evaluated for the general population and/or subgroups of the population to estimate health effects associated with PM. In this paper, only estimates of premature mortality for the general population are presented.
The AME model
Model Description
The PM AME model regression analysis that statistically links air pollution and health effects has the general form of:
In this model, the expected value of the health endpoint (mortality count in this case) Y is modeled as an exponential function of the explanatory variables (the observed ambient particulate matter (PM) concentration, Cout, and other covariates). The relative risk (RR) associated with a change in the air pollution concentration is RR=exp[βPM×ΔCout], where the slope, βPM, is the log-relative risk of death associated with a unit change in measured ambient concentration. The risk model for PM is given by (U.S. EPA, 1996a,b):
where the predicted excess mortality (Δy) is a function of the baseline health incidence rate (y), the change in the ambient PM air concentration (ΔCout) and the slope of the PM concentration–response curve (βPM). Implicit in Eqs. 1 and 2 is the assumption that the ambient concentration serves as an unbiased surrogate for total personal exposure. It is believed that this assumption is true when indoor-generated PM concentrations are statistically independent of outdoor-generated PM concentrations; then variations in PM health endpoints associated with the ambient component of personal exposures can be separately estimated (Wilson et al., 2000).
Uncertainty Analysis for the AME Model
The uncertainty analysis considers both structural uncertainty and parameter uncertainty in the PM AME model. Uncertainties in three aspects of the model are considered: the dose–response slope, different threshold levels, and the influence of natural background concentrations. The values of the regression coefficients presented in epidemiological studies include confidence intervals to reflect statistical uncertainty associated with limited sample sizes. However, confounding factors, which affect the health endpoints, but are not considered in the model can also contribute uncertainty in a manner not captured by classical confidence intervals. Extrapolating the estimated RRs in epidemiological studies and applying them to other locations is thus difficult and uncertain. The structural form of the concentration–response function is also uncertain. There is a possibility that the range over which the estimated RR exceeds 1.0 extends down to zero concentration (no threshold), or the RR may only exceed 1.0 above some cutpoint (threshold). Finally, our models attempt to calculate the excess mortality at ambient PM levels that is due to PM resulting from anthropogenic emissions. As such, it is also important to characterize the background PM level that would occur in the absence of anthropogenic emissions. The overall assumptions of the uncertainty analysis of the AME model are summarized in Table 1, based primarily on the EPA Staff Paper (U.S. EPA, 1996b).
Regression Coefficient
The uncertainties in the estimates of slope factors in epidemiological studies are mainly caused by measurement errors and multicollinearity problems. Time-series epidemiological studies use measures of the daily variation of ambient PM concentration and daily mortality/morbidity data to obtain the regression coefficients of the concentration–response relationships along with a measure of their uncertainty (e.g., 95% confidence intervals). Inclusion of other pollutants in the regression model (e.g., sulfate, ozone and nitrate) causes collinearity problems, and the measurement errors of the pollutants also introduce uncertainties to the estimate exposure–risk relationship (Lipfert and Wyzga, 1995a). Other plausible confounders such as weather may lead to further uncertainties in the regression model (Lipfert and Wyzga, 1995b; U.S. EPA, 1996a,b). In addition to these site-specific uncertainties in the fitted model for a particular location, there are uncertainties in the application of the estimated risk from a given study location(s) to other sites of interest (Dominici et al., 2000a,b). The uncertainty estimate for the regression coefficients in the EPA Staff Paper are based on the studies listed in Table 1, and summarized in U.S. EPA (1996b). The uncertainty distributions for the values of the regression coefficients are summarized in Table 1.
Threshold Level
The threshold level is defined as the concentration below which no potential harmful effects are expected to occur. There is limited information to determine the adequacy and accuracy of threshold assumptions. Most ecological time-series studies provide little evidence for the existence of a threshold (Pope et al., 1992; Schwartz, 1994; Schwartz and Zanobetti, 2000; Schwartz et al., 2001). However, such concentration–response relationships should be cautiously interpreted since individual threshold levels may be obscured in the population analysis and misclassification errors and confounding variables can mask the existence of an overall threshold, especially when ambient concentration is used as a surrogate for population exposure in the regression analysis (U.S. EPA, 1996a,b; Cakmak et al., 1999). While several animal studies have used particles to expose normal or impaired animals by inhalation and found pathological mechanisms to explain some of the observed health effects in experimental animals (Chen et al., 1992; Saldiva et al., 1992; Godleski et al., 1996), those experiments have been conducted at high dose relative to the animal, and there is no evidence in the animal studies to support or reject a particular threshold theory.
Background Concentration
The background level is the concentration that would be present in the absence of anthropogenic emissions. It is important in terms of our risk calculation of the expected premature mortality associated with an increased PM concentration above the “background” concentration from natural emissions. Background levels of PM vary by geographic locations and seasons. Emissions of sea salts, organic particles, natural combustion or organic aerosols from vegetation are the natural sources for fine and coarse particles. The aerosol background values can be derived from field measurements at “clean” monitoring stations or mathematical modeling. In the EPA Criteria Document (U.S. EPA, 1996a), two studies were used to estimate the upper and lower bound of the background level of PM in North America. Trijonis et al. (1990) attempted to estimate PM2.5 and PM10 “natural” background concentrations from biogenic and geogenic sources which are at or below those possibly associated with preindustrial conditions over North America. The results obtained by Malm et al. (1994) from the IMPROVE study involved monitoring measurements from rural/remote sites in national parks, wilderness areas and national monuments from March 1988 to February 1991. Since this monitoring study did not exclude anthropogenic sources, it is therefore treated as the upper bound of the estimated background concentration. In general, the estimated background concentrations are higher in the eastern than those in the western United States, and are higher in the summer than in the winter season (U.S. EPA, 1996a).
