Abstract
The chronological history of the important discoveries leading to our present understanding of the essential clinical, biological, biochemical, and molecular features of chronic myelogenous leukemia (CML) are first reviewed, focusing in particular on abnormalities that are responsible for the massive myeloid expansion. CML is an excellent target for the development of selective treatment because of its highly consistent genetic abnormality and qualitatively different fusion gene product, p210bcr-abl. It is likely that the multiple signaling pathways dysregulated by p210bcr-abl are sufficient to explain all the initial manifestations of the chronic phase of the disease, although understanding of the circuitry is still very incomplete. Evidence is presented that the signaling pathways that are constitutively activated in CML stem cells and primitive progenitors cooperate with cytokines to increase the proportion of stem cells that are activated and thereby increase recruitment into the committed progenitor cell pool, and that this increased activation is probably the primary cause of the massive myeloid expansion in CML. The cooperative interactions between Bcr-Abl and cytokine-activated pathways interfere with the synergistic interactions between multiple cytokines that are normally required for the activation of stem cells, while at the same time causing numerous subtle biochemical and functional abnormalities in the later progenitors and precursor cells. The committed CML progenitors have discordant maturation and reduced proliferative capacity compared to normal committed progenitors, and like them, are destined to die after a limited number of divisions. Thus, the primary goal of any curative strategy must be to eliminate all Philadelphia positive (Ph+) primitive cells that are capable of symmetric division and thereby able to expand the Ph+ stem cell pool and recreate the disease. Several highly potent and moderately selective inhibitors of Bcr-Abl kinase have recently been discovered that are capable of killing the majority of actively proliferating early CML progenitors with minimal effects on normal progenitors. However, like their normal counterparts, most of the CML primitive stem cells are quiescent at any given time and are relatively invulnerable to the Bcr-Abl kinase inhibitors as well as other drugs. We propose that survival of dormant Ph+ stem cells may be the most important reason for the inability to cure the disease during initial treatment, while resistance to the inhibitors and other drugs becomes increasingly important later. An outline of a possible curative strategy is presented that attempts to take advantage of the subtle differences in the proliferative behavior of normal and Ph+ stem cells and the newly discovered selective inhibitors of Bcr-Abl.
Introduction
The present treatment of chronic myelogenous leukemia (CML) is unsatisfactory and the majority of patients are still dying of the disease. Various treatment protocols with cytotoxic drugs and interferon have prolonged life by about a year, but more intensive treatment protocols have not resulted in significant further improvement. The only curative treatment is by intensive chemotherapy and/or irradiation followed by rescue with allogeneic bone marrow transplantation. The donor of the marrow is usually an HLA-histocompatible (ie tissue-matched) close relative, but sometimes an unrelated-matched donor. Only a minority of patients with CML have suitable matched donors and are eligible for transplantation; elderly patients, many of whom have other diseases, are unable to tolerate the intensive therapy required to cure the disease.
In this review, we will first review briefly the essential characteristics of the disease, especially what is known about the proliferative abnormalities of the leukemic cells, as a good understanding of the behavioral differences between the leukemic and normal hematopoietic cells is essential to the proper design of effective treatment. We will then propose a possible curative strategy that attempts to take optimal advantage of the highly potent and selective inhibitors of Bcr-Abl that have recently been developed.
History and discovery of Philadelphia chromosome
CML was the first type of leukemia to be described. The original case reports from Edinburgh in 1845 were entitled: ‘Case of hypertrophy of the spleen and liver in which death took place from suppuration of the blood’,1 and ‘Case of disease of the spleen in which death took place in consequence of the presence of purulent matter in the Blood’.2 About the same time in Berlin, Virchow,3,4 then an intern, published his classic papers entitled, ‘Weisses Blut’ and ‘Weisses Blut and Milztumoren’, in which he recognized that the ‘white blood’ and splenic enlargement did not represent a suppurative process, but rather represented a distinct disease entity, thereafter called leukemia. He later distinguished between a predominantly splenic form of leukemia (CML) and one in which lymphadenopathy was more prominent (chronic lymphocytic leukemia, CLL). A decade later, Friedreich5 first described acute leukemia, but it was not until the turn of the century that further conceptual advances and development of new staining techniques permitted a definitive distinction between the acute and chronic forms of myelogenous leukemia6,7 and between the myelogenous leukemias and the lymphocytic leukemias and lymphomas.8,9,10
In the ensuing years, CML was gradually distinguished from myelofibrosis and other myeloproliferative diseases on the basis of differing clinical and pathological features, but the first real clue as to its pathogenesis was the landmark discovery in 1960 of an abnormally small chromosome in the leukemic cells, thereafter designated the Philadelphia (Ph) chromosome.11,12,13,14 It soon became apparent that about 90% of patients who presented with clinical features of CML had the Ph chromosome in most of their bone marrow cells during metaphase, but about 10% with similar clinical manifestations did not; the subsequent literature has customarily referred to Ph+ and Ph− CML. A decade after it was first described, the Ph chromosome was identified as a modified 22 chromosome,15 and a few years later it was shown to not be because of a simple deletion, but rather to translocation of the distal segment of the long arm of chromosome 22 to the distal portion of the long arm of chromosome 9 [t(9;22) (q34; q11)].16 It was generally assumed that the translocation was reciprocal, and this was confirmed a decade later when it was demonstrated that the c-abl oncogene was transposed from its normal position (q34) on chromosome 9 to a breakpoint cluster region (Bcr) on chromosome 22 (q11);17,18,19 the new fusion Bcr-Abl gene transcribes a novel chimeric 8.5 kb mRNA20 which in turn encodes a hybrid 210 kDa phosphoprotein p210bcr-abl.21,22
Some patients with supposedly Ph− CML can be shown by molecular analysis to have a so-called ‘masked’ Ph chromosome; the clinical features and molecular changes of such patients are indistinguishable from those of Ph+ CML patients.23,24,25,26,27,28 Other Ph− patients are simply misdiagnosed and have other myeloproliferative disorders such as chronic myelomonocytic leukemia, refractory anemia with excess blasts, idiopathic myelofibrosis, or essential thrombocythemia. There still remain rare patients who are truly Ph−, but they comprise only a few percent of the total patients initially suspected of having CML; they generally respond less well to treatment, have a shorter survival, a different pattern of tyrosine protein phosphorylation,29 and appear to have a different disease than Ph+ patients. About 5% of Ph+ patients have variant translocations involving other chromosomes, but almost all the variants also result in a fused Bcr-Abl gene, and their clinical cause appears to be the same as those with the standard 9;22 translocation.30,31,33
Clonal origin and malignant progression
The Ph chromosome was the first example of a specific cytogenetic abnormality consistently associated with a human neoplasm, and for more than a decade after it was discovered, it remained the only one. Even its consistency as the causative genetic mutation was initially challenged, partly because of the limited resolution of karyotypic analytical methods then available, partly because mitogen-stimulated lymphocytes usually lack the Ph′ chromosome, and partly because of confusion with other myeloproliferative disorders. However, rather than being unique as many investigators proposed at the time, CML pointed the way to general verification of the somatic mutation theory of cancer, originally proposed by Boveri32 in 1914. Following development of improved cell culture and high-resolution banding methods, numerous additional tumor-specific cytogenetic abnormalities were subsequently described,33,34,35,36,37 and the evidence is of course now compelling that all human cancers result from one or more specific genetic defects. As the studies progressed, it was recognized that some of the chromosomal changes are primary tumor-specific abnormalities that are responsible for the initiation of the tumors, while other, less specific, secondary changes are associated with their malignant progression.
