Abstract
The 3-dimethylsulphoniopropionate (DMSP) produced by marine algae is the main biogenic precursor of atmospheric dimethylsulphide (DMS)1,2,3. This biogenic DMS, formed by bacterial and algal degradation of DMSP4,5, contributes about 1.5 × 1013 g of sulphur to the atmosphere annually3, and plays a major part in the global sulphur cycle, in cloud formation and potentially in climate regulation1,3. Although DMSP biosynthesis has been partially elucidated in a higher plant6,7, nothing is known about how algae make DMSP except that the whole molecule is derived from methionine8,9,10,11,12. Here we use in vivo isotope labelling to demonstrate that DMSP synthesis in the green macroalga Enteromorpha intestinalis proceeds by a route entirely distinct from that in higher plants. From methionine, the steps are transamination, reduction and S -methylation to give the novel sulphonium compound 4-dimethylsulphonio-2-hydroxybutyrate (DMSHB), which is oxidatively decarboxylated to DMSP. The key intermediate DMSHB was also identified in three diverse phytoplankton species, indicating that the same pathway operates in other algal classes that are important sources of DMS. The fact that a transamination initiates this pathway could help explain how algal DMSP (and thereby DMS) production is enhanced by nitrogen deficiency12.
Main
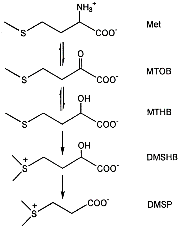
Many marine phytoplankton species and intertidal macroalgae accumulate DMSP as an osmolyte and cryoprotectant, particularly when salinity is high and nitrogen is limiting2,12,13. We investigated DMSP synthesis first in the green macroalga Enteromorpha intestinalis, which is rich in DMSP (∼20 μmol g−1 fresh weight) when grown in normal sea water. To identify biosynthetic intermediates between methionine (Met) and DMSP, we followed the metabolism of a small dose of 35S-methionine. The main fates of [35S]Met were conversion to DMSP and incorporation into protein (Fig. 1a). Two stable compounds acquired 35S rapidly and lost it as the [35S]Met dose was depleted, as expected for DMSP pathway intermediates; these were 4-methylthio-2-hydroxybutyrate (MTHB) and its S -methylated derivative DMSHB, a new natural product (Fig. 1b). The most plausible route from Met to these compounds is via the unstable 2-oxo acid, 4-methylthio-2-oxobutyrate (MTOB). We therefore tested for 35S incorporation into MTOB by using a gentle extraction method (Table 1, method A) or by converting it to a stable derivative (Table 1, method B). Both approaches confirmed that MTOB acquired and lost 35S in parallel with MTHB. Computer modelling14 confirmed that the labelling kinetics of MTOB, MTHB and DMSHB were quantitatively consistent with roles as intermediates.
Batches of fronds (100 mg fresh weight, FW) were supplied with 5 μCi (0.5 nmol) [35S]Met. a, Free Met, DMSP and protein; b, Potential DMSP pathway intermediates; DMSHB data points are reduced by a factor of 20; MTPA, 3-methylthiopropylamine. No label (⩽0.5 nCi per 100 mg) was detected in 3-dimethylsulphoniopropionaldehyde.
None of the other compounds monitored had labelling kinetics expected of intermediates in DMSP synthesis. S -Methylmethionine (SMM) and 3-dimethylsulphoniopropionaldehyde, both known to be DMSP synthesis intermediates in higher plants6,7, acquired little or no 35S (Fig. 1b). 3-Methylthiopropylamine, which has been proposed to be an intermediate in algae11, labelled as would be expected for a minor end product (Fig. 1b). Labelling of another hypothetical intermediate, 3-methylthiopropionate8,11 varied from undetectable to comparable to that of MTOB in experiments with different lots of E. intestinalis. This can be attributed to a catabolic route involving oxidative decarboxylation of MTOB, which occurs in algae and other plants that do not contain DMSP, as well as in animals, and whose activity can vary with nutritional status9,15,16,17.
