Abstract
Articular cartilage, the tissue that forms the gliding surface of joints, has a poor regenerative capacity. Insulin-like growth factor-I (IGF-I) is a polypeptide that is anabolic and mitogenic for cartilage. Transfection of articular chondrocytes with an expression plasmid vector containing the cDNA for human IGF-I under the control of the cytomegalovirus promoter/enhancer led to expression of the transgene and synthesis of biologically relevant amounts of IGF-I protein. Transplantation of transfected articular chondrocytes on to the surface of articular cartilage explants led to the formation of a new tissue layer on the cartilage explant surface. The new tissue was characterized by the presence of type II collagen and proteoglycan and by the absence of type I collagen, consistent with hyaline-like cartilage. The tissue formed by the chondrocytes expressing IGF-I was thicker and contained more cells than controls transfected with an expression plasmid vector containing the Escherichia coli (E. coli) β-galactosidase (lacZ) gene. Transplantation of articular chondrocytes that overexpress human IGF-I also increased DNA synthesis and the synthesis of glycosaminoglycans by the underlying explant cartilage chondrocytes. These results identify a mechanism by which IGF-I may simultaneously promote chondrogenesis and shift cartilage homeostasis in an anabolic direction. The data further suggest that therapeutic growth factor gene transfer may be applicable to articular cartilage. Gene Therapy (2001) 8, 1443–1449.
Introduction
Insulin-like growth factor-I (IGF-I) is a 7.6 kDa polypeptide growth factor that plays an important role in cartilage physiology.1,2 In vitro, IGF-I stimulates chondrocyte mitotic activity, increases proteoglycan and type-II collagen synthesis and inhibits chondrocyte-mediated matrix catabolism.3 In vivo, intra-articular IGF-I has been reported to modulate the progression of articular cartilage degradation4 and to enhance the repair of articular cartilage defects.5 Obstacles to the development of IGF-I as a therapeutic agent for articular cartilage damage that occurs in trauma and osteoarthritis include its short intra-articular residence time and the intrinsic paucity of articular chondrocytes to serve as target cells.
Gene transfer technologies offer a means of delivering therapeutic proteins to the joint space.6,7,8,9 Recent studies have demonstrated that isolated articular chondrocytes can be genetically modified10,11,12,13,14 to express potentially beneficial genes10,14 and transplanted on to articular cartilage.10,12,13 It remains unknown whether articular chondrocytes can be transfected with a synthetic DNA delivery system to express and to produce sufficient quantities of a growth factor to influence chondrocyte metabolic function. It is additionally unknown whether, if achieved, such modifications could lead to detectable structural changes in cartilage formation.
The present study tests the hypothesis that overexpression and secretion of human IGF-I by transplantable articular chondrocytes can stimulate articular chondrocyte mitotic and matrix synthetic activity and augment the formation of new tissue in an ex vivo model of chondrocyte transplantation.
Results
Genetically modified bovine articular chondrocytes produce and secrete human IGF-I
Transcription of the human IGF-I cDNA was assessed by Northern analysis of total RNA isolated from chondrocytes transfected with pCMVβGal or pCMVhIGF-I. Hybridization with a DNA probe corresponding to the human IGF-I cDNA in the transgene revealed a transcript of the anticipated 1.3 kb size. This corresponds to the predicted size of the 760 bp human IGF-I sequence with a polyadenylate tail. This transcript was absent in RNA from pCMVβGal-transfected cells, indicating that it is transcribed from the transgene rather than the native IGF-I gene.
To determine whether the IGF-I transcript is translated and the gene product released, conditioned medium from transfected chondrocytes was analyzed by IGF-I radioimmunoassay. Conditioned medium from cells transfected with pCMVβGal did not contain detectable IGF-I (n = 4). Mean IGF-I production by chondrocytes transfected with pCMVhIGF-I was 83 ± 22 ng per 1 × 107 cells/24 h (n = 4).