Many primary abnormalities, including t(9;22), predispose to genetic instability and further malignant (ie ‘blastic’) transformation,38,39,40,41,42 and, experimentally, induction of p210bcr-abl expression is also associated with genetic instability, clonal evolution, and phenotypic alterations.43 The leukemic cells in chronic-phase CML have a striking propensity for further transformation. After a variable duration of the chronic phase, averaging about 3–4 years, the disease enters an accelerated or blastic phase. Such malignant progression occurs in about 80% of patients and probably would eventually occur in all of them if they did not die of other complications of the disease or of unrelated causes. No single mutation has been identified that is responsible for disease progression but rather a number of additional genetic events have been implicated, most commonly an additional 22q−, isochromosome 17, +8, +19, +21, −Y or +Y.44,45,46,47 The Ph chromosome is almost always preserved in the blastic phase, and only rare cases of blastic transformation have been reported with loss of the Ph chromosome and/or deletion of Bcr-Abl sequences.48,49,50 Numerous other chromosome changes have been observed during transition from the chronic to the blastic phase, at least some of which have been correlated with the transformed lineage that becomes dominant.40,45,46,49,51,52,53,54,55,56,57,58,59 Inactivating mutations of p53 are found in 25–30% of patients undergoing blastic transformation,60,61 and p53 may also be functionally inactivated by upregulation of MDM2, its negative regulator.62 Less frequently, there is loss of the retinoblastoma gene,63 activation of c-myc or N-ras,60,64,65 or deletion of the p16 tumor suppressor gene.66 Other changes include overexpression of EV11 and generation of other fusion genes resulting from other additional translocations, t(3;21): acute myeloblastic leukamia (AML) 1/MDS1/EV11; t(8;21):AML/erythropoietin (ETO); and t(7;11):NUP98/HOXA9.67,68,69 There appear to be multiple mechanisms whereby Bcr-Abl contributes to induction of DNA damage and impairment of repair.70,71,72 Thus, unlike the highly consistent finding of the p210bcr-abl in the chronic phase of CML, different additional mutations occur as well as other abnormalities caused by Bcr-Abl that are associated with the partial or complete arrest of maturation that is characteristic of the progenitor cells in the accelerated and blastic phases of the disease. The direction of differentiation is variable in the accelerated and blastic phases, and transitional forms may occur between the chronic, accelerated, and blastic phases.73,74,75,76,77,78
In most solid tumors, as well as in some hematopoietic tumors, a cascade of genetic alterations occur as the tumors progress from their earliest benign stages to become highly malignant tumors.33,79,80,81,82,83,84,85 In some cases, the cells may be highly malignant almost at the onset whereas in others the transition may take place gradually over months or years. The secondary genetic changes are often associated with the acquisition of additional properties such as the ability to invade underlying tissues and blood or lymphatic vessels, the capacity to form metastatic foci, and the production of angiogenic molecules to promote neovascularization.81,84,86,87 In contrast, leukemic cells do not necessarily need to acquire such additional properties since they are distributed naturally throughout the entire hematopoietic system and lethality generally results from complications associated with suppression of normal hematopoiesis, rather than from infiltration of vital organs, although the latter can also take place. Thus, especially in the acute leukemias and blastic phase of CML, although additional mutations often occur with disease progression, fewer genetic changes may be necessary for leukemia to exert a lethal effect than in the case of slowly evolving solid tumors.88,89 Rather than merely reflecting the more traditional clonal evolution theory90 with stepwise activation of growth-promoting oncogenes and inactivation of tumor suppressor genes, Weinstein91,92 has recently proposed that at least some of the secondary mutations may instead represent an adaptive response of the tumor cells in order to maintain a homeostatic balance favoring viability and growth.
Based on the occurrence of CML in patients with chromosome mosaicism and in those heterozygous for glucose-6-phosphate dehydrogenase (G6PD), there is good evidence that the leukemic population arises from a single cell because the Ph anomaly has been found to be restricted to just one of their dual cell lines,45,46,59,93,94,95,96,97 and the clonal origin of CML has been amply confirmed using X-chromosome gene probes98,99 and other molecular techniques.19,100,101,102,103 The presence of the Ph chromosome in erythrocyte, granulocyte, monocyte, and megakaryocyte precursors indicates that the original transformation occurred in an ancestral stem cell common to these cell types; it is absent in the majority of mature lymphocytes, although in about 20–25% of patients in chronic phase some of the B cells contain the Ph marker and early B-cell progenitors predominate in about 25% of patients in blastic transformation.73,74,78,104 However, the level of expression of p210bcr-abl in Epstein–Barr virus transformed B-cell lines that retain Bcr-Abl is lower and more variable than in myeloid cell lines derived from patients in blastic phase105 T-lymphocytes have only rarely been found to be Ph+ either during the chronic or blastic phases of the disease,106,107 but bilineal (T lymphoid/myeloid) Ph+ progenitors may be involved in some cases of blastic transformation,108 and quadralineal involvement was reported in one patient with Ph+ ALL.109
It was recently reported that variable proportions of endothelial cells in CML patients contain the Bcr-Abl fusion gene, suggesting that they may be derived from a common hemangioblastic progenitor cell110. However, detection of the Bcr-Abl fusion gene relied entirely on fluorescence in situ hybridization (FISH), and only two patients displayed colocalization signals that were well above the background level of false-positive results.111 Other recent studies have also supported the concept that multipotent stem or progenitor cells exist in the bone marrow, brain, and other organs that exhibit considerable ‘plasticity’,112,113,114 but further work is needed to better define the true nature of these multipotent stem cells and their relation to stem cells that are restricted to hematopoiesis, at least under normal physiological conditions.
Is Bcr-Abl the primary and sole cause of CML?
A critical question is whether the 9;22 translocation is the primary event in the causation of CML, or whether there may have been a pre-existent abnormality in the original clonally transformed (Ph+) stem cell, as well as perhaps in other Ph− stem cells. There are a few case reports in which patients with CML have developed the Ph chromosome later in the course of the disease or in whom the Ph chromosome was initially present but later disappeared,49,50,115,116,117,118,119,120,121 but these reports are infrequent. Fialkow et al96 proposed a multistep pathogenesis model for CML,122 suggesting that at least some of the Phnegative progenitor cells are clonal and represent an earlier stage in the evolution of the Ph+ leukemic clone. The evidence cited was that in a limited number of women with CML who were heterozygous for G6PD, a preponderance of a single enzyme was found in their Ph− B-lymphocytes. However, there are alternative possible explanations for this observation such as pseudoclonality,75,123 and no confirmatory evidence for a pre-existent abnormality has yet been found. Numerous studies have shown that the Ph− progenitors that repopulate the bone marrow after intensive chemotherapy, interferon, or Imatinib Mesylate, are polyclonal,93,94,97,124,125,126,127,128,129,130,131,132 and it has also been shown that Ph− hematopoietic progenitors are polyclonal in long-term culture.133 There are several recent reports that patients in remission after treatment with Gleevec™, and especially after prior treatment with cytarabine or idarubicin, have a significantly increased incidence of clonal cytogenetic abnormalities in Ph− cells.124,134 These observations might indicate there was a pre-existent underlying hematopoietic disorder in some CML patients, but alternatively might suggest that Ph+ targeted treatment with Gleevec™ favored the outgrowth of minor abnormal Ph− clones with cytogenetic lesions caused by Gleevec™ and/or by prior exposure to other cytotoxic drugs.
A related question is whether a second event may be required before the stem cell bearing the Bcr-Abl translocation, presumably acquired by chance, becomes fully activated or escapes from some as yet unidentified negative control mechanism to cause overt disease. Studies on monozygotic twins with concordant leukemia135,136 and retrospective scrutiny of neonatal blood spots of patients with leukemia137,138,139 have shown that common leukemia fusion genes in infants and children with acute leukemia may arise in utero and are present in the blood before and after birth. However, the modest concordance rate in monozygotic twins and the occasional protracted postnatal latency of up to 14 years suggest that additional postnatal exposure and/or second genetic promotional events may sometimes be required for the development of clinically evident leukemia. Using highly sensitive techniques, it was found that cord bloods of healthy newborns contain common leukemia fusion genes at a frequency 100-fold greater than the true incidence of the corresponding leukemia, and, moreover, that the frequency of cells harboring these genes indicates that a substantial clonal expansion of a (preleukemic) progenitor population had taken place.140 These observations reinforce the concepts that a second event may sometimes be required for the development of overt leukemia and that there may be ‘a sustained, benign preleukemic phase in which the proliferation of the clone is more or less balanced by negative control mechanisms such as cell death’ (Greaves, personal communication).
