Abstract
Vpr, the 96 amino acid long protein represents one of the auxiliary proteins of human immunodeficiency virus type-1 (HIV-1), which exhibits the ability to increase the rate of replication of the virus in T cells. Structurally, this protein is composed of several regions such as the acidic domain with alpha helix at the amino terminus, leucine-isoleucine-rich domain (LR) near the carboxyl terminus and an arginine-rich domain at the C-terminus. Here, we evaluated the ability of wild-type and a spectrum of Vpr mutants with altered amino acid residues within the three major domains of Vpr to regulate of transcription of the HIV-1 LTR. Our results revealed that alterations of amino acids within the LR domain at position 73 from arginine to serine, renders Vpr defective in stimulating transcription of the viral pro- moter in human T-lymphocytic and astrocytic cells. Mutations within the N- and C-terminal domains had little or no effect on the transcriptional activity of Vpr. Of interest, ectopic expression of this mutant protein exerts a negative effect on the ability of wild-type Vpr, as well as the viral transactivator, Tat, in augmenting viral gene transcription. Production of the mutant Vpr interferes with the replication of the wild-type and ΔVpr virus in the cells. Accordingly, a Vpr mutant virus containing the transition of arginine to serine at position 73 exhibited an inhibitory effect on the replication of wild-type virus. Our results provide a new avenue for the utilization of the variant of the HIV-1 regulatory protein, Vpr, in suppressing replication of the viral genome in infected cells.
Main
The human immunodeficiency virus type 1 (HIV-1) accessory protein, Vpr, has the ability to modulate transcription of the viral LTR promoter in a variety of eukaryotic cells.1,2,3 This 96 amino acid protein has a unique structure composed of an acidic domain with a putative alpha helix at the N-terminus between residues 16 to 35, a leucine-isoleucine-rich region (LR domain) between amino acids 60 to 81, and an arginine-rich region at the C-terminus.4,5,6,7 Computer-assisted structural analysis of HIV-1 Vpr suggests the presence of two helical domains at positions 17 to 35 and 49 to 74, which partially overlap with the acidic domain and LR domain of this regulatory protein, respectively (Figure 1a). Several studies suggested that, while the helical domain I may serve as a binding site for interaction with other proteins, helical domain II may function as an activator of transcription of responsive viral and cellular promoters.8,9,10 To investigate the importance of these domains in Vpr-mediated regulation of HIV-1 gene transcription, human lymphocytic (Jurkat) and astrocytic (U-87MG) cells were transfected with HIV-1 LTR reporter constructs alone or with expression plasmids that permit production of wild-type and various mutants of Vpr with amino acid substitutions in domains I and II and the C-terminus (Figure 1b). Ectopic expression of wild-type Vpr in both human cell types increased transcriptional activity of the HIV-1 LTR. A mutation in helical domain I at residue 21, which alters glutamic acid to proline, however severely affected the capacity of Vpr to stimulate the basal transcription of the viral promoter. Other alterations in helical domain I, at residues 21/24, 30 and 36, had minimal effect on the ability of this protein to enhance viral gene transcription. The inability of mutant 21 (Glu to Pro) to stimulate viral gene transcription could be due to its instability and its inappropriate subcellular localization which led to cytoplasmic and perinuclear accumulation of the protein.4,11 Evidently, amino acid substitutions at residue 24 can further stabilize mutant 21 and improve its transcriptional activity. Similar to wild-type, mutant proteins with alterations in helical domain II, at positions 52, 59, 67, 71 and 75 were able to stimulate LTR activity in both cell types. The most significant decrease in Vpr activity in both cell types was observed when the Vpr protein had changes at positions 73 (Arg to Ser) and 76 (Cys to Ser).
The effect of Vpr and its mutant variants on HIV-1 transcription. (a) Schematic representation of the HIV-1 Vpr and its mutant derivatives. Positions of the various domains of the protein which include, helical domains I and II, and the LR region are depicted. (b) The location of amino acid residues with alterations in each mutant is shown. The levels of CAT activity from human astrocytic (U-87MG) and lymphocytic (Jurkat) cells transfected with LTR-CAT construct containing the LTR sequence (−490 to +80) plus pCDNA3-Vpr4 are shown on the right. The human astrocytic glial cell line, U-87MG (American Type Culture Collection (ATCC), Rockville, MD, USA), was maintained in Dulbecco’s minimal essential medium (DMEM) supplemented with 10% fetal calf serum (Life Technologies, Gaithersburg, MD, USA) and antibiotics (100 units/ml penicillin, 50 μg/ml streptomycin-G). The human lymphoid cell lines, Jurkat and CEMX174, were maintained in RPMI 1640 supplemented with 10% fetal calf serum. Cells (5 × 105) were cultured on 60-mm plates and grown overnight, transfected by the calcium phosphate precipitation procedure (U-87MG)15 or by electroporation method (Jurkat) using a BioRad GenePulser. U-87MG cells were transfected with 500 ng of the reporter plasmid alone or co-transfected with 5 μg of the expression vector. Experiments were designed to be promoter-controlled with pCDNA3 vector. The precipitate was removed after 6 h and fresh medium was added to the cells. Each transfection was performed in duplicate and repeated a minimum of four separate times with at least three different plasmid preparations. Jurkat cells were transfected with 500 ng of the reporter plasmid or co-transfected with the reporter construct and 10 μg of the expression vector by electroporation according to the manufacturer’s instructions (Life Technologies). Cell extracts were prepared 48 h after transfection and CAT assays were performed as described previously.16 Numbers represent mean fold activation of the viral LTR promoter construct by wild-type or mutant variants of Vpr during multiple experiments with different DNA preparations.