Human IGF-I produced by transfected chondrocytes stimulates proliferation and glycosaminoglycan synthesis in articular chondrocyte monolayer cultures
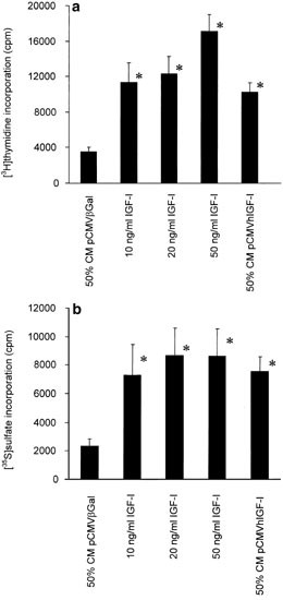
Incorporation of [3H]thymidine (Figure 1a) and [35S]sulfate (Figure 1b) in non-transfected bovine articular chondrocyte monolayer cultures was significantly increased by diluted (50%) conditioned medium from chondrocytes transfected with pCMVhIGF-I or graded concentrations of exogenous rhIGF-I compared with diluted (50%) conditioned medium from chondrocytes transfected with pCMVβGal (ANOVA: [3H]thymidine: F(4,38) = 9.52, P < 0.001; [35S]sulfate: F(4,44) = 25.53, P < 0.0001). Conditioned medium from chondrocytes transfected with pCMVhIGF-I increased [3H]thymidine incorporation 2.9-fold (Figure 1a) (P = 0.008, n = 13), a value comparable to the 3.2-fold (P < 0.001, n = 8) increase in [3H]thymidine incorporation produced by 10 ng/ml exogenous rhIGF-I. Conditioned medium from chondrocytes transfected with pCMVhIGF-I increased [35S]sulfate incorporation 3.2-fold (P < 0.001, n = 13), a value comparable to the 3.1-fold (P = 0.005, n = 8) increase in [35S]sulfate incorporation produced by 10 ng/ml exogenous rhIGF-I (Figure 1b). As predicted by the amino-acid sequence identity between human and bovine IGF-I15 and prior studies,16,17 human IGF-I is effective in stimulating bovine articular chondrocytes.
Stimulation of [3H]thymidine (a) and [35S]incorporation (b) in articular chondrocyte cultures incubated with either 10, 20, 50 ng/ml recombinant human IGF-I protein or with 50% conditioned medium (CM) from pCMVβGal- (50% CM pCMVβGal) or pCMVhIGF-I-transfected cells (50% CM pCMVhIGF-I). Radiolabel incorporation data are expressed as total c.p.m. ± s.d. from two independent experiments. Asterisks (*) indicate statistical significance compared to the control (P < 0.002).
Tissue formed by transplanted transfected chondrocytes fulfills morphological and immunohistochemical criteria for cartilage
When transplanted on to the articular surface of cartilage disks, chondrocytes transfected with pCMVβGal or pCMVhIGF-I formed a layer of new tissue that covered the host explant surface (Figure 2). This newly formed tissue contained homogeneously distributed round cells with rounded nuclei, a morphology typical for chondrocytes. No spindle-shaped nuclei suggestive of a fibrocartilage phenotype were detected. pCMVβGal-transfected cells demonstrated no lacunae or cell orientation (Figure 2a). In contrast, pCMVhIGF-I-transfected cells were oriented perpendicular to the surface and were frequently surrounded by lacunae (Figure 2b). The cells and matrix of the new tissue were intimately attached to the underlying host explant cartilage. The matrix in which the chondrocytes were embedded was intensely positive for proteoglycans by safranin O staining (Figure 2a and b). By immunohistochemistry, the matrix of the new tissue and of the underlying host cartilage was negative for type I collagen (Figure 2c and d) and positive for type II collagen (Figure 2e and f).
Histologic sections of composite cultures composed of articular cartilage explants and transplanted genetically modified articular chondrocytes. Cells were transfected with the lacZ expression plasmid vector pCMVβGal or the human IGF-I expression plasmid vector pCMVhIGF-I and transplanted on to the surface of cartilage disks pretreated with chondroitin ABC lyase. Representative cross-sections of composite cultures composed of transplanted, pCMVβGal-transfected (a, c, e; left side) or pCMVhIGF-I-transfected chondrocytes (b, d, f; right side) stained with safranin O (a, b), a monoclonal anti-type I collagen antibody (c, d) or a polyclonal anti-type II collagen antibody (e, f). Pictures were taken with the same photographic parameters, including light intensity. Original magnification, ×200.