Unexpectedly, using sensitive detection methods, Bcr-Abl-containing cells were found in the blood of 22/73 and 12/16 normal, healthy adults and 1/22 children, but not in 22 samples of cord blood.141,142 It seems most likely that these Bcr-Abl-containing cells are later committed progenitors and precursors whose progeny are destined to die after a limited number of divisions. Whereas this view has been challenged on the basis of numerical and kinetic considerations,143 it still remains quite possible that there are primitive Bcr-Abl-containing progenitors with fairly extensive, but still limited self-renewal capacity, that could continue to produce sufficient Ph+ precursors to be detectable by the methods used for many years, but without ever progressing to cause overt leukemia. The methods used to detect Bcr-Abl in normal blood were not sensitive enough to definitely exclude detection of (highly enriched) rare Ph+ stem cells potentially capable of infinite expansion. Thus, whereas there is still no positive conclusive evidence, the possible requirement for a second event to fully activate stem cells that have perhaps accidentally acquired Bcr-Abl cannot definitely be excluded.
The strongest evidence that the 9;22 translocation may be the primary and sole cause of chronic-phase CML lies in the results of cell transfection experiments using retroviral p210bcr-abl constructs in vitro and in transgenic mice, although it should be noted that overexpression of Bcr-Abl oncoproteins in animal models may not exactly mimic the clinical disease. Various murine models have been used, either introducing Bcr-Abl in the mouse genome, or engrafting human CML or normal stem cells retrovirally transduced with Bcr-Abl in immunodeficient mice. Depending on the model, a variable incidence of some type of acute leukemia or of a CML-like syndrome has been produced in the mice.50,117,144,145,146,147,148,149,150,151,152,153 In some of the mice, secondary chromosomal changes were observed, analogous to progression from chronic to blastic phases in the human disease,154 while in other studies cooperation of Bcr-Abl with other oncogenes was required for the development of acute leukemia.155 Employing tetracycline-regulated expression of Bcr- Abl from a promoter engineered for expression in primitive stem cells, it was shown that Bcr-Abl expression alone is sufficient to increase the number of multipotent and myeloid lineage committed progenitors in a dose-dependent manner while suppressing development of erythroid progenitors, and moreover that these effects are reversible upon extinguishing Bcr-Abl expression.156 Based on the evidence currently available, it seems reasonable to conclude that whether or not some additional promotional event may be necessary for the development of overt leukemia, Bcr-Abl is probably the primary causal event in the chronic phase, and that additional but much less consistent alterations are required for blastic transformation.
Bcr-Abl oncogenes and leukemogenesis
Bcr-Abl is a large, complex fusion oncogene with multiple functional sites that may contribute to the transformed phenotype. Unlike normal c-abl that can shuttle between the nucleus and cytoplasm, p210bcr-abl is localized to the cytoplasm where it is in an excellent position to disrupt multiple membrane and cytosolic signaling pathways. There are several recent comprehensive reviews of the normal c-Abl and the closely related Arg (Abl2) gene,157 Bcr,158,159,160,161,162,163 and the Bcr-Abl tyrosine kinases164,165,166,167,168,169 that describe in considerable detail how altered signaling may be related to the pathogenesis of leukemias as well as of other diseases including Alzheimer's and other neurodegenerative diseases.157,170,171,172,173 The oncogenic Bcr-Abl proteins have been implicated in altering numerous pathways affecting cell proliferation, survival, cell adhesion, migration, stress responses, and DNA repair, but in this review we will focus attention on Bcr-Abl's essential role in disruption of signaling pathways that lead to the massive myeloid expansion that is the hallmark of CML.
c-abl is expressed throughout murine gestation and ubiquitously in adult mouse tissues, with highest levels in thymus, spleen and testes, and is involved in regulating numerous essential cell functions.157,161,174,175 Mice homozygous for mutated c-abl became runted and died within a few weeks after birth, and many had thymic and splenic atrophy and lymphopenia.176
c-abl was first identified as a proto-oncogene in the genome of the Abelson murine leukemia virus, which specifically targets early B cells.177 The v-abl gene is derived by recombination of c-abl with the viral Gag gene that replaces the SH3 domain, a negative regulatory domain, creating a fusion protein with unregulated high kinase activity. The viral Gag sequence also provides a myristoylation signal causing v-abl to localize predominantly at the plasma membrane.178 The protein tyrosine kinase (PTK) activity of c-abl is normally tightly regulated,179 and both the deregulation of kinase activity and abnormal cellular localization of v-abl and Bcr-Abl are important elements governing the transforming potency of these fusion proteins, although other domains of the fusion protein including SH2 and SH3 may also contribute.165,180 The normal p140c-abl protein is localized both to the cytoplasm and the nucleus,181 and c-abl binds specifically to DNA, suggesting that this may be critical to its normal biological function.174,182 In contrast, the chimeric p210bcr-abl and other Abl transforming proteins are only present in the cytoplasm,145,146 and lack the ability to bind DNA.182 McWhirter and Wang183 found that Bcr sequences not only deregulate Abl tyrosine kinase, but also activate an actin filament-binding function associated with c-abl. Based on observations in fibroblasts, they proposed that the normal function of Bcr is related to maintenance of the cytoskeleton, and that the chimerization of Bcr and Abl permits Abl to bind to actin microfilaments. Other studies have also shown that a-ab1 is important in cytoskeletal regulation and maintenance.171,180,184,185 Since actin fibers are vital elements involved in maintaining cell shape and in regulating many cellular functions and interactions, dysregulation of actin could have a critical role in altering cell growth and maturation. The c-abl F-actin binding domain has been mapped and while F-actin-binding has been reported to contribute to the transforming ability of Bcr-Abl,161,183 recent studies suggest that although F-actin localization may have a pivotal role in modulating adhesion, it is dispensable for murine CML development.186
Domain 1 of Bcr consisting of 63 amino acids is a coiled-coil oligomerization domain that forms a homotetramer, and tetramerization of Bcr-Abl through this first Bcr domain was found to be correlated both with activation of tyrosine kinase and with the F-actin-binding function of Abl.162 It has also been reported that Bcr encodes a GAP protein for the ras-related GTP-binding protein p21rac, suggesting that Bcr may be a target for regulation by rac.187 Arlinghaus158 has proposed that Bcr and Abl may interact together with other proteins in normal hematopoietic cells and that when the activated Bcr-Abl protein is inserted in the normal multiprotein complexes it perturbs and uncouples these complexes from ligand-induced activation.159 Bcr can function as an inhibitor of Bcr-Abl providing there is an elevated level of Bcr expression relative to Bcr-Abl.188
The reciprocal Abl-Bcr fusion gene is expressed in about two-thirds of CML patients,164 but although all the junctions in the Bcr-Abl transcripts are in-frame and should allow for functional Abl-Bcr fusion proteins to be translated, their presence could not be detected in cells from CML patients.189
Numerous interactions of c-abl and Bcr-Abl with other kinases have been reported. In one study, it was shown that a membrane pool of c-abl in fibroblasts can be activated both by PDGF and EGF, that cells expressing oncogenic Src proteins increased c-abl kinase activity 10- to 20-fold, and that Src and fyn kinases directly phosphorylate c-abl in vitro.190 In another study both Bcr-Abl and v-src oncoproteins were found to support normal erythroid development in fetal liver erythroid progenitors from EpoR−/− mice; these embryos die around 13–15 days of embryogenesis as a result of severe anemia attributable to absence of red cell maturation.191 It thus appears that c-abl may serve as a downstream target for both activated receptor tyrosine kinases and Src kinases, and moreover that terminal differentiation in at least the erythroid lineage may not require a signal unique to a specific cytokine receptor, but may respond to a generic signal by other activated PTKs such as Bcr-Abl.