These data support the pathway Met → MTOB → MTHB → DMSHB → DMSP, but are not consistent with a route involving SMM. To test this, 35S-labelled SMM, MTHB and DMSHB were supplied (Table 2). SMM was scarcely metabolized, providing additional evidence that it is not an intermediate. MTHB was mainly converted to methionine, which in turn was incorporated into protein—a fate of MTHB well known in other plants and in animals18,19. Some 35S from MTHB also entered DMSP, consistent with MTHB being an intermediate; however, an indirect route via methionine cannot be excluded. As would be expected for a late intermediate in the pathway, DMSHB was metabolized efficiently to DMSP and to little else.
Stable isotope labelling was used to confirm and extend the radiotracer findings. We first verified the presence of the novel intermediate DMSHB and tested whether its conversion to DMSP involves an oxygenase reaction, perhaps analogous to that mediated by lactate oxidase20. To do this, E. intestinalis was given [U-13C5]Met in an atmosphere containing 16O2 or 18O2. Gas chromatography–mass spectrometry (GC-MS) with selected ion monitoring (SIM) revealed a small pool of DMSHB that became labelled with 13C in five or six positions, but not with 18O (Fig. 2a). Fast atom bombardment (FAB)-MS showed that most of the newly synthesized DMSP had four or five 13C atoms and that 30–40% of this DMSP became labelled with 18O (Fig. 2b). Note that recycling of the [13C4]homocysteine moiety formed in methylation reactions would yield Met (and hence DMSHB and DMSP) with an unlabelled methyl group. The presence of such Met was confirmed by GC-MS, and modelling14 showed the observed proportions of [13C4]- and [13C5]DMSP conformed to expectations for recycling of the [13C4]homocysteine moiety generated by the methylation step in DMSP synthesis. Also, photosynthetically generated 16O2 lowers the intracellular abundance of 18O2. The 13C and 18O data are thus fully consistent with a pathway in which the last step is an oxygenase-mediated oxidative decarboxylation of DMSHB.
Fronds (100 mg) were incubated for 24 h with L-[U-13C5]Met (5 μmol) in flasks initially containing 21% 16O2 or 18O2 in N2; controls received no Met and no 18O2. a, SIM analysis of DMSHB. The peak areas in the control fit the expectation for natural-abundance C, S, Si and O isotopes. In the [13C]Met/16O2 treatment, endogenous DMSHB was replaced by 13C4- and 13C5-labelled species (the S -demethylated derivatives of [13C5]- and [13C6]DMSHB). Exposure to 18O did not change this pattern, showing that the α-hydroxyl group does not originate from O2. b, FAB-MS analysis of DMSP. In the [13C]Met/16O2 treatment, the peaks at m/z 139 and 140 are [13C4]- and [13C5]DMSP. Under 18O2, the signals at m/z 141 and 142 ([13C4, 18O]- and [13C5, 18O]DMSP) show that 30–40% of the 13C-labelled DMSP molecules contain an 18O atom.
We also used stable isotope labelling to investigate the conversion of methionine to MTOB. E. intestinalis was given [15N]Met (5 μmol per 100 mg) and GC-MS was used to follow the labelling of amino acids. Glutamate acquired 15N readily (7.0% abundance at 2 h), as did aspartate and alanine, but the amide group of glutamine did not (<1% abundance at 2 h). This is consistent with transamination of methionine, but not with oxidative deamination: the 15NH3 from a deamination reaction would have led to labelling of glutamine amide via the action of glutamine synthetase21. The operation of glutamine synthetase in E. intestinalis was confirmed by supplying 15NH4+(1 μmol per 100 mg) and showing that glutamine amide nitrogen was rapidly labelled (42% 15N abundance at 2 h). The conversion of MTHB to Met (Table 2) indicates that the Met → MTOB step is reversible, which is consistent with transamination22.
Collectively, the data for the chlorophyte macroalga E. intestinalis indicate that the pathway for synthesis of DMSP is that shown in Fig. 3. We tested for this pathway in marine planktonic species as these are major producers of DMSP and DMS1,2,3. For this, we chose a prymnesiophyte (Emiliania huxleyi), a diatom (Melosira nummuloides) and a prasinophyte (Tetraselmis sp.). These algae all contained small pools of the key intermediate DMSHB which acquired label from [35S]Met and lost it as the [35S]Met was consumed (Fig. 4). All of them metabolized supplied [35S]DMSHB to [35S]DMSP (Fig. 4, inset). It is therefore likely that they have the same pathway as E. intestinalis.