Ambient Concentrations
The air quality data for Los Angeles County used in this study are summarized in Table 2. The PM10 and PM2.5 monitoring information are provided by the California Air Resources Board, where data from seven monitoring stations are available for PM10 and two stations for PM2.5 in 1997 (California Air Resources Board, 1999). Comparing the median concentrations in Table 2 to the background and threshold cutpoint assumptions in Table 1, it is seen that the median concentrations (∼15 and 36 μg/m3 for PM2.5 and PM10, respectively) are well above background, but between the first and second threshold values considered for PM2.5 (10 and 18 μg/m3) and between the second and third threshold values considered for PM10 (30 and 40 μg/m3). As such a significant portion of the days are indicated to have PM concentrations below threshold for some of the threshold-cutpoint assumptions considered.
To characterize interindividual variability in ambient PM exposure concentration for a randomly chosen individual within Los Angeles County, the time-series data of the logarithm of PM for the monitoring stations were averaged as shown in Figure 2, and the residual computed for all data points. Let Xi,t be the ambient PM concentration measured at air monitoring station i on day t, where t=1 to 365. PM concentrations are assumed to be lognormally distributed, both from station to station within a day (reflecting spatial variation on a given day), and from day to day (for a given station as well as for the county-wide geometric mean). Since X is LN(μln(X), σln(X)2), it follows that Y=ln(X) is N(μY, σY2). On a given day t, is the mean value of ln(Xi,t), computed as , where nt=number of stations with a valid measurement on day t. The standard deviation of the residual from the daily is computed across all days as where N is the total number of measurement (=∑tnt). This standard deviation reflects the location to location variability of ln(PM) on a given day within Los Angeles County. The resulting values, for PM2.5 and for PM10, correspond to coefficients of variation (i.e., standard deviations divided by the means, for the spatial variation of PM concentration on a single day) of 0.29 for PM2.5 and 0.28 for PM10. The observed PM data are plotted, along with the computed daily geometric means and 95% intervals for PM2.5 and PM10 in Figure 2a and b, respectively.
Variability distributions for ambient PM concentrations across Los Angeles County on each day throughout the year. These are used to simulate the ambient exposure PM concentrations for an individual located randomly in the County. The air quality data for Los Angeles County, 1997 are summarized in Table 2. The median values (center lines) and 95% probability intervals (surrounding lines) are shown for the lognormal model fitted to daily observations at the multiple stations.
IES model
Population-based daily average exposure models for PM10 and PM2.5 are developed based on the microenvironment approach (Duan, 1982; Sexton et al., 1984; Spengler et al., 1985; Özkaynak et al., 1996a) and the indoor source model developed and modified by Koutrakis et al. (1992) and the Particle Total Exposure Assessment Methodology (PTEAM) study (Özkaynak et al., 1996b). The PTEAM study conducted the first probability-based survey of personal exposure to PM and the elements of the composition of PM in Riverside, CA. The microenvironment approach estimates an individual's total exposure in a specific time period by summing the products of pollutant concentrations in particular locations and the time spent in those locations, or microenvironments; assuming that the pollutant is homogeneously distributed in each microenvironment and in steady-state conditions (Duan, 1982). A mass balance model (Koutrakis et al., 1992) that incorporates penetration factors, decay rates, and source strengths for both PM10 and PM2.5 size fractions is used to calculate particle concentrations in indoor environments. A probabilistic two-dimensional simulation approach (Frey, 1992) is used to propagate population variability and parameter uncertainty through the exposure model.
The IES model simulates a distribution of daily-averaged personal exposure that represents the distribution of population exposure in a city for a period of time. The sources of personal exposure include outdoor ambient particles, indoor cooking, environmental tobacco smoking (ETS), other indoor sources and unexplained particles that may be generated while engaging in various indoor activities. We assume that concentrations of PM of ambient origin and indoor-source PM emission rates are uncorrelated in time (Mage et al., 1999).
The AME model in Section 2 is replaced by using the simulated “true” population exposures and “true” exposure–response regression slopes corrected according to Cochran (1968) and Wacholder (1995), as described in the next section. As noted previously, the IES model assumes that all PM of a given size has equal potency on a per mass basis, regardless of its origin. The health risks and uncertainty distributions are estimated; then compared with the results from the AME model (Section 2) that is based solely on ambient concentrations and the unadjusted relationship of the time-series studies.
Model Description
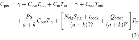
The exposure components of the IES model include simulated ambient (outdoor) concentrations, an indoor penetration, source and concentration model; and a microenvironment model to calculate the daily total personal exposure to PM. The overall exposure model is explained in detail in Appendix A. With this model, the equation for the average total daily personal exposure can be expressed as:
where
- γ :
-
=derived personal cloud concentration, calculated as the difference between the personal exposure measured by a monitor carried by a person and the time-weighted average indoor and outdoor concentrations (μg/m3)
- C in :
-
=indoor concentration (μg/m3)
- C out :
-
=ambient PM concentration (μg/m3)
- T out :
-
=fraction of time spent outdoors during the 24-h monitoring period
- T in :
-
=fraction of time spent indoors during the 24-h monitoring period, Tin=1−Tout
- P :
-
=penetration coefficient
- a :
-
=air exchange rate (h−1)
- V :
-
=volume of room or house (m3)
- k :
-
=decay rate due to diffusion or sedimentation (h−1)
- t :
-
=duration of the monitoring period (h)
- N cig :
-
=number of cigarettes smoked during the 12-h monitoring period
- S cig :
-
=mass of particles generated per cigarette smoked (μg/cigarette)
- t cook :
-
=time spent cooking (h) during the 12-h monitoring period
- S cook :
-
=mass of particles generated per hour of cooking (μg/h)
- Q other :
-
=mass flux of particles from all other indoor sources (μg/h)
The intercept, γ, is commonly referred to as the “personal cloud” effect. Positive values of γ are determined when, as is commonly observed, total personal exposures exceed values attributable to all measured sources of indoor and outdoor particles. Methods for estimating the value of γ from existing studies are presented in Appendix A. Eq. (3) is the general formula for personal exposure in ETS exposure homes. We assume Ncig ≡ 0 for non-ETS exposure homes. The population average personal exposure is the weighted average of personal exposure concentrations in ETS and non-ETS exposure homes, weighted by the fraction of homes where there is ETS exposure (Center for Disease Control, 1991; Overpeck and Moss, 1991).