The Abl sequences of the Bcr-Abl genes are unchanged except for loss of the first exon, and this loss alone does not endow c-abl with the ability to transform cells.192,193 Bcr first-exon sequences potentiate tyrosine kinase activation and transforming ability when fused to c-abl, presumably by interfering with negative regulation of abl-encoded tyrosine kinase.183,194 It was recently reported that the Nterminal ‘cap’ and myristoyl group of Abl have autoinhibitory activity in the intact molecule;195 since the cap myristoyl group are absent in all Bcr-Abl oncogenes, their loss may contribute to the deregulation of Bcr-Abl and the increased kinase activity of the fusion protein. Bcr has been reported to have a novel type of kinase activity which is confined to a segment encoded by the first exon.160,196 The Abl-binding domain is localized in the first exon of Bcr, and Bcr sequences bind specifically to the Src homology region 2 (SH2) regulatory domain of Abl in a nonphosphotyrosine-dependent manner. The protein fragments fold back on each other to form a second link at the SH2 regions, and this binding appears to be essential for Bcr-Abl-mediated transformation.163 Bap-1, a member of the 14-3-3 family of proteins, interacts with c-bcr and Bcr-Abl and may function in the regulation of c-bcr and contribute to Bcr-Abl's transforming activity.197
In the t(9,22) translocation, the c-abl oncogene is transposed from its normal position on chromosome 9 (q34) to a 5.8 kb major Bcr (M-bcr) on chromosome 22q11, forming a fusion Bcr-Abl gene.17,18,19,20,198 Although the precise point of breakage within Bcr in CML patients may vary and atypical Bcr-Abl transcripts have been noted,33,164 the majority of breakpoints in the M-bcr region occur between exons b2 and b3 or between b3 and b4 so that the chimeric Bcr-Abl gene may or may not include Bcr exon b3. About 10% of patients have dual expression of b2a2 and b3a2 transcripts and rare patients have been reported with b2/a3 or b3/a3 transcripts.199 There have been numerous attempts to correlate the exact site of the Mbcr breakpoint with prognosis and the duration of the chronic phase, but the results have been conflicting and overall no clear cut or consistent difference in survival has been observed.25,200,201,202,203
Human leukemias caused by Bcr-Abl oncogenes
Since the tyrosine kinase activity of the Abelson murine leukemia virus product, p160v-abl, was known to be necessary for cellular transformation,177 it was proposed soon after its discovery that the constitutive tyrosine kinase activity of p210bcr-abl may have a crucial role in the pathogenesis of CML,22,204,205,206 and there is now abundant evidence confirming the pivotal role of tyrosine phosphorylation in leukemogenesis.145,146,147,149,153,156,159,160,196,207
The breakpoints for the related Bcr-Abl gene encoding the p190bcr-abl protein (also referred to as p185bcr-abl), found in Ph+ acute leukemias are located in a 20 kb region (known as minor bcr) at the 3′ end of the first Bcr intron so that the first exon of the Bcr gene (e1) is joined directly to the second Abl exon, resulting in an e1a2 fusion in p190bcr-abl.208,209,210,211 The p210bcr-abl protein contains either 902 or 927 Bcr amino acids depending on the breakpoint in M-bcr (including sequences from the first 11 or 12 exons of Bcr), whereas the p190bcr-abl protein contains only 426 or 436 Bcr amino acids.162,192,211,212 The p190bcr-abl protein has about five-fold higher tyrosine kinase activity than p210bcr-abl,149 and this correlates with the former's much more frequent association with an acute rather than a chronic form of leukemia,23,201,213 and with its greater transforming potency both in in vitro149,214,215,216 and in animal experimental systems.144,145,146,147,148,217,218,219 Several of the Abl transforming proteins (p210bcr-abl, p185/p190bcr-abl, and murine p160gag-abl) have different substrate specificities than normal p140c-abl, and, moreover, certain low molecular weight tyrosine kinase inhibitors have different inhibitory activities for the normal and transforming Abl proteins.220
Chronic neutrophilic leukemia is a rare myeloproliferative disorder first described over 80 years ago221 characterized by a moderate nonprogressive neutrophilic leukocytosis with infrequent circulating immature myeloid cells, an excess of mature myeloid cells in the marrow, a normal or elevated neutrophile alkaline phosphatase (NAP) score, absent or minimal splenomegaly, and absence of any underlying infection or other condition capable of provoking a leukemoid reaction.222 CML-N has a more indolent course than classical CML, and blastic transformation usually occurs much later or not at all. At least six patients with CML-N have been reported who had a t(9,22) chromosome translocation and a rare Bcr-Abl rearrangement with a 3′ Bcr breakpoint between exons e19 and e20. This breakpoint, named μ-bcr, is located distally to the M breakpoint of classical CML, and encodes a 230 kDa fusion protein that has an additional 180 amino acids compared to p210bcr-abl.212,223,224
Thus three major forms of Bcr-Abl fusion proteins are now recognized, and it appears that the inclusion or exclusion of Bcr exons is largely responsible for determining the disease phenotypes caused by these proteins.148,202,212 The smallest protein, p190bcr-abl (m-bcr breakpoint), predominantly causes acute lymphoblastic leukemia (ALL) and is only rarely associated with CML, AML or other diseases such as multiple myeloma or B-cell lymphomas. It has been suggested that the lack of Bcr domains encoded by sequences downstream of Bcr exon e1 may be irrelevant to the mechanism by which signal transduction is deregulated by p190bcr-abl in lymphoid precursors, but may be more restrictive or inefficient in CML progenitors.202 p210bcr-abl (M-bcr) is the commonest fusion protein and most frequently causes classical CML but can also be associated with ALL, AML (usually FAB M4 or M5) or rarely other diseases such as essential thrombocythemia. The largest Bcr-Abl fusion protein, p230bcr-abl (μ-bcr), includes over 90% of Bcr amino acids, lacking only the C-terminal two-thirds of the GAPrac domain. It has been proposed that the reason p230bcr-abl causes only a relatively benign myeloproliferative disorder with the affected granulocytes maturing almost normally is because both copies of their Bcr gene encode proteins that have a normal GAP function for rac, a protein that displays relative myeloid specificity.164,225
In a recent study comparing the leukemogenic activity of p190bcr-abl, p210bcr-abl, and p230bcr-abl in vitro and in vivo in mice, p230bcr-abl exhibited the lowest intrinsic tyrosine kinase activity, p210bcr-abl was intermediate, and p190bcr-abl had the highest activity (ie. 3.7-fold, 5.4-fold, and seven-fold increase, respectively, relative to c-abl).148 In this study, the three forms of Bcr-Abl were equally potent in inducing a similar type of a polyclonal CML-like myeloproliferative syndrome in mice when 5-fluorouracil (5FU)-treated donors were used, leading to the authors' contention that the more benign clinical course observed in patients with CML-N might be because of other variables than p230bcr-abl. However, because less than a dozen CML-N patients have been reported and most had a very indolent disease, it may well be that murine transduction/transplantation models in which p230bcr-abl is overexpressed in stem cells or early progenitor cells surviving 5FU do not accurately mimic the clinical disease.155,226 In other studies using primary bone marrow cells as targets, p185/p190bcr-abl was the most potent in inducing lymphoid tumors in SCID mice, while p230-expressing cells differentiated into the myeloid lineage and did not form tumors.227
Protein phosphorylation and regulation of hematopoiesis
The SH3 domain of c-abl suppresses its intrinsic transforming activity while the SH2 domain is required for transformation; point mutations in the Abl SH2 domain have been shown to coordinately impair phosphotyrosine binding and transforming activity.228,229 The tertiary structure of the SH2 domain of c-abl has been determined;230 it is a compact domain with an obvious putative phosphotyrosine-binding site, and while comparison with other SH2 sequences show a common mode of binding, subtle differences in structure allow sufficient latitude to control the specificity of binding of different peptides. A phosphopeptide library has been used to determine the sequence specificity of the peptide-binding sites of SH2 domains.231 SH2 and SH3 domains serve as recognition modules that target proteins to specific sites containing phosphotyrosine residues or Pro-x-x-Pro motifs, respectively.232,233,234,235 Phosphorylation of different tyrosines within tyrosine kinases control kinase activity in opposing ways. For example, phosphorylation of Tyr-527 in the C-terminal tail region of the Src kinases suppresses kinase activity whereas phosphorylation of Tyr-416, which is in the centrally located ‘activation segment,’ releases blockage of the peptidesubstrate- binding site and enhances catalytic activity.236,237,238 The SH2 and SH3 domains of the Src kinases regulate kinase activity at least in part by influencing the rate at which autophosphorylation of Tyr-416 occurs; the control mechanisms are complicated and involve multiple conformational changes in different sites of the proteins.239,240 Similarly, phosphorylation of Tyr-412 of c-Abl is necessary both for its activation and regulation by stabilizing the active conformation.241 The transforming potential of Abl oncoproteins appears to be related not only to increased tyrosine kinase activity but also to localization to the cell membrane where the protein may more readily interact with critical membrane-associated substrates such as growth factor receptors and phosphoinositides.