The second step is shown as reversible because MTHB can be converted to Met (Table 2).
The main figure shows conversion of [35S]Met to DMSP and DMSHB. Data are for 107(EH and TS) or 105cells (MN). Cultures were incubated with [35S]Met (8–10 μCi; about 0.5 nmol) for a short time (t1) to label heavily the pools of free Met and intermediates, and for a long time (t2) to allow 35S to chase from these pools. Times t1 and t2 (h), culture volumes (ml) and cell numbers were: EH, 1.5, 23, 12, 5× 107; MN, 2.5, 23, 1.2, 5× 105; TS, 0.25, 16, 25, 4.4 × 107. The inset shows synthesis of [35S]DMSP (nCi per 107 cells) from [35S]DMSHB (2–3 μCi, 0.2–0.3 nmol). Incubation was for 17–23 h. Culture volumes (ml) and cell numbers were: EH, 10, 5.5 × 107; MN, 1.2, 5× 105; TS, 10, 1.4 × 107.
Our data establish a pathway for DMSP biosynthesis in marine algae. This pathway has no steps in common with that in higher plants, which proceeds via SMM and 3-dimethylsulphoniopropionaldehyde6,7. DMSP biosynthesis must therefore have evolved independently at least twice. Our results have two other implications. The first stems from the finding that a transaminase reaction stands at the head of the DMSP pathway; this may help explain why nitrogen deficiency enhances DMSP production12,23,30. Depletion of cellular amino acids would favour the transamination reaction, thereby promoting DMSP synthesis when nitrogen is limiting. Second, our results suggest that DMSP may not be the only precursor of the DMS produced by living algae: DMSHB is another potential precursor in vivo. In support of this possibility, we have obtained preliminary evidence for extensive catabolism of supplied DMSHB to DMS in Tetraselmis sp. and E. huxleyi.
Methods
Algae. E. intestinalis was collected in Florida and kept in aerated sea water at 18 °C in continuous fluorescent light (photosynthetic photon flux density, 50 μmol m−2 s−1). M. nummuloides (CCMP 482) and Tetraselmis sp. were cultured axenically at 25 °C in the above light regime in modified Gooday's medium24 with 1 mM NO3−; for M. nummuloides, 0.1 mM Na2SiO3 was added and Tris omitted. E. huxleyi (CCMP 373) was grown in f/2 medium25 in daylight at 22 °C.
Radiochemicals. L-[35S]SMM was synthesized enzymatically from L-[35S]Met26 or by treating L-[35S]Met with 250 mM methanol in 6 M HCl at 110 °C for 4 h (ref. 27), and converted to L-[35S]DMSHB with HNO2 (ref. 28). [35S]MTOB was made from L-[35S]Met using L-amino acid oxidase, and converted to L-[35S]MTHB using L-lactic dehydrogenase and NADH; [35S]methylthiopropionate was obtained as a byproduct. Compounds were purified by ion exchange and TLE6,7.
Labelling conditions. E. intestinalis fronds (50 or 100 mg) were incubated in 0.5–2.5 ml sterile sea water; 18O labelling was carried out in 50-ml flasks. For phytoplankton species, labelled compounds were added to growing cultures. Incubation was at 18–21 °C for E. intestinalis and E. huxleyi and 25 °C for Tetraselmis and M. nummuloides, under fluorescent light and with gentle agitation. Uptake of 35S was estimated from its disappearance from the medium.
Metabolite analysis. Most metabolites were isolated by methanol–chloroform–water extraction, ion exchange, TLE and TLC6,7. As MTOB broke down in these procedures, forming MTP, these compounds were isolated using 0.1 M HCl followed by ether extraction6 (method A) or by using paired samples extracted in 0.3 ml 66 mM NaBH4 (to reduce MTOB to MTHB) or in pre-neutralized NaBH4 (to give the endogenous MTHB level) (method B); MTOB was estimated by difference . Method B was also used to isolate 3-dimethylsulphoniopropionaldehyde as its hydroxy derivative7. Metabolites were identified by their respective lability and stability in cold 2 M NaOH. 35S data were corrected for recovery, determined using labelled standards, and for products formed during extraction. Protein synthesis was estimated from 35S labelling of the insoluble residue; the 35S was shown to be in protein-bound Met by proteolysis and TLC.