Overexpression of IGF-I increases the thickness of the new tissue and promotes cell proliferation
By histomorphometric analysis, new tissue formed by transplanted chondrocytes transfected with pCMVβGal or pCMVhIGF-I was 38.5 ± 5.2 μm and 67.3 ± 8.6 μm thick, respectively (P < 0.001, n = 11). New tissue formed by transplanted non-transfected chondrocytes that were incubated in the absence or presence of 20 ng/ml exogenous rhIGF-I was 50.2 ± 3.3 μm and 76.7 ± 2.3 μm thick, respectively (P = 0.003, n = 5). The mean number of chondrocytes in the new tissue over each 56 μm site along the explant surface was 18.2 ± 2.0 and 24.7 ± 2.1 for chondrocytes transfected with pCMVβGal and pCMVhIGF-I, respectively (P < 0.001, n = 11). The cell-to-matrix ratio, defined as the number of cells per 1000 μm2 cross- sectional area of new tissue, was 8.2 ± 1.4 for pCMVβGal-transfected chondrocytes and 6.8 ± 1.5 for pCMVhIGF-I-transfected chondrocytes (P = 0.96, n = 3). Thus, the greater volume of tissue produced by pCMVhIGF-I-transfected cells reflects a commensurate increase in both cell number and matrix volume.
Chondrocytes overexpressing human IGF-I stimulate the metabolism of composite cell/explant cultures
When transfected chondrocytes were transplanted on to live cartilage explant disks, [3H]thymidine incorporation in composite cultures composed of pCMVhIGF-I- transfected chondrocytes was 27 497 ± 7597 cpm (n = 41), approximately 20% higher than in composite cultures composed of pCMVβGal-transfected chondrocytes (23194 ± 5360 c.p.m., n = 38) (P = 0.005). Incorporation of [35S]sulfate in composite cultures composed of pCMVhIGF-I-transfected chondrocytes was 49 682 ± 15 882 c.p.m. (n = 25), approximately 32% higher than in composite cultures composed of pCMVβGal-transfected chondrocytes (37 682 ± 10 969 c.p.m., n = 39) (P < 0.001).
To distinguish between the respective contribution to the total radiolabel incorporation by (1) the cartilage explant disk, and (2) the new tissue formed on the disks by the transfected chondrocytes, live (Figure 3, conditions (C–E) and dead (conditions A, B) cartilage disks were used as host explants for transplanted, transfected chondrocytes. The contribution of the explant disk is given by the difference in isotope uptake between cultures composed of transfected cells on live disks (conditions C or D) and that of cultures composed of the same cells on dead disks (conditions A or B), respectively. The percent contribution of the explant disks is calculated by the formula 100 × (1 − a/b), where b is the isotope uptake by cultures composed of transfected cells on live disks and a is the isotope uptake by cultures composed of the same cells on dead disks.
Stimulation of [3H]thymidine incorporation in composite cultures based on transfected chondrocytes transplanted on to live or dead cartilage disks. Articular chondrocytes transfected with the lacZ expression plasmid vector pCMVβGal (conditions A, C, E) or the human IGF-I expression plasmid vector pCMVhIGF-I (conditions B, D) were transplanted on to dead (conditions A, B) or live (conditions C–E) cartilage disks. Composite cultures were maintained in basal medium in the absence (conditions A–D) or presence (condition E) of 20 ng/ml recombinant human IGF-I (rhIGF-I) for 5 days. ANOVA revealed significant differences among the five conditions, F(4,43) = 10.83, P < 0.001. Post-hoc analysis using the Fisher LSD method indicated a significant difference in radiolabel incorporation between conditions A (n = 9) and C (n = 10) (P = 0.04) and no significant difference between conditions A and B (n = 8) (P = 0.75). Condition D (n = 11) was four-fold higher than condition B (P < 0.001) and approximately 40% higher than condition C (P = 0.03). Radiolabel incorporation data are expressed as total c.p.m. minus non-specific c.p.m. ± s.d. from two independent experiments.