The mutant Vpr with alterations at residue 76 (Cys to Arg) showed more efficient transcriptional activation of the HIV-1 LTR in Jurkat cells relative to that observed in U-87MG cells. A mutation at this residue, which substitutes proline for cysteine had an insignificant effect on the transactivation of the LTR by this protein. Mutations within the C-terminus at positions 87 (Arg to Ser) and 95 (Cys to Ala) caused no drastic effect on the ability of the protein to stimulate transcription of the viral promoter in either cell type. Alterations in residues 73 (Arg to Ser) and 76 (Cys to Ser) occur in the region which has been involved in interaction of Vpr with cellular proteins such as RIP and Sp1,9,10 suggesting that communication of Vpr with other cellular transcription factors may dictate its regulatory activity. Of note, the above amino acid substitutions at the 73 and 76 residues had no effect on subcellular localization of Vpr and significant levels of the mutant Vpr were detected in the nuclei of the cells.7,11
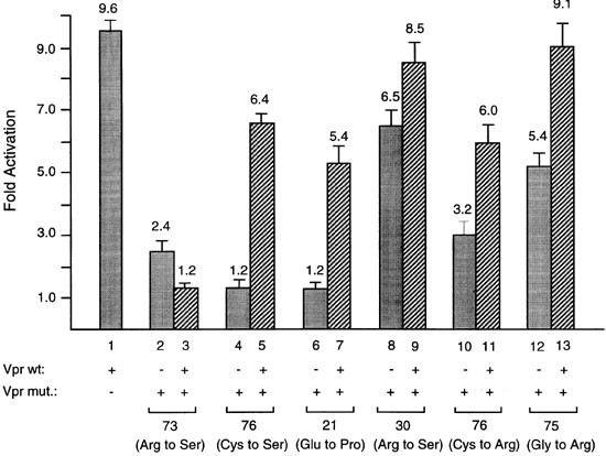
Next, we evaluated the effect of six selected Vpr mutants with different degrees of influence on the ability of wild-type Vpr in inducing HIV-1 gene transcription. Two of these mutants, ie 30 (Ala to Ser) and 75 (Gly to Arg) had a significant effect on LTR transcription while the two mutants 76 (Cys to Arg) and 73 (Arg to Ser) marginally increased transcription from the viral promoter. Mutants 76 (Cys to Ser) and 21 (Glu to Pro) showed no transcriptional activity. As shown in Figure 2, in the absence of the mutant protein, wild-type Vpr stimulated the LTR promoter in the transfected cells (lane 1). In the presence of mutant Vpr with an alteration in residue 73 (Arg to Ser), wild-type Vpr was unable to stimulate transcription of the LTR promoter (lane 3). This effect may not be attributed to the toxic effect of the mutant Vpr protein on the transfected cells since under similar conditions, neither wild-type nor the mutant Vpr had an effect on the level of the control actin promoter activity (data not shown). Other mutants of Vpr showed a much less inhibitory effect on the transcriptional ability of the wild-type protein. These observations suggest that mutant 73 (Arg to Ser), which exhibits low stimulatory activity on the viral promoter, may function as a dominant negative regulator and interface with the Vpr-mediated transcription of the viral promoter in the cells. It is important to note that while previous studies revealed a good correlation between transcriptional activity of wild-type Vpr and its ability to control G2/M transition,12 mutant 73 (Arg to Ser) exhibited no regulatory effect on the G2 phase of the cell cycle. Whether or not mutant 73 (Arg to Ser) can influence the other biological activity of wild-type Vpr including G2/M cell cycle arrest remains elusive at present.