The total exposure model can be simplified by noting that the total PM personal exposure concentration, Cper, for an individual is related to their outdoor particle concentration, Cout, by the equation:
where the slope alpha is the personal exposure factor that measures the change in personal exposure per unit change in measured ambient concentration and R is the factor that captures the residuals contributed from indoor sources and the personal cloud. From Eq. (3), alpha is the factor that describes the contributions of particles of outdoor origin to actual human exposures and it is a function of the time spent indoors and outdoors, the building air exchange rate, the particle penetration coefficient, and the decay rate:
Outdoor concentrations have a greater influence on total personal exposure when the values of Tout, P and a are higher, and less influence when the values of Tin and k are higher.
To implement the IES model, we use Eqs. (3) Eqs. (4) Eqs. (5) to simulate daily individual personal exposure for a sample size of I random people (i=1, I) for each day of the year. (This simulation is implemented for I=1000 random people for 91 days in each season using the median Latin Hypercube method in the Analytica™ [Lumina Decision Systems, Los Gatos, CA] software package.) Each day, a natural log mean ambient PM concentration for Los Angeles County, , is simulated by sampling from the lognormal distribution with μln(X)=2.70 and σln(X)=0.53 for PM2.5 and μln(X)=3.57 and σln(X)=0.43 for PM10 (see Table 2). Then for each person sampled on that day, a value of Cout,t is sampled from the lognormal distribution using the value of simulated above, and with equal to 0.28 for PM2.5 and 0.27 for PM10 (see Section 2.2.4). The time activity, indoor source, air exchange rate and outdoor–indoor penetration factors for individual i are simulated independently. This leads to an estimate of total personal exposure for each of the i people sampled for each day of the year. Sources of information and estimated distributions for the IES model input variables are described in the next section and Table 3.
Input Variables
The probabilistic microenvironment exposure model simulates various microenvironment concentrations and time activity patterns in terms of probabilistic distributions of occurrence frequency, independent of their actual time of occurrence. The exposure scenarios are largely adopted from the PTEAM study (Özkaynak et al., 1996b). The input variables in the exposure model are collected from various studies (Table 3). Variables are indexed by season, and/or daytime versus nighttime and size of PM (PM2.5 and PM10). As indicated in Table 3, the variabilities of the model inputs across the population are described by normal or lognormal distributions from various studies. All primary input variables to the IES model represent only one dimension with either uncertainty or variability (Table 3). Note that the fraction of the population with ETS exposure is the only variable that represents uncertainty in the exposure model (portraying our lack of knowledge of the “true” value in the target population), while other variable distributions, such as for air exchange rates, characterize the heterogeneity over time or across individuals in the target population. From Eq. (5), we can see that the calculated alpha represents a one-dimensional variability distribution for the target population. Later in Section 4.3, to examine the importance and sensitivity of model predictions of premature mortality to uncertainty associated with the variability distributions utilized, we assume a 20% uncertainty in the mean values of alpha in the exposure model. The sensitivity analysis results are discussed later in Section 4.3.
Measurement Error and Misclassification Bias in the IES Model
Since total PM exposures are now to be used as the explanatory variable in the dose–response relationship, a correction must first be made to account for the fact that the slope in this relationship (Eq. (2)) has been estimated using data for the surrogate variable, ambient concentration. In a classical error model for exposure measurement, it is assumed that the observed variable Z (e.g., ambient PM concentrations) is related to the true value of exposure X, with:
where E is the measurement error, assumed to have zero mean and to be independent of the true value (X). However, in our simulation model, we predict a strong correlation between the true value X and the measurement error E. Therefore, the classical error model is no longer valid. If Y is the dependent variable we are interested in, such as health effects that may be correlated with ambient air pollution; then:
and the relationship between βz and the true regression coefficient βx (from the model Y=a+βxX+error) is given by:
Cochran (1968) and Wacholder (1995) define the effect of nondifferential misclassification, when there is a correlation between the true values and measurement errors, as BIAS:
where σ2 ≡ variance (X), ω2 ≡ variance (E), and φ ≡ cova- riance (X, E). The correlation coefficient between X and E is given by ρ=φ/(σω).
From Eqs. (4) and 6), X is the true PM exposure and alpha×Cout is the true value of PM total personal exposure that is contributed from outdoor particles.Footnote 2 Since we intend to estimate the increased risk of health effects due to exposure to outdoor ambient PM, it is alpha×Cout that is relevant to regulatory policy. The exposure–response relationship in the IES model thus becomes:
The results of Eq. (10) are computed by the IES model, and then compared to those of the AME model computed using Eq. (2).
Implementation
The steps in the comparative assessment of the AME and IES models are summarized as follows:
1. Simulate ambient PM concentrations for randomly chosen individuals within Los Angeles County. A median concentration for Los Angeles County is simulated by sampling from the lognormal distribution summarized in Table 2. Then for each person sampled on that day, a value of Cout,t is sampled from the lognormal distribution with a μln(X) determined from the median concentration simulated for that day, and σln(X) equal to 0.28 for PM2.5 and 0.27 for PM10 (see Figure 2a and b and Section 2.2.4).