ANOVA revealed significant differences among the five conditions, F(4,43) = 10.83, P < 0.001. In composite cultures composed of pCMVβGal-transfected chondrocytes on live disks (condition C), the [3H]thymidine incorporation was 1.9-fold higher (9273 ± 5230 c.p.m., n = 10) than in cultures composed of pCMVβGal-transfected cells on dead disks (4926 ± 1838 c.p.m., n = 9) (condition A; P = 0.04). In composite cultures composed of pCMVhIGF-I-transfected chondrocytes on live disks (condition D), [3H]thymidine incorporation was 3.9-fold higher (15425 ± 5231 c.p.m., n = 11) than in condition B (3923 ± 1879 c.p.m., n = 8) (P < 0.001) and 1.7-fold higher than in condition C (9273 ± 5230 c.p.m., n = 10) (P = 0.03). In composite cultures with pCMVβGal-transfected chondrocytes (condition C), 53% of the [3H]thymidine incorporation occurred in the transplanted chondrocytes forming the new tissue and 47% in the underlying host cartilage disk. In composite cultures composed of pCMVhIGF-I-transfected chondrocytes (condition D), 25% of the [3H]thymidine was incorporated in the transplanted cells and 75% in the host cartilage disk. When pCMVβGal-transfected chondrocytes were transplanted on to live disks and continuously exposed to 20 ng/ml exogenous rhIGF-I (condition E), [3H]thymidine incorporation was 4.0-fold higher (19913 ± 11482 c.p.m., n = 10) than control cultures (condition A, 4926 ± 1838 c.p.m.) and was 2.2-fold greater than that of composite cultures with transplanted pCMVβGal-transfected chondrocytes (condition C; 9273 ± 5230 c.p.m.).
Discussion
Articular cartilage lost due to trauma or osteoarthritis does not heal of its own accord and remains an unresolved problem in joint disease.18 One of the major problems in promoting the repair of damaged articular cartilage is the difficult accessibility of the cartilage to therapeutic agents and the lack of chondrocytes that might respond to a repair stimulus. We tested the hypothesis that the overexpression of human IGF-I by transplantable chondrocytes augments the chondrogenic activity of these cells in an ex vivo model of chondrocyte transplantation. The data indicate that chondrocytes transfected by a lipid-based method with a human IGF-I expression plasmid vector secrete relevant amounts of biologically active recombinant IGF-I protein. The data further demonstrate that overexpression of human IGF-I increased cell proliferation, matrix synthesis and new tissue formation by these chondrocytes when transplanted on to the surface of articular cartilage explants. In addition, the data indicate that overexpression of human IGF-I by transplanted chondrocytes augmented the cellular activity of the chondrocytes residing within the host explant cartilage.
Lipid-based gene transfer methods have been shown to efficiently transfect articular chondrocytes with the reporter gene lacZ.13 Growth factor production by chondrocytes genetically modified by nonviral methods has not, to our knowledge, been previously reported. The mean IGF-I production rate by the articular chondrocytes used in these studies was 83 ng/107 cells/24 h. This is comparable to the 92 ng IGF-I/107 cells/24 h reported for a transfected bovine mammary epithelial cell line selected for cells carrying the transgene,19 but less than the 560 ng IGF-I/107 cells/24 h produced by keratinocytes following retroviral gene transfer and selection.20 These differences may reflect different synthetic activities of the respective cell types, differences in the human IGF-I expression construct or the selection of modified cells.
The role of IGF-I in articular chondrocyte growth and matrix synthesis has been investigated in several studies2,14 and illustrated in the enhanced repair of articular cartilage defects by the application of fibrin composites containing insulin-like growth factor-I protein.5 In the present studies, articular chondrocyte transfection with a human IGF-I expression plasmid vector stimulated the biosynthetic activity of chondrocytes as measured by enhanced [3H]thymidine and [35S]sulfate incorporation, indices of DNA and glycosaminoglycan synthesis, respectively. However, such measurements of biosynthetic activity may overestimate the value of these growth factor actions because some of the newly synthesized glycosaminoglycans may not be incorporated into functional matrix.14,21 Furthermore, increases in DNA synthesis may overestimate increases in cell numbers in short-term experiments. In the present studies, transfection of articular chondrocytes with a human IGF-I expression plasmid vector increased structural parameters of chondrogenic activity, including the formation of new tissue matrix, and increased the number of cells within the new tissue. This indicates that the newly synthesized glycosaminoglycans are, at least in part, incorporated into the new tissue structure, rather than simply being secreted into the culture medium, and that DNA synthesis reflects cell proliferation.
Although the augmentation by pCMVhIGF-I of the new tissue thickness (77%) was greater than that of new tissue cell number (39%), the cell-to-matrix ratio was not statistically different between these two groups (P = 0.96). This suggests that, during this phase of chondrogenesis, the overexpression of human IGF-I increases cell proliferation, but does not significantly increase synthesis per cell of matrix that is retained in the new tissue.