The effect of mutant Vpr on transcriptional activation of the LTR by wild-type Vpr. U-87MG cells were transfected with 500 ng of HIV-1-LTR reporter construct alone or in combination with 5 μg of wild-type and 5 μg of mutant Vpr. The total amount of the DNA in each transfection was kept constant by the addition of vector DNA. Bars represent the mean of several independent experiments.
Another viral regulatory protein, Tat, has been shown to play a critical role in stimulating transcription of the viral promoter.13 In the next series of experiments, we examined the effect of wild-type and mutant Vpr on Tat-stimulated transcription of the HIV-1 LTR. As illustrated in Figure 3, wild-type Vpr enhanced the levels of both basal and Tat-induced transcription of the LTR in the transfected cells (compare lane 1 with lane 3 and lane 2 with lane 6). Of interest, the mutant variant of Vpr with low transcription activity, 73 (Arg to Ser), was able to block activation of the LTR by Tat (compare lane 2 with lanes 7 and 8). This effect was specific to this mutant as the other mutant of Vpr with alterations in residue 75 (Gly to Arg) behaved similar to wild-type and further increased the Tat-induced level of viral gene transcription (lane 9). The observed inhibition of Tat activation of the LTR by 73 (Arg to Ser) was dependent on the levels of the mutant protein produced in the cells as shown by the results from dose escalation studies using various amounts of the mutant expression plasmids (data not shown).
The effect of wild-type and mutant Vpr on transcriptional activation of the LTR by Tat. U-87MG cells were transfected with LTR-CAT in the absence or presence of CMV-Tat expression plasmid (0.5 μg) or plasmids (5 μg) expressing wild-type or mutant variants of Vpr as indicated. CAT enzymatic activity was measured after 48 h.
These observations suggest that the suppression of the basal transcription of the LTR by mutant 73 (Arg to Ser) abrogates the responsiveness of the LTR to the viral transactivator, Tat. It is also plausible to speculate that the mutant Vpr is a ‘gain in function’ mutation enabling the inactivation of Tat activity. In support of this notion, our recent results point to the possible interaction of Tat and Vpr. The biological importance of this interaction in the HIV-1 lytic cycle is currently under investigation.
To evaluate further the ability of Vpr mutant 73 (Arg to Ser) in suppressing HIV-1 replication, proviral DNA from mutant HIV-1 which is deleted in the Vpr sequence (pNL4–3ΔVpr) was introduced into CEMX174 lymphocytic cells alone or together with expression plasmids that produce wild-type Vpr or its mutant, 73 (Arg to Ser). To examine in parallel the level of LTR activity in the transfected cells, the reporter construct LTR-CAT plasmid DNA was included in the transfection mixture. At various times after transfection, supernatant from the transfected cells was harvested and the relative levels of viral replication were determined by viral p24 antigen assay. As shown in Figure 4a, wild-type Vpr was able to increase the level of virus replication in the transfected cells at days 3, 5 and 7. Expression of the Vpr mutant 73 (Arg to Ser), on the other hand, significantly decreased the basal and the Vpr-induced levels of virus replication to almost undetectable levels in these cells. These results are supported by the effect of mutant Vpr 73 (Arg to Ser) on the basal and Vpr-stimulated transcriptional activity of the LTR in the transfected cells. As shown in Figure 4b, expression of the 73 (Arg to Ser) in the transfected cells substantially decreased the level of CAT activity in cells transfected with LTR CAT or LTR CAT plus wild-type Vpr. Thus, it is evident that mutant 73 (Arg to Ser) has the ability to decrease HIV-1 gene transcription and the level of viral replication. It should also be noted that this observed level of inhibition was decreased at the later times when the newly replicated virus begins to infect the neighbouring untransfected cells, suggesting that continuous expression of the mutant Vpr is required for suppressing virus replication (Sawaya, unpublished observations). Next, mutant virus containing Arg to Ser alteration in amino acid 73 of Vpr was constructed and the level of its replication was determined by p24 antigen assay. Results revealed a substantial decrease (near 90%) in the level of mutant virus replication in comparison to those from wild-type virus (data not shown), further supporting the above data that Arg residue at position 73 is critical for replication of HIV-1 in cells.
Effect of Vpr and its mutant derivative on HIV-1 replication. (a) Replication of HIV-1 strain pNL4–3ΔVpr was assessed in the CEMX174 cell line. Cells were transfected with 0.5 μg of the proviral plasmid clone pNL4–3ΔVpr plus LTR CAT DNAs alone (——○——) or together with wild-type Vpr (---□---), mutant 73 (Arg to Ser) (——*——), wild-type Vpr plus low (——♦——) and high (——▵——) concentrations of 73 (Arg to Ser). Supernatant was collected at different time-points and analyzed for p24 levels. Standard deviations were computed from triplicate experiments. (b) Transcription of the HIV-1 LTR promoter was determined in the CEMX174 cell line. Cells were transfected with various plasmids as described above and shown at the bottom of the Figure. CAT enzymatic activity was determined at 48 h after transfection and the values representing the mean of three experiments are illustrated by the bars.