Phosphorylation and dephosphorylation of regulatory proteins have pivotal roles in signal transduction in eucaryotic organisms. Saccharamyces cerevisiae has 114 conventional protein kinase genes out of 6217 genes (1.8%) but no bona fide PTKs,242,243 while the Caenorhabditis elegans genome encodes 400 protein kinase catalytic domains out of 19 099 genes (2.1%) of which 92 are PTKs (23%).244 Assuming the human genome encodes 80 000 genes, Hunter245 predicted it would encode >1100 protein kinases with ∼150 PTKs; since more recent data suggest there may be less than half this number of genes, the estimate would drop accordingly. He points out that the lack of bona fide PTKs in the yeasts and their presence in one of the simplest multicellular eucaryotes strongly suggest that protein–tyrosine phosphorylation evolved hand in hand with multicellularity in response to a need for intercellular communication, and that in keeping with this idea, the majority of PTKs have a role in transmembrane signaling in response to ligands that bind to surface receptors. Activation of cytokine receptors initiate a cascade of intracellular phosphorylations by tyrosine and serine/threonine kinases, and acting in concert with docking and adapter proteins and transcription factors, their activation ultimately results in a wide range of cellular responses in many types of cells, including hematopoietic cells.245,246,247,248,249,250,251,252,253,254
Protein tyrosine phosphatases (PTPs) interact with the tyrosine kinases in a complex fashion, probably acting in concert to regulate enzymatic activity.245,255 Several phosphatases have been shown to have important roles in regulating hematopoiesis. For example, defective expression of SHP-1 (PTPIC), a negative regulator of growth factor-mediated signaling in hematopoietic cells,256 is common in P. vera and may contribute to the pathogenesis of this disease.257 SHP-1 also modulates other types of hematopoietic cells; SHP-1-deficient (motheaten) mice have a severe myeloproliferative disorder with massive pulmonary infiltration of granulocytes and macrophages.258 p62dok-1 is a GAP-associated protein that is conspicuously constitutively tyrosine phosphorylated in fresh CML progenitor cells and cell lines expressing Bcr-Abl.29,247 It was recently found that p62dok-1 is a major substrate of SHP 1 and that SHP-1-deficient macrophages also manifest constitutive tyrosine phosphorylation of p62dok-1, which is correlated with their growth factor-independent survival.259
Abnormalities of protein phosphorylation and altered signaling in CML cells
While other functional domains of Bcr-Abl undoubtedly contribute to the transformed phenotype of CML cells, it is likely that at least a major component of the proliferative abnormalities are because of Bcr-Abl's constitutively increased kinase activity because specific inhibitors of Bcr-Abl kinase largely reverse the proliferative abnormalities.260,261,262 The signaling pathways are highly complex,245,246,263,264,265 and it has been difficult not only to identify the most important immediate target proteins that are constitutively phosphorylated by p210bcr-abl, but also to unravel the ensuing protein interactions and cascade of pleiotropic signals that are activated. Early studies using antiphosphotyrosine antibodies detected several putative substrates of p210bcr-abl, but these were not well characterized.266,267,268,269 More recently, a large number of proteins have been reported to be tyrosine phosphorylated in cells expressing p210bcr-abl, including p190,270 p160bcr,271 p125FAK,272 p120Cbl,273,274 p95Vav,275 p93Fes,276 p68paxillin and other focal adhesion proteins,185,277 p67Syp,278,279 p52Shc and p46Shc,280,281,282,283 p38Crkl,284,285,286,287 and p30Bap-1,197 and SHIP and SHP-2.288 Most of these studies were conducted in rodent, simian, or human cell lines transfected with Bcr-Abl or in established cell lines derived from CML patients that have multiple other chromosomal abnormalities in addition to t(9,22) (eg K562 and RWLeu4), and their physiological significance with regard to the pathogenesis of chronic-phase CML is uncertain. There have been relatively few studies using primary CML or Ph+ ALL blasts247,252,253,254,270,273,274,276,289,290,291 or CML peripheral blood granulocytes.284,287
Alteration in gene expression has also been studied in various animal and human cell lines expressing Bcr-Abl proteins. A large number of genes, both known (ie MYC, BCL-2, GRAME, integrin α6, Cyclin D2, CSCP, OSMRβ, DD9, Ras, GRAME, KIR, MPPI, BCL-6, R-PTPμ, DDM, DDI, DD221, and DDW) and unknown have been reported to be overexpressed or underexpressed, but the results differ greatly in different cells.292,293,294,295,296 Differences have been noted in the expression of interferon-inducible genes in murine bone marrow cells expressing p185bcr-abl vs p210bcr-abl.297 The Bcr-Abl kinase inhibitor, STI571, has been used to inhibit Bcr-Abl kinase activity: 12 differentially regulated mRNAs were identified (seven corresponding to known and five to unknown genes) that were attributed to Bcr-Abl PTK activity; but, again significant differences were noted among the cell lines examined.294
The control of hematopoiesis and the signaling pathways involved are highly complex, and the information is still far too incomplete to be able to design an accurate, comprehensive and coherent model of all the protein–protein, protein–lipid, and other interactions in normal hematopoiesis or CML. However, there is good evidence that the increased tyrosine kinase activity of p210bcr-abl has an essential role in causing untimely and inappropriate constitutive tyrosine phosphorylation of a number of proteins involved in critical regulatory circuits in CML progenitor cells.247,248,254,289,290,291,298
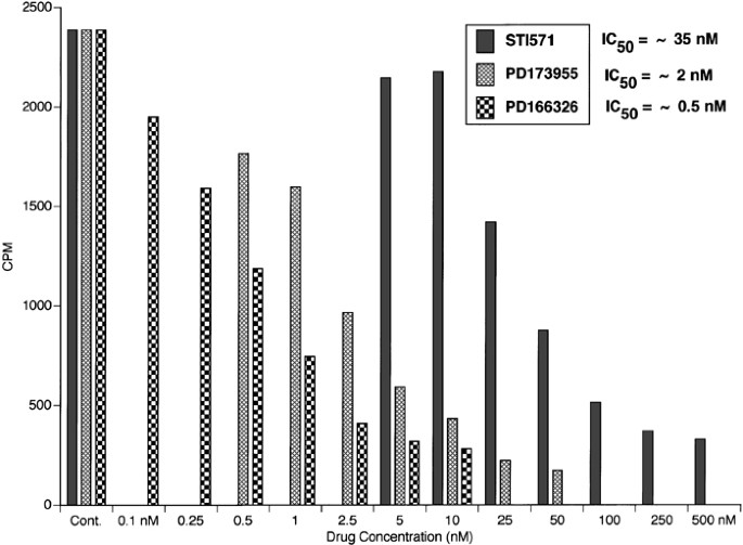
We have demonstrated a highly consistent pattern of proteins constitutively phosphorylated on tyrosine in primary CML progenitor cells that is not readily detected in comparable normal progenitors.29,252,253,254 10 nM PD173955, a potent inhibitor of Bcr-Abl kinase,262 markedly inhibits autophosphorylation of p210bcr-abl as well as globally inhibiting phosphorylation of numerous substrates, including SHIP1, SHIP2, Cbl, and p62dok-1. However, it is still uncertain whether the phosphorylation of these and other proteins is directly or indirectly caused by bcr-abl, and whether the phosphorylation involves pathways leading to increased proliferation, or, more likely, may instead be part of a compensatory or antagonistic response to the primary perturbations caused by p210bcr-abl. Weinstein, in taking note of the often confused, even bizarre, intracellular circuitry of cancer cells, has proposed that the cells may become addicted to the originally mutated oncogene (eg bcr-abl), and, in order to adapt to the signaling distortions caused by this mutation and maintain a homeostatic balance favoring growth and viability, compensate by expressing high levels of other (suppressor) proteins to counteract or buffer the effects of the original mutation.91,92 It is quite possible, indeed probable, that at least some of the proteins constitutively phosphorylated in CML progenitors may represent similar compensatory or negative feedback responses.