The new tissue formed by IGF-I-overexpressing cells was characterized as cartilage by the morphology of the chondrocytes and the composition of the matrix, including the presence of proteoglycan and type II collagen, and the absence of type I collagen. This is consistent with the short-term (4–5 day) period of monolayer culture13 followed by three-dimensional culture in the composite model, conditions that avoid chondrocyte phenotypic drift.22 Of interest was the observation that the new tissue formed by the transplanted chondrocytes was intimately integrated with the host explant articular cartilage surface. Before chondrocyte transplantation, proteoglycans at the explant surfaces were partially removed by treatment with chondroitin ABC lyase to promote cell attachment.23 It is possible that this ‘damage’ to the articular surface due to exposure to degradative enzymes may have facilitated the formation of the interface between the new and old tissue.
The analysis of the two components (transplanted chondrocytes and host explant chondrocytes) of the composite cultures with respect to radiolabel incorporation indicates that IGF-I synthesized by the transplanted chondrocytes affected the mitotic activity of both the new tissue and the underlying explant cartilage. In composite cultures with transplanted pCMVhIGF-I-transfected chondrocytes, the increase in [3H]thymidine occurred principally in the underlying host cartilage. In contrast, in composite cultures with pCMVβGal-transfected chondrocytes, [3H]thymidine incorporation was approximately evenly distributed between transplanted and host chondrocytes.
Interestingly, when pCMVhIGF-I-transfected chondrocytes were transplanted on to dead disks (Figure 3, condition B), incorporation of [3H]thymidine was not significantly different than that by transplanted pCMVβGal-transfected chondrocytes on to dead disks (Figure 3, condition A). The mechanisms underlying these observations are unknown, but suggest that the condition of the host cartilage may influence the biosynthetic function of the transplanted cells.
The transplantation of chondrocytes transduced with an interleukin-1 receptor antagonist gene has been reported to protect cartilage from interleukin-1-induced extracellular matrix degeneration.10 Our data support the concept that transplanted chondrocytes transfected with a growth factor gene are able to stimulate the biosynthetic activity of the host cartilage.
This technology has potential applications for promoting the repair of articular cartilage defects sustained as a result of trauma or osteoarthritis. In such an application, transfected transplanted chondrocytes could serve the dual role of providing a repair stimulus to the host tissue and an appropriate target cell population capable of chondrogenesis. Further studies will be required to determine the effect of chondrocytes overexpressing human IGF-I on articular cartilage in vivo.
Materials and methods
Expression constructs
The human IGF-I cDNA24 from the pBShIGF-I plasmid containing the entire coding region was inserted as a 760 bp PstI fragment into pcDNA3.1/Zeo(+) (Invitrogen, Carlsbad, CA, USA) containing the human cytomegalovirus immediate–early (CMV-IE) promoter/enhancer and the bovine growth hormone polyadenylation signal. The expression vector was designated pCMVhIGF-I. The plasmid pCMVSportβGal (Gibco Life Technologies, Grand Island, NY, USA) containing the Escherichia coli (E. coli) β-galactosidase (lacZ) gene under the control of the CMV–IE promoter/enhancer was employed (termed pCMVβGal). Plasmids were subjected to endotoxin-free maxipreparation (Qiagen, Hilden, Germany).
Cell culture and transfection
Bovine articular chondrocytes were isolated as previously described.1 Briefly, articular cartilage was obtained from radiocarpal joints of 1- to 2-week-old calves. Underlying vascularized cartilage was excluded. Cartilage was incubated in DMEM with 50 μg/ml ascorbic acid, 100 U/ml penicillin G and 100 μl/ml streptomycin (basal medium; all GIBCO Life Technologies) containing 0.09% collagenase (Worthington, Lakewood, NJ, USA) at 37°C in a humidified atmosphere with 10% CO2 for 16 h. Isolated cells were placed in monolayer culture in basal medium containing 10% FBS (growth medium). Transfections were performed as previously described.13 Briefly, 29 μg plasmid DNA were complexed with 87 μl FuGENE 6 (Roche, Indianapolis, IN, USA) in Opti-MEM (GIBCO Life Technologies) and transferred to subconfluent chondrocyte monolayers. Cells were treated with 4 U/ml bovine testicular hyaluronidase (Sigma, St Louis, MO, USA) 12 h before and during transfection.