In summary, the results described in this report demonstrate that the mutant Vpr, designated 73 (Arg to Ser) inhibits transcription and replication of the HIV-1 genome in the presence of wild-type Vpr and the viral transactivator, Tat. Vpr is a late protein of HIV-1 which is associated with virus particles and has pleiotropic effects on expression of viral, as well as several cellular genes. The Vpr mutant 73 (Arg to Ser), which has a dominant negative characteristic on transcription of the viral promoter, retains its stability and ability to incorporate into virions14 and to localize in the nuclei of the infected cells.12 This novel Vpr mutant may provide an effective strategy for the development of HIV-1 targeted therapeutics.
References
Cohen EA, Dehni G, Sodroski JG, Haseltine WA . Human immunodeficiency virus vpr product is a virion-associated regulatory protein J Virol 1990 64: 3097–3099
Cohen EA et al. Identification of HIV-1 vpr product and function J Acq Immun Def Syn 1990 3: 11–18
Sawaya BE et al. Cooperative actions of HIV-1 Vpr and p53 modulate viral gene transcription J Biol Chem 1998 273: 20052–20057
Mahalingam S et al. Mutagenesis of the putative alpha-helix domain of the Vpr protein of human immunodeficiency virus type-1: effect on stability and virion incorporation Proc Natl Acad Sci USA 1995 92: 3794–3798
Mahalingam S et al. Identification of residues in the N-terminal acidic domain of HIV-1 Vpr essential for virion incorporation Virology 1995 207: 297–302
Mahalingam S, Patel M, Collman RG, Srinivasan A . The carboxy-terminal domain is essential for stability and not for virion incorporation of HIV-1 Vpr into virus particles Virology 1995 214: 647–652
Yao XJ et al. Mutagenic analysis of human immunodeficiency virus type 1 Vpr: role of a predicted N-terminal alpha-helical structure in Vpr nuclear localization and virion incorporation J Virol 1995 69: 7032–7044
Mahalingam S, Srinivasan A . Structure–function studies of HIV-1 Vpr. 1995 Retroviruses Meeting Cold Spring Harbor: New York, 1995, p315, 25–30
Refaeli Y, Levy DN, Weiner DB . The glucocorticoid receptor type II complex is a target of the HIV-1 Vpr gene product Proc Natl Acad Sci USA 1995 92: 3621–3625
Wang L et al. Interaction of virion protein Vpr of human immunodeficiency virus type 1 with cellular transcription factor Sp1 and trans-activation of viral long terminal repeat J Biol Chem 1995 270: 25564–25569
Mahalingam S et al. Nuclear import, virion incorporation and cell cycle arrest/differentiation are mediated by distinct functional domains of human immunodeficiency virus type 1 Vpr J Virol 1997 71: 6339–6347
Felzien LK et al. HIV transcriptional activation by the accessory protein, VPR, is mediated by the p300 co-activator Proc Natl Acad Sci USA 1998 95: 5281–5286
Gaynor RB . Regulation of HIV-1 gene expression by the transactivator protein Tat Curr Top Microbiol Immunol 1995 193: 51–77
Di Marzio P et al. Mutational analysis of cell cycle arrest, nuclear localization and virion packaging of human immunodeficiency virus type 1 Vpr J Virol 1995 69: 7909–7916
Graham FL, van der Eb A . A new technique for the assay of infectivity of human adenovirus 5 DNA Virology 1973 52: 456–457
Gorman CM, Moffat LF, Howard BH . Recombinant genomes which express chloramphenicol acetyl transferase in mammalian cells Mol Cell Biol 1982 2: 1044–1051
Acknowledgements
The authors wish to thank Dr John Brady, past and present members of the Center for NeuroVirology and NeuroOncology for their insightful discussion and sharing of ideas. We appreciate the technical assistance of Lyudmilla Denisova in CAT assay and Max Richardson for help with p24 assay. We acknowledge Cynthia Schriver for preparation of this manuscript. This work was made possible by grants awarded by NIH to KK and SA.
Author information
Affiliations
Rights and permissions
About this article
Cite this article
Sawaya, B., Khalili, K., Rappaport, J. et al. Suppression of HIV-1 transcription and replication by a Vpr mutant. Gene Ther 6, 947–950 (1999). https://doi.org/10.1038/sj.gt.3300907
Received:
Accepted:
Published:
Issue Date:
DOI: https://doi.org/10.1038/sj.gt.3300907
Keywords
- HIV-1
- Vpr
- transcription