2. Estimate the uncertainty distributions of the epidemiological regression coefficient (β), and threshold level associated with daily exposure to PM2.5 and PM10. The integrated uncertainty distributions of the dose–response curve apply equally to each individual in the variability distribution that is simulated in Step 1.
3. Calculate the predicted annual number of premature mortalities associated with exposure to ambient PM by Eq. (2) and the uncertainty of this prediction.
Steps 1–3 determine the results for the AME model.
4. Construct the PM exposure model from Eq. (3). The assumed distributions and sources of information for the variables are described in Table 3.
5. Calculate alpha and the BIAS factor from Eqs. (5 and 9) in the IES model. Note that alpha and BIAS are simulated independently in order to represent their difference. To correct for the misclassification errors in epidemiological studies, BIAS should be calculated from the representative average variability and uncertainty distributions in cities where epidemiological studies were conducted. On the other hand, alpha is calculated separately from the simulation that characterizes the variability distributions for the population in an application city where we wish to estimate the impact of possible air pollution control strategies. In the example that follows, Los Angeles is used as both the epidemiology study site (for BIAS) and the application site (for alpha).
6. Calculate the new predicted values of the annual number of premature mortalities associated with total exposure to ambient PM by Eq. (10).
Steps 4–6 determine the results for the IES model.
7. Compare the results from the AME model and the IES model.
Results
The average exposure simulation results of the IES model are summarized in Figure 3. For non-ETS exposed individuals, outdoor-source PM comprises about 24% of the total personal exposure for PM2.5, and 21% of the total exposure for PM10. For ETS exposed individuals, outdoor-source PM comprises about 15% of the daily total personal PM exposure for both PM2.5 and PM10.
Alpha, BIAS and Net Correction Factor
Based on Eqs. (2) and (10), the IES model and the AME model are different from each other in two terms: alpha and the BIAS factor. The mean values of alpha, BIAS, and the net bias-correction factor (alpha/BIAS) are summarized in Table 4, indexed by PM10, PM2.5, and season. The infiltration factor is the equilibrium fraction of ambient PM that is found indoors; while alpha is the fraction of ambient PM found in personal exposure. The distributions of the infiltration factor, pa/(a+k), and alpha are plotted in Figure 4.
As shown in Table 4 and Figure 4, the values of the infiltration factor and alpha for PM2.5 are greater than those for PM10 across all seasons; that is, the percent contributions of particles of outdoor origin to total human exposure is greater for PM2.5 than for PM10. In general, mean values of pa/(a+k) and alpha are highest in the summer due to higher air exchange rates and greater time spent outdoors in the summer. The average values of alpha throughout the year are equal to 0.65 for PM2.5 and 0.54 for PM10. These findings are generally consistent with previous results from the literature (Özkaynak et al., 1996a,b; Rojas-Bracho et al., 2000; Wilson et al., 2000). Simple regressions of personal PM10 exposures on outdoor concentrations found the regression coefficients (alpha) to be 0.54 in the PTEAM study (Özkaynak et al., 1996b) and 0.56 in the study by Lioy et al. (1990).
Values of BIAS from our simulation are on average higher (i.e., closer to 1.0, indicating less bias) for PM2.5 than for PM10, and higher in the summer (Table 4). The average values of BIAS across all seasons are 0.69 for PM2.5 and 0.60 for PM10. In the PTEAM study, in which real personal PM10 monitoring measurements were used to calculate the bias factor using the same equation, the values are reported to be always smaller than 0.6, i.e., the misclassification errors bias the regression coefficients for the exposure variable toward the null (Özkaynak and Spengler, 1996). Özkaynak and Spengler concluded that based on the evidence of the PTEAM study in which the bias was calculated, exaggeration or reversal of PM effects is not expected and therefore the true PM health risk coefficient is more likely to be underestimated by the epidemiological studies (Özkaynak and Spengler, 1996). Cakmak et al. (1999) in their simulation that considers the influence of measurement error in distinguishing between linear no-threshold and linear threshold models, also infer an attenuated effect for the slope coefficient in the presence of measurement error.
As indicated by Eq. (10), alpha/BIAS is the net correction factor for predicting changes in relative risk from changes in ambient concentrations using the IES model, rather than the AME model. The seasonal mean values of alpha/BIAS range from 0.88 to 1.06 for PM2.5 and from 0.86 to 0.95 for PM10 (Table 4). The mean values of alpha/BIAS across all seasons are equal to 0.96 for PM2.5 and 0.90 for PM10. The IES model thus predicts a lower corrected exposure–response regression slope (and a lower sensitivity to changes in ambient PM) for both PM2.5 and PM10 compared to the AME model. As such, we predict that previous predictions of changes in premature mortality resulting from changes in ambient concentration have generally slightly overestimated this change for both PM2.5 and PM10.
Prediction of Premature Mortality and Associated Uncertainty Intervals
The results of the integrated uncertainty analysis described in Sections 2 and 3 are plotted in Figure 5. Figure 5 shows that the predicted median values of mortality risk associated with exposure to ambient PM are slightly higher for the AME model than for the IES model for both PM2.5 (1440 vs. 1380 annual premature deaths in Los Angeles County) and PM10 (1730 vs. 1550 annual premature deaths). The 90% credible intervals are roughly the same in both models. In the case where threshold uncertainty exists in the AME model, as analyzed in the EPA Staff Paper and summarized in Table 1, the predictions are 30% lower with wider credible intervals for both PM2.5 and PM10 (Figure 6).