In CML, it appears that the stem cells and primitive progenitors are at a particularly susceptible stage of development that renders them especially responsive to constitutive, sustained Bcr-Abl-induced downstream hyperactivation of components of the critical signaling pathways that are ordinarily activated by low-level, transient extracellular stimulation by kit ligand and other cytokines. The affected short-circuited pathways control and coordinate multiple diverse cell processes including proliferation, differentiation, maturation, and programmed cell death, processes that are normally tightly regulated and highly integrated. Perturbation of these key pathways in stem cells and primitive progenitor cells would be expected to seriously disrupt orderly hematopoiesis and could also explain all of the subsequent subtle, pleiotropic biological abnormalities characteristically observed in later maturing cell compartments that have collectively been designated discordant maturation or discordant development.248,299 While it seems reasonable to assume that such a general unifying hypothesis can explain all of the manifestations of the chronic phase of CML, there are still innumerable questions and uncertainties concerning normal signaling networks and the specific aberrations induced by Bcr-Abl. Many laboratories including our own are now engaged in trying to understand the highly complex normal molecular circuitry, the interactions between different signaling pathways, and the specific aberrations caused by Bcr-Abl, and within the next few years a clearer picture should emerge.157,168,247,254,289,290,291,298,300,301,302,303,304
Etiology and clinical and pathological features of CML
There are numerous recent comprehensive reviews of CML, including descriptions of the natural course of the disease, the clinical and laboratory features, and the results of different forms of treatment.305,306,307,308 Here we will just summarize the salient features that are relevant to the predominant myeloid expansion.
CML comprises 15–20% of all leukemias with a constant worldwide incidence of approximately one per 100 000 population. It occurs in all age groups, but the incidence increases with age, peaking in the sixth decade. Only rare instances of familial occurrence of CML have been noted and no common etiologic factor(s) has yet been identified.127 The majority of patients with CML have no history of excessive exposure to ionizing radiation or chemical leukemogens, but the incidence rises progressively with exposure to increasing doses of radiation.309,310,311,312 After acute or subacute exposure to large radiation doses there is a variable latent period of about 4–11 years, after which the incidence of both AML and CML increases in an approximately linear relation to the radiation dose. In survivors of the atomic bomb explosions in Japan, the peak incidence of CML occurred about 10 years after the explosion and was about 50 times that of nonexposed subjects; younger individuals (<15 years of age) developed leukemia earlier than older ones (>30 years). The rate then declined, but still exceeded the national average 15 years later.
At diagnosis, the leukemic population has usually reached several trillion cells and almost completely replaced the normal hematopoietic cells in the bone marrow. Normal stem cells survive, at least during the chronic phase of the disease, but are suppressed by the leukemic cells and thus produce very few normal mature cells.76,127,130,313,314 In the chronic stage of the disease the leukemic cells retain the capacity to differentiate almost normally, and the biochemical and functional defects exhibited by the leukemic cells are not of sufficient severity to prevent them from carrying out their essential functions necessary to support life largely in the absence of normal cells such as transporting oxygen, killing invading microorganisms, and maintaining hemostasis.299,315,316 Symptoms occur when the spleen becomes grossly enlarged, the white blood cells (WBC) becomes sufficiently elevated to cause leukostasis, significant anemia or hyperbasophilia develops, or abnormalities of the platelets result in thrombotic or hemorrhagic complications.
The most consistent clinical laboratory feature is an otherwise unexplained leukocytosis. If the disease is detected early, the WBC may be only minimally elevated, but as the disease progresses, it may rise to 100 × 109/l or even higher than 1000 × 109/l. The marrow is characteristically hypercellular and in the chronic phase the differential counts of both marrow and blood show a spectrum of mature and immature granulocytes similar to those found in normal marrow. In most cases neutrophilic granulocytes predominate, but increased numbers of eosinophils and/or basophils are common, and occasionally monocytosis also occurs. About half of the patients have some degree of thrombocytosis at diagnosis, accompanied by increased numbers of megakaryocytes in the marrow and often with fragments of megakaryocytic nuclei in the blood. There may be no anemia at diagnosis in early-stage disease, but progressively severe anemia is common as the disease advances, usually accompanied by extreme degrees of leukocytosis if uncontrolled by therapy. Unless there are complicating features such as bleeding and development of iron deficiency, the anemia is normochromic and normocytic. Shortened red cell survival may occur in patients with massive splenomegaly and/or hepatomegaly, but autoimmune hemolysis is not seen in uncomplicated CML. Some patients, especially those with enlarged spleens may have circulating nucleated erythrocyte precursors in the blood, but this finding is usually not prominent. The ratio of myeloid/erythroid cells is usually greatly increased from the normal ratio of ∼3:1 in newly diagnosed patients with CML, but may return toward normal after treatment. The percentages of lymphocytes in both marrow and blood are also decreased in comparison to normal subjects, but the absolute lymphocyte count is usually close to normal with normal proportions of B and T cells.
To appreciate the magnitude of the increased cell production in CML, it is worthwhile to consider some basic parameters of hematopoiesis. The bone marrow of a normal 70 kg adult contains approximately 1012 hematopoietic cells of which about one-half are granulocyte precursors, one-third to two-fifths are erythroblasts, and the remainder are other cells including megakaryocytes and lymphocytes.317,318,319,320 The total volume of marrow in a 70 kg adult is about 3700 ml, but only about one-fourth of this marrow space consists of ‘red’ marrow occupied by hematopoietic tissue, mainly located in the central skeleton, while the other three-fourths is composed of yellow, fatty marrow. Since even the ‘red’ marrow is comprised of one-half to two-thirds adipose tissue, the actual volume of marrow occupied by hematopoietic cells is only about 500–600 ml.
With greatly increased demand as in severe, uncompensated hemolytic anemia, the red marrow may expand enormously, displacing the fatty marrow and filling almost the entire skeletal marrow space; in extreme cases red cell production may be increased to its maximum limit of about 10–12 × normal.321 In advanced, uncontrolled chronic-phase CML, a comparable or even greater expansion of granulopoiesis can occur because extramedullary hematopoiesis is a regular feature of the disease.248,322,323,324 In untreated patients, depending on how advanced the disease is at diagnosis, the cellularity of the marrow is usually increased three to more than five-fold compared to normal, with the cells in the most crowded marrows almost completely replacing the normal fatty component and cramming the available marrow space. Not only is the cell density increased several fold, but hematopoiesis expands into the long bones and other parts of the skeleton normally occupied by fatty marrow as in the hemolytic anemias. In addition, extramedullary hematopoiesis is common and in uncontrolled disease may become extreme with massive enlargement of the spleen and sometimes the liver and other organs. If one considers the total expansion of granulopoiesis involving the skeletal marrow, blood, and extramedullary sites, it should hardly be surprising that a five- to 10-fold expansion of the normal myeloid mass commonly occurs in untreated CML, and an even greater expansion can occur in patients with very advanced disease who have massive splenomegaly and sometimes also extensive involvement of the liver, lymph nodes, and other organs.