Mass spectrometry. DMSP was analysed without derivatization by FAB-MS29. DMSHB was derivatized as its t -butyldimethylsilyl ester/ether and analysed by GC-MS with SIM after on-column nucleophile-assisted S -demethylation29. Authentic DMSHB6 was used to calibrate the SIM parameters. The diagnostic fragment ion cluster at m/z 321 (loss of a t -butyl radical) was monitored at the appropriate retention time. 15N-amino acids were analysed as described14, except that amide-15N abundance was determined using N -ethoxycarbonyl isobutyl esters by electron impact GC-MS30.
References
Charlson, R. J., Lovelock, J. E., Andreae, M. O. & Warren, S. G. Oceanic phytoplankton, atmospheric sulphur, cloud albedo and climate. Nature 326, 655–661 (1987).
Keller, M. D., Bellows, W. K. & Guillard, R. R. L. in Biogenic Sulfur in the Environment (eds Saltzmann, E. S. & Cooper, W. J.) 167–182 (American Chemical Society, Washington, DC, (1989)).
Malin, G. in Biological and Environmental Chemistry of DMSP and Related Sulfonium Compounds (eds Kiene, R. P., Visscher, P. T., Keller, M. D. & Kirst, G. O.) 177–189 (Plenum, New York, (1996).
Stefels, J. & van Boekel, W. H. M. Production of DMS from dissolved DMSP in axenic cultures of the marine phytoplankton species Phaeocystis sp. Mar. Ecol. Progr. Ser. 97, 11–18 (1993).
Ledyard, K. M. & Dacey, J. W. H. Dimethylsulfide production from dimethylsulfoniopropionate by a marine bacterium. Mar. Ecol. Progr. Ser. 110, 95–103 (1994).
Hanson, A. D., Rivoal, J., Paquet, L. & Gage, D. A. Biosynthesis of 3-dimethylsulfoniopropionate in Wollastonia biflora (L.) DC. Evidence that S -methylmethionine is an intermediate. Plant Physiol. 105, 103–110 (1994).
James, F., Paquet, L., Sparace, S. A., Gage, D. A. & Hanson, A. D. Evidence implicating dimethylsulfoniopropionaldehyde as an intermediate in dimethylsulfoniopropionate biosynthesis. Plant Physiol. 108, 1439–1448 (1995).
Greene, R. C. Biosynthesis of dimethyl-β-propiothetin. J. Biol. Chem. 237, 2251–2254 (1962).
Pokorny, M., Marcenko, E. & Keglevic, D. Comparative studies of L- and D-methionine metabolism in lower and higher plants. Phytochemistry 9, 2175–2188 (1970).
Chillemi, R., Patti, A., Morrone, R., Piatelli, M. & Sciuto, S. The role of methylsulfonium compounds in the biosynthesis of N -methylated metabolites in Chondria coerulescens. J. Nat. Prod. 53, 87–93 (1990).
Uchida, A., Ooguri, T., Ishida, T., Kitaguchi, H. & Ishida, Y. in Biological and Environmental Chemistry of DMSP and Related Sulfonium Compounds (eds Kiene, R. P., Visscher, P. T., Keller, M. D. & Kirst, G. O.) 97–107 (Plenum, New York, (1996)).
Kirst, G. O. in Biological and Environmental Chemistry of DMSP and Related Sulfonium Compounds (eds Kiene, R. P., Visscher, P. T., Keller, M. D. & Kirst, G. O.) 121–129 (Plenum, New York, (1996)).
Blunden, G. & Gordon, S. M. Betaines and their sulphonio analogues in marine algae. Progr. Phycol. Res. 4, 39–80 (1986).
Mayer, R. R., Cherry, J. H. & Rhodes, D. Effects of heat shock on amino acid metabolism of cowpea cells. Plant Physiol. 94, 796–810 (1990).
Walters, D. S. & Steffens, J. C. Branched chain amino acid metabolism in the biosynthesis of Lycopersicon pennellii glucose esters. Plant Physiol. 93, 1544–1551 (1990).
Livesey, G. Methionine degradation: anabolic and catabolic. Trends Biochem. Sci. 9, 27–29 (1984).
Scislowski, W. D., Hokland, B. M., Davis-van Thienen, W. I. A., Bremer, J. & Davis, E. J. Methionine metabolism by rat muscle and other tissues. Biochem. J. 247, 35–40 (1987).