Comparison of predicted premature mortality associated with daily exposure to ambient PM in the AME model when threshold uncertainty exists. Median and 90% credible intervals are simulated for the general population in Los Angeles County, 1997, including the median, 5th, and 95th percentile predictions (population: 9.1 million).
Sensitivity Analysis
Tornado diagrams (Clemen, 1996) are used to compare the sensitivity of the model to the variables in the integrated uncertainty analysis. Figure 7 shows the results of the sensitivity analysis for PM2.5 and PM10 in both the AME model and the IES model. The bars represent the 90% range for the estimated number of premature mortalities in the total population when only the specified variable is uncertain, keeping all other variables at their base-case values. The results show that the slope and threshold uncertainties are important in determining the expected number of premature mortalities at current air quality levels in Los Angeles County in the AME model (Figure 7a and b). The threshold uncertainty plays a more important role for PM2.5 than for PM10 in the AME model. To test for the importance of the uncertainty about the population variability distributions in the exposure model and the resulting estimates of alpha and BIAS, we assigned 20% uncertainties to the mean values of alpha and BIAS. The sensitivity analysis shows that the uncertainties for the values of alpha and BIAS in the exposure model contribute a moderate amount to the overall uncertainty in predicted annual premature mortality (Figure 7c and d). Decomposition of the uncertainty in alpha indicates that the air exchange rate contributes roughly half of this uncertainty while the rest of the uncertainty results from, in decreasing order, the uncertainty in the decay rate, time spent outdoors and penetration rates.
Sensitivity diagrams for total annual number of premature deaths associated with daily exposure to ambient PM in Los Angeles County, 1997. The bars represent the 90% range (5th–95th percentile) for the estimated premature mortality when only the specified variable is uncertain, keeping all other variables at their base values. (a, b) are the sensitivity analysis for the AME model; (c, d) are for the IES model. Slope, threshold, alpha and BIAS are the variables that vary in the sensitivity analysis.
Discussion
This paper presents a simulation method for estimating daily individual personal PM exposures and the risks of premature mortality associated with exposure levels contributed from ambient PM concentrations. This application considers the PM personal exposures from both indoor and outdoor sources and the measurement error bias caused by the sole use of ambient exposure data in the epidemiological studies. The predicted risks of premature mortality associated with ambient PM concentrations estimated from the IES model are roughly the same as those estimated from the AME model. The findings are very similar to a recent study conducted by Dominici et al. (2000) using a multistage Poisson regression model. That study evaluated the effects of exposure measurement error on estimates of the effects of particulate air pollution on mortality in time-series studies in Baltimore, Maryland for the period 1987–1994, using the exposure data from the PTEAM study and four other data sets on personal exposure to PM10. Since no direct personal exposure data are available in the target city (Baltimore), Bayesian hierarchical modeling and data augmentation were used to estimate the effective relative rate of mortality associated with average personal exposure, βx. They found that the exposure measurement error results in an estimated 56% underestimate in the regression coefficient for PM10 (i.e., the log relative rate of mortality from total personal exposure indicates a mean 1.4% increase in mortality per 10 units of change in PM10 as opposed to the log relative rate of mortality from ambient exposures that associates a 0.9% increase per 10 μg/m3). This translates into BIAS=0.64 in the unadjusted regression coefficient. Furthermore, their study found the posterior mean effect of personal exposure to ambient measurements on the risk of mortality (as represented as βx×alpha or βz/BIAS×alpha) is equal to 0.79, or equivalently a net correction factor of 0.89. Our simulation results find that BIAS=0.69 for PM2.5 and 0.60 for PM10 for the regression coefficients in the AME model and mean net correction factors equal to 0.96 for PM2.5 and 0.90 for PM10.
The possible existence of a threshold is acknowledged in the AME model and the effect of the threshold uncertainty on predicted premature mortality is shown in Figures 6 and 7. Watt et al. (1995) suggest that the design of ecological time-series studies and their statistical method may not be adequate to detect a true threshold effect. In contrast, the simulation experiments by Cakmak et al. (1999) indicate that standard statistical methods are likely to detect and give nearly unbiased estimates of threshold concentrations even under conditions of extreme exposure measurement error, but that the uncertainty in the threshold estimates increases with the degree of exposure measurement error.
The threshold assumption based on ambient measurements cannot be transferred readily to the IES model where personal exposures include both indoor and ambient-originated particles. A clear procedure to adjust threshold assumptions when translating from the ambient measurement model to the total exposure model is not yet apparent. This is beyond the scope of this paper, but remains an area where future research, model development and testing are needed.
The adjustments in estimated premature mortality associated with the use of the IES model are most pronounced for the winter/fall period, when air exchange rates are lower and people spend less time outdoors. Uncertainties associated with the slope and the threshold assumptions are the most important factors in the sensitivity analysis for AME models. The sensitivity analysis of the IES model suggests that the slope remains the most important factor and the uncertainties in the values of alpha and BIAS contribute a moderate increase of uncertainty to the overall estimation. Thus, while the incorporation of an exposure model is important to account for indoor–outdoor particulate relationships and to correct biases in epidemiological PM slope factors, the most critical uncertainties remain in the dose–response relationships. The uncertainties addressed in this paper are, as noted earlier, limited to a model where PM10 and PM2.5 are considered as single, homogeneous pollutants. Continuing study of exposure and dose–response relationships is necessary to characterize the implications of other key uncertainties in the PM health assessment, including the effects of PM composition, copollutants, and other covariate factors.
Notes
On February 27, 2001, the Supreme Court upheld authority delegated to the Environmental Protection Agency by the 1970 Clean Air Act to set the strict clean air standards for PM and ground level ozone without regard to economic cost.