RNA isolation and Northern analysis
Total cellular RNA was extracted 8 days after transfection (RNeasy; Qiagen), fractionated on 1% agarose gels and transferred to nylon membranes (BioRad, Hercules, CA, USA). After cross-linking of the membranes and prehybridization, RNA was hybridized for 16 h at 42°C to a human IGF-I or a bovine GAPDH cDNA probe labeled with [32P] dCTP using a random primer labeling kit (Stratagene, La Jolla, CA, USA). The final stringency of wash was 0.5 × SSPE, 0.5% SDS at 65°C.
Cartilage explant culture and cell transplantation
Articular cartilage explant cultures were prepared from the radiocarpal joints of 1- to 2-week-old calves as 6.2 mm diameter cartilage disks and individually incubated in 96-well plates containing basal medium with 2% FBS. Transplantation of chondrocytes on to the cartilage disks (0.8 × 106 cells/disk) pretreated with 1 U/ml chondroitin ABC lyase (ICN, Irvine, CA, USA) in PBS for 1 h at 37°C was performed as previously described.13 The cell/explant composites were cultured for 5 days under the designated conditions. Dead control cartilage disks were prepared by subjecting the tissue to eight freeze (−80°C)–thaw cycles.
IGF-I protein analysis
Bovine articular chondrocytes were transfected with either pCMVβGal or pCMVhIGF-I and cultured in growth medium. Two days later, cell layers were washed twice and the medium was replaced with serum-free MCDB-105 (Sigma). After 48 h, the conditioned medium was removed, centrifuged to remove cell debris and stored at −80°C. To determine IGF-I protein production, conditioned medium was subjected to acid-ethanol extraction of binding proteins and analyzed by radioimmunoassay (Nichols Institute, San Juan Capistrano, CA, USA) with a detection limit of 20 ng/ml.
DNA and proteoglycan synthesis
DNA and proteoglycan synthesis were estimated by measuring the incorporation of [3H]thymidine and [35S]sulfate, respectively.17 For analysis of the effect of conditioned medium from pCMVβGal- or pCMVhIGF-I-transfected chondrocytes, separate monolayer cultures of non-transfected bovine articular chondrocytes in 96-well plates were incubated in 50% conditioned medium (1:1 conditioned medium/MCDB-105) or in graded concentrations of recombinant human IGF-I (rhIGF-I; Peprotech, Rocky Hills, NJ, USA) for 48 h. After 32 h, [3H]thymidine (8 μCi/ml) and [35S]sulfate (25 μCi/ml; NEN, Boston, MA, USA) were added for the final 16 h of incubation. Cells were then washed three times at 4°C with PBS, followed sequentially by 5% trichloroacetic acid and 3:1 (w/w) ethanol/ethylether (each 200 μl). Samples of 200 μl were dissolved in 0.3 N NaOH for 1 h at 60°C, neutralized with 10 μl 6 N HCl, transferred to scintillation vials and counted in 4 ml Cytoscint (ICN) in a beta counter (Packard Instruments, Meridien, CT, USA).
Composite (cell/explant) cultures were treated as above with the modification that following incubation in the presence of [3H]thymidine and [35S]sulfate, cartilage specimens were repeatedly washed in 15 ml PBS at 4°C until no further washout of radiolabel was detectable (4×–6×), lyophilized, weighed and dissolved in 200 μg/ml papain (Sigma) for 24 h at 65°C. Aliquots of 200 μl were counted as described above. In all experiments, dead cartilage disks without transplanted cells served to define nonspecific radiolabel. Radiolabel in composite cultures consisting of dead cartilage disks with transplanted pCMVβGal-transfected chondrocytes was defined as control incorporation by transplanted cells.