The main reason for the huge myeloid expansion is because the leukemic stem cells and progenitor cells continue to proliferate after exceeding the homeostatic cell density limit in the marrow at which normal cells curtail production, but the specific alterations in the regulatory networks that are responsible for this dysregulation are not yet well defined.180,248,325,326 There are several recent reports implicating cell cycle regulatory proteins in CML. Reversible downregulation of p27kip1 expression and upregulation of cyclin D2 expression has been demonstrated in Bcr-Abl-expressing cell lines.300,301,303 The decreased expression of p27kip1 is sometimes accompanied by discordant higher expression of p21cip1, and treatment with STI571 rapidly increased p27kip1 levels.302 Recent work suggests Bcr-Abl causes a shift of nuclear p27 to the cytoplasm where it is targeted for degradation.327 Further work will be required to show how the signaling alterations involving c-kit and other cytokine pathways in CML may be connected with dysregulation of the proteins controlling entry into S phase.254,298 As noted earlier, regulation of normal hematopoiesis is very complex, and while knowledge is increasing as to how cytokines, chemokines, cyclins and cellular interactions function in controlling the growth and differentiation of stem cells and progenitor cells at different stages of development, understanding of how the controls operate and interact is still incomplete.248,328,329,330,331,332,333
Morphologic, biochemical and functional abnormalities of CML cells
Morphologic abnormalities
It is frequently stated that maturation of CML hematopoietic cells is normal, but this statement disregards the careful observations of many previous investigators. Numerous subtle morphological abnormalities have been observed by light microscopy in CML granulocytes, erythrocyte precursors and megakaryocytes. These include hypersegmentation, hyposegmentation, abnormal lobulation and ring-shaped nuclei of the polymorphonuclear leukocytes, Pelger-like leukocytes, binucleate myelocytes, multinuclearity and karyorrhexis of the erythroblasts, and large mononuclear forms, multiple small separated nuclei and microforms of the megakaryocytes.334,335,336,337 The dysplastic changes occur in the chronic phase of CML more frequently than in normal subjects and become more prominent as the disease evolves into an accelerated or blastic phase; in particular, the appearance of hyposegmented neutrophils and micromegakaryocytes appears to herald blastic transformation.336,338 Another abnormality occurring in CML is the presence of both eosinophilic and basophilic granules in the same cell.339,340 Such hybridoid cells with dual granulation were found with varying frequency in all cases of CML examined and occurred in both mature segmented cells and immature nonsegmented cells; these bigranulated cells are not found in normal subjects and are thought to demonstrate lineage infidelity in CML.
Electron microscopic studies have also revealed that maturation is faulty in developing CML cells. Especially significant is the observation that there is asynchrony in maturation of the cytoplasm and the nucleus, with the cytoplasm generally maturing more rapidly.341,342,343,344,345,346,347 CML promyelocytes, myelocytes, and Pelger–Hüet-like granulocytes may show well-developed cytoplasmic organelles and granules, while the nucleus remains immature compared to a normal cell at the same stage of development.335,341,342,346 Similar nuclear/cytoplasmic asynchrony with lagging nuclear maturation is also commonly observed in developing CML megakaryocytes.346,347
Ultrastructural investigation of the stromal component of the marrow microenvironment in chronic-phase CML has shown that the venous sinuses are well preserved, but that the sinus endothelium has significantly more pores than normal with some pores of larger than normal diameter.348,349 A decrease in the percentage of the endothelial cell layer covered by the advential cell layer (advential cell cover rate) was also noted. These changes could facilitate the passage of immature CML cells through the marrow–blood barrier350 that normally prevents immature cells from passing into the circulation, although other factors such as overcrowding, impaired adhesion or faulty interaction with stromal cells undoubtedly also contribute.
Biochemical and functional abnormalities
Numerous biochemical and functional abnormalities have been reported in CML granulocytes, at least most of which appear to be mutually linked.299,315,316 The abnormalities are usually quantitative rather than qualitative and represent mean values of the total mature granulocyte population. The biochemical abnormalities include low NAP activities,351,352,353,354 subnormal contents of lactoferrin355 and lysozyme,356 hypersialylation of the membrane protein because of increased activity of a specific sialyltransferase,357 reduced total gangliosides and neutral glycosphingolipid content of the cell membrane compared to normal neutrophils,358 and quantitative changes in many of the cellular proteins including granule proteins and plasma membrane protein constituents.359,360,361,362
Functional defects of CML neutrophils include delayed emigration to extravascular sites,353,363,364 impaired phagocytic and bacteriocidal activities,361,365,366,367,368,369,370,371,372,373,374 reduced motility, defective chemotaxis and abnormal electrophoretic mobility,375 impaired internalization of certain proteins such as Concanavalin A,376,377,378 and subnormal adhesiveness to glass, nylon and other surfaces.370,371,379,380 CML progenitors also adhere less well to bone marrow stroma and are less responsive to stromal-derived regulatory signals than normal progenitors,381,382,383 and their decreased adhesion to stromal elements may well contribute to their premature release into the blood stream. It has been proposed that interferon (IFN-α) may overcome the defective adherence of CML progenitors to stromal cells by altering the neuraminic acid composition of the stromal layer384 or perhaps by other mechanisms.385,386 The marrow stroma provides a microenvironment which is clearly essential for maintaining hematopoiesis,387,388,389 but its structure and the factors controlling the production and release of cells and the homing and circulation of stem cells are very complex and are beyond the scope of this review. Shortly after the Ph′ chromosome was first described, it was observed that the stromal cells are not part of the transformed clone,390 and this observation has been repeatedly confirmed. Various abnormalities of stromal elements in CML have been described,391,392,393 but it is not yet clear whether they are merely secondary phenomena associated with the predominant myeloid expansion or how important they are in the overall evolution of the disease. As noted earlier, it was recently reported that variable proportions of endothelial cells in CML patients contain the Bcr-Abl fusion gene, suggesting that hematopoietic stem cells may exhibit ‘plasticity’ and that endothelial cells may be derived from a common hemangioblastic progenitor cell,110 but confirmation of these studies and further work is needed to better define these multipotent stem cells and how they may be related to the stem cells restricted to hematopoiesis.