The average personal exposure to ambient particles is the time-weighted sum of the outdoor exposure to ambient particles and of the indoor exposure to ambient particles that have infiltrated indoors.
References
Bahadori, T . Issues in particulate matter exposure assessment: relationship between outdoor, indoor, and personal measurements. Harvard School of Public Health, Boston, MA 1998
Cakmak, S, Burnett, RT, Krewski, D . Methods for detecting and estimating population threshold concentrations for air pollution-related mortality with exposure measurement error, Risk Anal (1999) 19 (3) 487–496
California Air Resources Board 1999 Available at http://arbis.arb.ca.gov/homepage.htm
Carrothers, TJ, Evans, JS . Assessing the impact of differential measurement error on estimates of fine particle mortality, J Air Waste Manage Assoc (2000) 50 (1) 65–74
Center for Disease Control. Cigarette Smoking Among Adults — United States, 1988. US Government Printing Office (GPO), Washington, DC 1991
Chen, LC, Fine, JM, Qu, QS . Effects of fine and ultrafine sulfuric acid aerosols in guinea pigs: alterations in alveolar macrophage function and intracellular pH, Toxicol Appl Pharmacol (1992) 113: 109–117
Clayton, CA, Pellizzari, ED . Use of a pilot study for designing a large scale probability study of personal exposure to aerosols, J Exposure Anal Environ Epidemiol (1991) 1 (4) 407–421
Clayton, CA, Perritt, RL, Pellizzari, ED, Thomas, KW, Whitmore, RW, Wallace, LA, O¨zkaynak, H, Spengler, J . Particle Total Exposure Assessment Methodology (PTEAM) study: distributions of aerosol and elemental concentrations in personal, indoor and outdoor air sampling in a southern California community, J Exposure Anal Environ Epidemiol (1993) 3 (2) 227–250
Clemen, RT . Making hard decisions: an introduction to decision analysis. Duxbury Press, Wadsworth Publishing, Belmont, CA 1996
Cochran, WG . Errors of measurement in statistics, Technometrics (1968) 10: 637–666
Dockery, DW, Speizer, FE, Stram, DO, Ware, JH, Spengler, JD, Ferries, BG Jr . Effects of inhalable particles on respiratory health of children, Am Rev Respir Dis (1989) 139: 587–594
Dominici, F, Zeger, SL, Samet, JM . Combining evidence on air pollution and daily mortality from the largest 20 US cities: a hierarchical modeling strategy (with discussion), J R Stat Soc A (2000) 163 (3) 263–302
Dominici, F, Samet, J, Zeger, S . A measurement error model for time-series studies of air pollution and mortality, Biostatistics (2000) 1 (2) 157–175
Duan, N . Models for human exposure to air pollution, Environ Int (1982) 8: 305–309
Frey, HC . Quantitative Analysis of Uncertainty and Variability in Environmental Policy Making. Environmental Science and Engineering Fellows Program, American Association for the Advancement of Science, Washington, DC 1992
Gamble, JF, Lewis, RJ . Health and respirable particulate (PM10) air pollution: a causal or statistical association? Environ Health Perspect (1996) 104 (8) 838–850
Godleski, JJ, Sioutas, C, Katler, M, Koutrakis, P . Death from inhalation of concentrated ambient air particles in animal models of pulmonary disease, Am J Respir Crit Care Med (1996) 153: A15
Hammit, JK . Valuing mortality risk: theory and practice, Environ Sci Technol (2000) 34: 1396–1400
Ito, K, Thurston, GD . Daily PM10/mortality associations: an investigation of at-risk subpopulations, J Exposure Anal Environ Epidemiol (1996) 6 (1) 79–98
Johnson, TR . A Study of Human Activity Patterns in Cincinnati, Ohio (1987 Prepared by PEI Association for Electric Power Institute, Palo Alto
Johnson, NL, Kotz, S . Continuous Univariate Distributions: 1. Distributions in Statistics. Wiley, New York 1970
Kinney, PL, Ito, K, Thurston, GD . A sensitivity analysis of mortality/PM-10 association in Los Angeles, Inhal Toxicol (1995) 7: 59–69
Koutrakis, P, Briggs, SLK, Leaderer, BP . Source apportionment of indoor aerosols in Suffolk and Onondaga counties, New York, Environ Sci Technol (1992) 26: 521–527
Lave, LB, Seskin, EP . An analysis for the association between US mortality and air pollution, J Am Stat Assoc (1973) 68: 284–290
Lebret, E . Errors in exposure measures, Toxicol Ind Health (1990) 6 (5) 147–156
Lioy, PJ, Waldman, JM, Buckley, T, Butler, J, Pietarinen, C . The personal, indoor and outdoor concentrations of PM-10 measured in an industrial community during the winter, Atmos Environ (1990) 24: 57–66
Lipfert, FW, Wyzga, RE . Air pollution and mortality: issues and uncertainties, J Air Waste Manage Assoc (1995) 45: 949–966
Lipfert, FW, Wyzga, RE . Uncertainties in identifying responsible pollutants in observational epidemiology studies, Inhal Toxicol (1995) 7: 671–689
Lipfert, FW, Wyzga, RE . Air pollution and mortality: the implications of uncertainties in regression modeling and exposure measurement, J Air Waste Manage Assoc (1997) 47 (4) 517–523
Lipfert, FW, Wyzga, RE . Statistical considerations in determining the health significance of constituents of airborne particulate matter, J Air Waste Manage Assoc (1999) 49 (special issue) 182–191
Lipsett, M, Hurley, S, Ostro, B . Air pollution and emergency room visits for asthma in Santa Clara County, California, Environ Health Perspect (1997) 105 (2) 216–222
Logan, WPD . Mortality in London fog incident, Lancet (1953) 1: 336–338
Mage, DT . A particle is not a particle is not a PARTICLE, J Exposure Anal Environ Epidemiol (2002) 12: 93–95