Histological and immunohistochemical analyses
Composite cultures of cartilage explants with transplanted transfected or transplanted non-transfected chondrocytes were fixed for 10 min in 10% formalin and stained for 6 h at 37°C for β-galactosidase (In-Situ β-Galactosidase Staining Kit; Stratagene). Paraffin- embedded sections (5 μm) were stained with safranin O to detect proteoglycans. For type-I and type-II collagen immunostaining, sections were deparaffinized in xylene, passed through decreasing concentrations of ethanol, washed in PBS and submerged for 30 min in 0.3% hydrogen peroxide. After washing with PBS, sections were incubated for 30 min in 33 U/ml bovine testicular hyaluronidase (Sigma), washed with PBS and further incubated with 1% bovine serum albumin (blocking buffer). Sections were then incubated with a 1:200 dilution of a monoclonal mouse anti-bovine type-I collagen IgG (Chemicon, Temecula, CA, USA) or a 1:10 dilution of an affinity purified polyclonal goat anti-bovine type-II collagen IgG (Chemicon) in blocking buffer for 48 h at 4°C (type-I collagen) or for 1 h at room temperature (type-II collagen), washed and exposed to a 1:1000 dilution (type-I collagen) or to a 1:500 dilution (type-II collagen) biotin-conjugated secondary IgG (Pierce, Rockford, IL, USA) for 1 h. Sections were washed, incubated for 30 min with avidin-biotin-peroxidase reagent (Vectastain Elite ABC kit; Vector Laboratories, Burlingame, CA, USA), washed and exposed to diaminobenzidine (Vector Laboratories). Control tissues for the primary antibodies included bovine skin and human and bovine articular cartilage. To control for the secondary IgGs, sections were processed as above with omission of the primary antibody. Morphometric measurements of newly formed tissue (thickness, cross-sectional area and cell number) were performed at 10 standardized sites along the explant surface by image analysis using Adobe Photoshop 5.5 (Adobe Systems, Mountain View, CA, USA). Each site along the explant surface was 56 μm long and centered at intervals of 1/10 of the total surface length of the tissue excluding the section edges.
Statistical analysis
Each test condition was performed in quadruplicate for bioassays in two independent experiments, with five to seven samples per condition for DNA and proteoglycan synthesis rates in composite cultures in six to seven independent experiments and with three to five samples per condition for morphometric measurements in three independent experiments. Differences in tissue thickness were compared between treatment and control groups using nested analysis of variance (ANOVA).25 [3H]thymidine and [35S]sulfate measurements conformed to a normal distribution as evaluated by the Kolmogorov– Smirnov goodness-of-fit test. For bioassay experiments, post-hoc comparisons between the 50% conditioned medium from the pCMVβGal control and each treatment condition were performed in addition using Dunnett t tests. For experiments involving the transplantation of transfected cells on to live or dead disks (as shown in Figure 3), the Fisher least significant difference (LSD) method was used to assess differences in [3H]thymidine incorporation in order to account for the multiple comparisons. Statistical analysis was performed using the GLM procedure in the SAS software package (SAS Institute, Cary, NC, USA). Data are expressed as mean ± s.d. All reported P values are two-tailed.
References
Trippel SB, Van Wyk JJ, Foster MB, Svoboda ME . Characterization of a specific somatomedin-c receptor on isolated bovine growth plate chondrocytes Endocrinology 1983 112: 2128–2136
Trippel SB . Growth factor actions on articular cartilage J Rheumatol Suppl 1995 43: 129–132
Trippel SB et al. Effect of somatomedin-C/insulin-like growth factor I and growth hormone on cultured growth plate and articular chondrocytes Pediatr Res 1989 25: 76–82
Rogachefsky RA, Dean DD, Howell DS, Altman RD . Treatment of canine osteoarthritis with insulin-like growth factor-1 (IGF-1) and sodium pentosan polysulfate Osteoarthritis Cartilage 1993 1: 105–114
Nixon AJ, Fortier LA, Williams J, Mohammed H . Enhanced repair of extensive articular defects by insulin-like growth factor-I-laden fibrin composites J Orthop Res 1999 17: 475–487
Roessler BJ et al. Adenoviral-mediated gene transfer to rabbit synovium in vivo J Clin Invest 1993 92: 1085–1092
Yovandich J, O'Malley B, Sikes M, Ledley FD . Gene transfer to synovial cells by intra-articular administration of plasmid DNA Hum Gene Ther 1995 6: 603–610