Dibner, J. J. & Knight, C. D. Conversion of 2-hydroxy-4-(methylthio)butanoic acid to L-methionine in the chick: a stereospecific pathway. J. Nutr. 114, 1716–1723 (1984).
Mizayaki, H. H. & Yang, S. F. Metabolism of 5-methylthioribose to methionine. Plant Physiol. 84, 277–281 (1987).
Walsh, C. Enzymatic Reaction Mechanisms (Freeman, New York, (1979)).
Miflin, B. J. & Lea, P. J. Amino acid metabolism. Annu. Rev. Plant Physiol. 28, 299–329 (1977).
Christen, P. & Metzler, D. E. Transaminases (Wiley, New York, (1985)).
Groene, T. Biogenic production and consumption of dimethylsulfide (DMS) and dimethylsulfoniopropionate (DMSP) in the marine epipelagic zone: a review. J. Mar. Syst. 6, 191–209 (1995).
Gooday, G. W. Aphysiological comparison of the symbiotic alga Platymonas convolutae and its free-living relatives. J. Mar. Biol. Assoc. UK 50, 199–208 (1970).
Guillard, R. R. L. & Ryther, J. H. Studies on marine planktonic diatoms I. Cyclotella nana Hustedt and Detulona confervacae (Cleve.) Gran. Can. J. Microbiol. 8, 229–239 (1962).
James, F., Nolte, K. D. & Hanson, A. D. Purification and properties of S -adenosyl-L-methionine:L-methionine S -methyltransferase from Wollastonia biflora leaves. J. Biol. Chem. 270, 22344–22350 (1995).
Lavine, T. F., Floyd, N. F. & Cammaroti, M. S. The formation of sulfonium salts from alcohols and methionine in sulfuric acid. J. Biol. Chem. 207, 107–117 (1954).
Zappia, V., Zydek-Cwick, C. R. & Schlenk, F. The specificity of S -adenosylmethionine derivatives in methyl transfer reactions. J. Biol. Chem. 244, 4499–4509 (1969).
Gage, D. A. & Hanson, A. D. in Biological and Environmental Chemistry of DMSP and Related Sulfonium Compounds (eds Kiene, R. P., Visscher, P. T., Keller, M. D. & Kirst, G. O.) 29–44 (Plenum, New York, (1996)).
Huang, Z.-H. et al. Characterization of N -ethoxycarbonyl ethyl esters of amino acids by mass spectrometry. J. Chromatogr. 635, 271–281 (1993).
Acknowledgements
We thank J. Hellebust, O. Schofield and J. S. Davis for algal material. This work was supported by grants from the NSF and ONR to A.D.H. and D.A.G., from the ONR to D.R. and T.L., from the NIH to the MSU-NIH Mass Spectrometry Facility and by the C.V. Griffin Sr Foundation. (Florida Agricultural Experiment Station journal series no. R-05740.)
Author information
Affiliations
Corresponding authors
Rights and permissions
About this article
Cite this article
Gage, D., Rhodes, D., Nolte, K. et al. A new route for synthesis of dimethylsulphoniopropionate in marine algae. Nature 387, 891–894 (1997). https://doi.org/10.1038/43160
Received:
Accepted:
Issue Date:
DOI: https://doi.org/10.1038/43160
Further reading
-
A novel impedimetric sensor for trace level detection of dimethyl sulfide (DMS)
Journal of Materials Science: Materials in Electronics (2020)
-
Sulfur metabolites in the pelagic ocean
Nature Reviews Microbiology (2019)
-
Biogenic production of DMSP and its degradation to DMS—their roles in the global sulfur cycle
Science China Life Sciences (2019)
-
Variability in sulfur isotope composition suggests unique dimethylsulfoniopropionate cycling and microalgae metabolism in Antarctic sea ice
Communications Biology (2018)
-
Distributions and Relationships of CO2, O2, and Dimethylsulfide in the Changjiang (Yangtze) Estuary and Its Adjacent Waters in Summer
Journal of Ocean University of China (2018)
Comments
By submitting a comment you agree to abide by our Terms and Community Guidelines. If you find something abusive or that does not comply with our terms or guidelines please flag it as inappropriate.