Mage, DT, Wilson, W, Hasselblad, V, Grant, L . Assessment of human exposure to ambient particulate matter, J Air Waste Manage Assoc (1999) 49 (11) 1280–1291
Malm, WC, Sisler, JF, Huffman, D, Eldred, R, Cahill, TA . Spatial and seasonal trends in particle concentration and optical extinction in the United States, J Geophys Res (1994) 99: 1347–1370
Murray, DM . Residential house and zone volumes in the United States: empirical and estimated parametric distributions, Risk Anal (1997) 17 (4) 439–446
Murray, DM, Burmaster, DE . Residential air exchange rates in the United States: empirical and estimated parametric distributions by season and climatic region, Risk Anal (1995) 15 (4) 459–465
National Research Council. Research Priorities for Airborne Particulate Matter: I. Immediate Priorities and a Long-range Research Portfolio. National Academy Press, Washington, DC 1998
Navidi, W, Lurmann, F . Measurement error in air pollution exposure assessment, J Exposure Anal Environ Epidemiol (1995) 5 (2) 111–124
Overpeck, MD, Moss, AJ . Children's exposure to environmental cigarette smoking before and after birth. Advanced Data from Vital and Health Statistics of the National Center for Health Statistics #202DHHS Publ. No. (PHS) 91-1250
Özkaynak, H, Ryan, PB, Spengler, JD, Laird, NM . Bias due to misclassification of personal exposures in epidemiological studies of indoor and outdoor air pollution, Environ Int (1986) 12: 389–393
Özkaynak, H, Spengler, J . The role of outdoor particulate matter in assessing total human exposure (Chapter 4), Particles in Our Air: Concentrations and Health Effects. Harvard University Press, Cambridge, MA 1996
Özkaynak, H, Xue, J, Spengler, J, Wallace, L, Pellizzari, E, Jenkins, P . Personal exposure to airborne particles and metals: results from the particulate TEAM study in Riverside, California, J Exposure Anal Environ Epidemiol (1996) 6 (1) 57–78
Özkaynak, H, Xue, J, Weker, R, Butler, D, Koutrakis, P, Spengler, J . The Particle TEAM (PTEAM) Study: Analysis of The Data. Final Report. Volume III Office of Research and Development, U.S. EPA, Washington, DC 1996 EPA/600/R-95/098
Pope, CA III Schwartz, J, Ransom, MR . Daily mortality and PM10 pollution in Utah Valley, Arch Environ Health (1992) 47: 211–217
Rojas-Bracho, L, Suh, HH, Koutrakis, P . Relationships among personal, indoor and outdoor fine and coarse particle concentrations for individuals with COPD, J Exposure Anal Environ Epidemiol (2000) 10 (3) 294–306
Saldiva, PHN, King, M, Delmonte, V, Macchione, M, Parada, M, Daliberto, M, Sakae, R, Criado, P, Silveira, P, Zin, W, Bo¨hm, G . Respiratory alterations due to urban air pollution: an experimental study in rats, Environ Res (1992) 57: 19–33
Schimmel, B, Murawsky, T . The relation of air pollution to mortality, Proc J Occup Med (1978) 18: 316–333
Schwartz, J . Air pollution and daily mortality in Birmingham, Alabama, Am J Epidemiol (1993) 137: 1136–1147
Schwartz, J . Air pollution and daily mortality: a review and meta-analysis, Environ Res (1994) 64 (1) 36–52
Schwartz, J, Dockery, D Particulate air pollution and daily mortality in Steubenville, Ohio, Am J Epidemiol (1992) 135: 12–19
Schwartz, J, Zanobetti, A . Using meta-smoothing to estimate dose–response trends across multiple studies, with application to air pollution and daily death, Epidemiology (2000) 11 (6) 666–672
Schwartz, J, Dockery, DW, Neas, LM . Is daily mortality associated specifically with fine particles? J Air Waste Manage Assoc (1996) 46: 927–939
Schwartz, J, Ballester, F, Saez, M, Perez-Hoyos, S, Bellido, J, Cambra, K, Arribas, F, Canada, A, Perez-Boillos, M, Sunyer, J . The concentration–response relation between air pollution and daily deaths, Environ Health Perspect (2001) 109 (10) 1001–1006
Sexton, K, Spengler, JD, Treitman, RD . Personal exposure to respiratory particles: a case study in Waterbury, Vermont, Atmos Environ (1984) 18 (7) 1385–1398
Spengler, JD, Treitman, RD, Tosteson, TD, Mage, TD, Soczek, ML . Personal exposures to respirable particles and implications for air pollution epidemiology, Environ Sci Technol (1985) 19: 700–707
Thomas, D, Stram, D, Dwyer, J . Exposure measurement error: influence on exposure–dose relationships and methods of correction, Annu Rev Public Health (1993) 14: 69–93
Trijonis, JC, Malm, WC, Pitchford, M, White, WH . Visibility: existing and historical conditions — causes and effects. NAPAP Report 24. InAcid Deposition: State of Science and Technology. Volume III National Acid Precipitation Assessment Program, Washington, DC 1990
U.S. Environmental Protection Agency. Air Quality Criteria for Particulate Matter. Office of Research and Development, U.S. EPA, Washington, DC 1996) Vols. I–III
U.S. Environmental Protection Agency. Review of the National Ambient Air Quality Standards for Particulate Matter: Policy Assessment of Scientific and Technical Information. Office of Air Quality Planning and Standards, OAQPS Staff Paper, Research Triangle Park, NC 1996
Wacholder, S . When measurement errors correlate with truth: surprising effects of nondifferential misclassification, Epidemiology (1995) 6 (2) 157–161
Wallace, L . Indoor particles: a review, J Air Waste Manage Assoc (1996) 46: 98–126
Watt, M, Godden, D, Cherrie, J, Seaton, A . Individual exposure to particulate air pollution and its relevance to threshold for health effects: a study of traffic wardens, Occup Environ Med (1995) 52: 790– 792