Ghivizzani SC et al. Direct retrovirus-mediated gene transfer to the synovium of the rabbit knee: implications for arthritis gene therapy Gene Therapy 1997 4: 977–982
Ghivizzani SC et al. Direct adenovirus-mediated gene transfer of interleukin 1 and tumor necrosis factor alpha soluble receptors to rabbit knees with experimental arthritis has local and distal anti-arthritic effects Proc Natl Acad Sci USA 1998 95: 4613–4618
Baragi VM et al. Transplantation of transduced chondrocytes protects articular cartilage from interleukin 1-induced extracellular matrix degradation J Clin Invest 1995 96: 2454–2460
Kang R et al. Ex vivo gene transfer to chondrocytes in full-thickness articular cartilage defects: a feasibility study Osteoarthritis Cartilage 1997 5: 139–143
Doherty PJ et al. Resurfacing of articular cartilage explants with genetically-modified human chondrocytes in vitro Osteoarthritis Cartilage 1998 6: 153–159
Madry H, Trippel SB . Efficient lipid-mediated gene transfer to articular chondrocytes Gene Therapy 2000 7: 286–291
Smith P et al. Genetic enhancement of matrix synthesis by articular chondrocytes J Rheumatol 2000 43: 1156–1164
Honegger A, Humbel RE . Insulin-like growth factors I and II in fetal and adult bovine serum. Purification, primary structures, and immunological cross-reactivities J Biol Chem 1986 261: 569–575
Trippel SB et al. Regulation of growth-plate chondrocytes by insulin-like growth-factor I and basic fibroblast growth factor J Bone Joint Surg Am 1993 75: 177–189
Bonassar LJ, Trippel SB . Interaction of epidermal growth factor and insulin-like growth factor-I in the regulation of growth plate chondrocytes Exp Cell Res 1997 234: 1–6
Buckwalter JA, Mankin HJ . Articular cartilage repair and transplantation Arthritis Rheum 1998 41: 1331–1342
Romagnolo D et al. Overexpression of ovine insulin-like growth factor-I stimulates autonomous autocrine or paracrine growth in bovine mammary-derived epithelial cells Mol Endocrinol 1992 6: 1774–1780
Eming SA et al. Targeted expression of insulin-like growth factor to human keratinocytes: modification of the autocrine control of keratinocyte proliferation J Invest Dermatol 1996 107: 113–120
Matsumura T, Whelan MC, Li XQ, Trippel SB . Regulation by IGF-I and TGF-betal of swarm-rat chondrosarcoma chondrocytes J Orthop Res 2000 18: 351–355
von der Mark K, Gauss V, von der Mark H, Mueller P . Relationship between cell shape and type of collagen synthesis as chondrocytes lose their cartilage phenotype in culture Nature 1977 267: 531–532
Hunziker EB, Rosenberg LC . Repair of partial-thickness defects in articular cartilage: cell recruitment from the synovial membrane J Bone Joint Surg Am 1996 78: 721–733
Jansen M et al. Sequence of cDNA encoding human insulin-like growth factor I precursor Nature 1983 306: 609–611
Sokal RR, Rohlf FJ . Nested analysis of variance Biometry 3rd edn: WH Freeman: New York 1995 pp 272–320
Acknowledgements
Part of this work was presented at the 46th Annual Meeting of the Orthopaedic Research Society in Orlando, FL, 12–15 March 2000. We thank AJ D'Ercole and B Moats-Staats for the human IGF-I cDNA, C Trahan for help with histological processing and M Cucchiarini and L Weissbach for valuable discussions. The work was supported by the German Academy for Natural Scientists Leopoldina (BMBF-LPD 9801–10, HM) and NIH grants AR 31068 and AR 45749 (SBT).
Author information
Affiliations
Rights and permissions
About this article
Cite this article
Madry, H., Zurakowski, D. & Trippel, S. Overexpression of human insulin-like growth factor-I promotes new tissue formation in an ex vivo model of articular chondrocyte transplantation. Gene Ther 8, 1443–1449 (2001). https://doi.org/10.1038/sj.gt.3301535
Received:
Accepted:
Published:
Issue Date:
DOI: https://doi.org/10.1038/sj.gt.3301535
Keywords
- cartilage
- chondrocytes
- IGF-I
- gene transfer
- cell transplantation
Further reading
-
Insulin-like growth factor-1 in articular cartilage repair for osteoarthritis treatment
Arthritis Research & Therapy (2021)
-
Where is human-based cellular pharmaceutical R&D taking us in cartilage regeneration?
3 Biotech (2020)
-
Hyaluronic acid-binding insulin-like growth factor-1: Creation of a gene encoding a bifunctional fusion protein
Molecular Biology Reports (2020)
-
Biomedical-grade, high mannuronic acid content (BioMVM) alginate enhances the proteoglycan production of primary human meniscal fibrochondrocytes in a 3-D microenvironment
Scientific Reports (2016)
-
Tissue-Engineering Strategies to Repair Joint Tissue in Osteoarthritis: Nonviral Gene-Transfer Approaches
Current Rheumatology Reports (2014)