Wiley, JA, Robinson, JP, Piazza, T, Garrett, K, Cirksena, K, Cheng, YT, Martin, G . Activity Patterns of California Residents, Sacramento, CA 95812Report prepared under Contract No A6-177-33 for the California Air Resources Board1991
Williams, R, Suggs, J, Zweidinger, R, Evans, G, Creason, J, Kwok, R, Rodes, C, Lawless, P, Sheldon, L . The 1998 Baltimore particulate matter epidemiology-exposure study: Part 2. Personal exposure assessment associated with an elderly study population monitoring, J Exposure Anal Environ Epidemiol (2000) 10 (6) 533–543
Wilson, WE, Mage, DT, Grant, LD . Estimating separately personal exposure to ambient and nonambient particulate matter for epidemiology and risk assessment: why and how, J Air Waste Manage Assoc (2000) 50: 1167–1183
Zeger, SL, Dominici, F, Samet, JM . Harvesting — resistant estimates of air pollution effects on mortality, Epidemiology (1999) 10 (2) 171–175
Acknowledgements
We acknowledge the support from the Carnegie Mellon University NSF Center for Integrated Study of the Human Dimensions of Global Change, grant NSF, SBR-9521914 and fellowship support from the Vera Heinz Endowment, as part of the John Heinz III professorship of Environmental Engineering at Carnegie Mellon University. We express our appreciation to Dr. H. Özkaynak for his early inputs in the development of the exposure model and Dr. J. Evans, Timothy J. Carrothers, Hadi Dowlatabadi, Keith Florig and Max Henrion for their interests and numerous helpful comments. The authors want to thank Dr. John J. Vandenberg for his suggestions, which helped to improve the quality of the manuscript. The manuscript was significantly improved based on the comments of the two anonymous reviewers. Analytica™ is a registered trademark of Lumina Decision Systems (http://www.lumina.com).
Author information
Affiliations
Corresponding author
Appendix A
Appendix A
Microenvironment model (Duan, 1982; Sexton et al., 1984; Spengler et al., 1985; Özkaynak et al., 1996b), indoor source model (Koutrakis et al., 1992) and the derivation of personal cloud effect
Microenvironment Approach
The average of an individual's total exposure in a specific time period is the sum of the products of air pollution concentrations associated with a specific location or activity and the time spent in that location, or microenvironment, divided by the duration of the monitoring period:
where Cper is the average total personal exposure to PM in a specific time period, and Ci is the average PM concentration in a specific location or for a specific activity in the ith location over the time interval ti.
Indoor Source Model
Particle concentrations in indoor environments are a function of the air exchange rate (a) for the building, the penetration factors (P), the decay (or deposition) rates (k), and the source strength (Qis) for the given size particle (Koutrakis et al., 1992):
The PTEAM study (Özkaynak et al., 1996b) identified the important indoor sources as smoking, cooking and “other” by use of multivariable analyses (ANOVA and regression analysis), with:
Personal Cloud Derivation
The values of personal cloud exposure concentrations (γ) for the general population are not readily available in the literature; we therefore calculate the γ's from the following relationships. The value of γ for PM10 is calculated as:
Cper,PM10, Cin,PM10 and Cout,PM10 are obtained from the PTEAM study (Özkaynak et al., 1996b) (Table A-1) and we use the Wiley et al. (1991) survey for information on Tin and Tout.
For PM2.5, since direct measurements of Cper,PM2.5 are unavailable, our calculation is more approximate. We use the information from PTEAM to obtain the partitioning of the personal clouds into two size fractions. Regression of personal cloud on fine and coarse fractions in the PTEAM study gives the following relationship:
We estimate the value of γ(PM2.5) by assuming γ(PM2.5) is the fine fraction of γ(PM10). However, given the equation above, the partitioning of the intercept into two size fractions is unknown. Therefore, the following equation is used to estimate γ(PM2.5):
The values of intercept a and b are given in Table A-2.
The overall estimated PM2.5 personal cloud averaged 20.1 μg/m3. No existing studies that we know of have measurements on the PM2.5 personal cloud for the general population. Studies conducted for sedentary (disabled or elderly) populations have fairly small sample sizes (N=10 and 21) and activities were restricted. These studies have found mean values of the estimated PM2.5 personal cloud to be ∼3 μg/m3 (Bahadori, 1998; Williams et al., 2000). However, both studies have indoor and outdoor PM2.5 concentrations two to three times lower than what were measured at the PTEAM study.
Rights and permissions
About this article
Cite this article
YEH, S., SMALL, M. Incorporating exposure models in probabilistic assessment of the risks of premature mortality from particulate matter. J Expo Sci Environ Epidemiol 12, 389–403 (2002). https://doi.org/10.1038/sj.jea.7500240
Received:
Revised:
Published:
Issue Date:
DOI: https://doi.org/10.1038/sj.jea.7500240
Keywords
- exposure
- measurement error
- particulate matter
- premature mortality
- uncertainty
Further reading
-
A framework for estimating the US mortality burden of fine particulate matter exposure attributable to indoor and outdoor microenvironments
Journal of Exposure Science & Environmental Epidemiology (2020)
-
A comparative study on arsenic fractions in indoor/outdoor particulate matters: a case in Baoding, China
Environmental Monitoring and Assessment (2019)