The biochemical and functional abnormalities of the CML leukocytes described above tend to return towards normal when the disease is brought into hematologic remission by treatment.316 Moreover some of the abnormalities can be modulated in vitro. For example, maturation of CML granulocytes induced by retinoic acid can curtail hypersialylation,394 and the aberrant sialylation of membrane glycoproteins in CML granulocytes appears to be at least partly responsible for their decreased adhesion to nylon wool and decreased binding to the chemotactic peptide, N-formyl-methionyl-leucylphenylalanine (fMLP).357,395 Normal granulocytes show a rapid transient rise in intracellular-free cytosolic calcium [Ca2+] after stimulation with fMLP, whereas untreated chronic-phase CML granulocytes have a decrease in [Ca2+].396 This abnormality is reversible since neuraminidase-treated CML granulocytes or CML granulocytes from patients treated with chemotherapy show an increase in [Ca2+] after fMLP stimulation similar to that seen in normal granulocytes.396 Another example of a reversible defect is the decreased NAP activity. NAP activity is uniformly low in patients with CML at diagnosis, but increases during infections or when the leukocyte count is reduced with chemotherapy.316,353,354 CML granulocytes have been shown to recover NAP activity in vitro by treatment with exogenous granulocyte growth factors (eg rhG-CSF)397 or in the presence of monocytes which produce soluble growth factors.351
Pedersen316 and other investigators132,398 have emphasized that most of the biochemical and functional abnormalities of CML leukocytes, including impaired adhesiveness, extravascular emigration, phagocytic and bacteriocidal activities, NAP activities, hypersialylation, and reduced lactoferrin and lysozyme contents, are mutually linked characteristics related to the degree of neutrophil maturation. For example, band forms have lower NAP activities and are less capable of adhering, emigrating and phagocytizing than segmented forms, marrow segmented cells phagocytize less actively than circulating segmented cells, and the density of sialoproteins decrease and adhesiveness increases as the neutrophil matures.316,375,394,395,396 Thus, even among morphologically indistinguishable normal polymorphonuclear cells, there is heterogeneity in degree of maturation. The asynchronous nuclear/cytoplasmic maturation of CML cells coupled with their premature release from the marrow can result in a proportion of circulating polymorphonuclear cells that appear morphologically mature and to closely resemble normal mature neutrophils but that are not strictly comparable. This can lead to false conclusions by investigators seeking to find differences in survival, apoptosis, or various biochemical or functional parameters between CML and normal cells that are assumed to be comparable, but that actually differ significantly in their state of maturation.248
Proliferative abnormalities in CML responsible for massive myeloid expansion
Most investigators agree that the primary expansion of the CML population in chronic-phase disease begins either at the stem cell level or in a very early progenitor cell compartment, and that once the progenitors become fully committed to maturation, both normal and CML progenitors and their progeny have only limited proliferative potential and are incapable of reproducing the disease.76,248,260,324,381,399,400
Controllable parameters governing blood cell production
Regulation of stem cell activation and symmetric vs asymmetric division
Figure 1 shows the possible controllable parameters that regulate blood cell production. To cause the disease, the initial clonal Bcr-Abl-containing stem cell must at some point become activated, and it and its progeny must thereafter continue to undergo a number of symmetric divisions in order to expand the Ph+ stem cell pool since there is abundant clinical evidence that at the time of diagnosis there are numerous multipotent Ph+ stem cells capable of reproducing the disease. It has proven almost impossible to cure the disease even with very intensive therapy with combinations of cytotoxic drugs that are highly effective in killing all proliferating cells, and, moreover, even after near-complete marrow ablation in bone marrow transplant (BMT) protocols, there is a significant incidence of relapse. On the other hand, repeated exclusive symmetric divisions of stem cells or of early progenitors with restricted lineage commitment but extensive selfrenewal capacity would result in a stem cell leukemia or another type of acute leukemia as in fact occurs in the blastic phase of CML or Ph+ ALL.248 Thus, just as in normal embryonic development or in regenerating normal marrow after partial ablation, the Ph+ stem cells must maintain a balance between symmetric and asymmetric cell divisions in order to cause chronic-phase CML. Normal hematopoietic stem cells presumably reside in specialized cellular niches in the bone marrow where their frequency of symmetric or asymmetric divisions is controlled at least in part by extrinsic stromal cell signals as has been shown so elegantly in the regulation of spermatogenesis in the Drosophila testis.401,402,403 The signaling pathways' regulating stem cell self-renewal or differentiation in the testis are not yet fully understood, but JAK-STAT signaling appears to specify self-renewal401,403 as is also true in embryonic stem cells,404 whereas MAP kinase activation is required for differentiation, although the specific differentiation signal is unknown.

Figure 1
The location and anatomy of the cellular niches regulating hematopoietic stem cell divisions are much less well defined than in the anatomically discrete and circumscribed fly testis, but similar controls must exist to maintain an appropriate balance between self-renewal and differentiation.248,405,406,407 The primitive hematopoietic progenitors appear to be concentrated adjacent to the endosteal surface of the marrow cavity, while the later progenitors move progressively towards the point of release at the central venous sinus as they differentiate and undergo maturation; moreover, the primitive and maturing progenitors in these locations respond preferentially to early- and late-acting growth factors.408 The anatomical details of the spatial distributions of the progenitors and their presumed intimate relations with regulatory stromal cells are still poorly defined, but such an arrangement would seem eminently logical and workable: The stem cell pool at the bone surface could be maintained or replenished as necessary if depleted by self-renewal, while decisions of the committed progenitors to undergo additional division or maturation would be regulated by other sets of cytokines or stromal cell interactions as in Drosophila spermatogenesis.401,403
Ph+ stem cells have presumably at least partially escaped the normal requirement for close association with specialized marrow regulatory stromal cells, probably in part because of defective adhesion, and hence are able to divide outside the niches, not only in other marrow sites but in the spleen and other extramedullary sites where regulation of the proper balance between symmetric and asymmetric division is lacking or defective.
Owing to their rarity and the difficulties in isolating pure stem cells, there is no definitive evidence as to whether the progenitor cell expansion is primarily because of an increased number of divisions of early progenitor cells, to reduced apoptosis, to more frequent activation of stem cells or to a combination of these factors. However, as will be discussed later, instead of an increased number of progenitor cell divisions as we and others formerly proposed,323,409,410 we now favor the view that the primary cause of the myeloid expansion is increased frequency of activation of Ph+ stem cells or primitive progenitor cells, which in the untransformed state would normally remain quiescent for longer periods. It is still unresolved whether the Ph+ stem cells are truly equivalent to normal stem cells or whether Bcr-Abl can endow slightly later, more limited stem cells or primitive progenitors with the capacity for near-infinite expansion. Since the transition of stem cells to primitive multipotent progenitors is undoubtedly a continuum, from a practical therapeutic viewpoint the distinction is largely semantic since all cells capable of reproducing the disease must be eradicated to effect a cure.
Cell cycle and other kinetic parameters
There do not appear to be any important differences in cell cycle or other kinetic parameters between normal and CML cells once they are fully committed to differentiation and maturation except that the maturing cells grow more slowly at high cell densities in the marrow and have reduced rather than greater proliferative potential.248 Although there is considerable variability among patients, cytokinetic measurements performed during the chronic-phase of CML have shown that while the DNA synthesis time of both blood and marrow myelocytes in CML is about the same as that of normal myelocytes,411,412 the earlier leukemic precursors (ie blasts and promyelocytes) have lower mitotic indices, a lower fraction of cells in DNA synthesis, longer generation times, and the mature granulocytes have longer transit times in the blood than do comparable normal cells.322,323,324,411,412,413,414,415,416,417,418,419,420,421,422,423 Stryckmans et al422,424,425 found an inverse relation between the WBC count and the 3H-thymidine labeling index (LI) in chronic-phase CML. When the WBC was elevated, the mean myeloblast LI was about 20%, whereas after treatment when the WBC was lower, the mean myeloblast LI was 46% or in the same range as that in normal subjects. When treatment was discontinued and the disease relapsed, the LI of the CML myeloblasts again decreased. Stryckman et al424,425 also observed that unlike the myeloblasts and CFU-c,419 the LI of CML myelocytes was not influenced by the leukocyte count, and he suggested that both CML and normal myelocytes may no longer be under regulatory control. Our recent observations have lent support to this conclusion, namely that maturing cells are much less responsive to the effects of Bcr-Abl than the earlier progenitors.261 The slower proliferation of the CML intermediate level precursors (ie CFUc, blasts, and promyelocytes, but not myelocytes) are thus closely related to the high cell density in the marrow because the proliferative parameters return to normal when the density is reduced by therapy.323,414,425 The general tendency of Ph+ populations is to undergo progressive expansion, but CML patients often show stabilization of their leukocyte counts and spleen size for many months without treatment, although the levels at which these parameters stabilize may vary considerably among patients. CML cells are thus still subject to feedback regulation, although curtailment of cell production occurs at higher than normal cell densities.76,123,125,248,299,323,324,325,426,427,428,429
Although many immature cells are usually present in the blood they usually must return to the marrow or spleen in order to divide.324,422,424,425 The rates of cell production are similar in the marrow and spleen, and in patients with massive splenic involvement, the majority of circulating immature granulocytes may originate in the spleen.324,430 Leukocyte kinetic studies431,432,433,434,435 have shown that the size of the total blood granulocyte pool in CML patients may be 10–100 times greater than normal; both the circulating granulocyte pool (CGP) and marginated granulocyte pool are grossly expanded.
Cyclic oscillations of blood cells in CML
Blood granulocyte levels have sometimes been observed to undergo cyclical fluctuations in normal individuals,436,437 although most normal people do not have obvious oscillations, probably because of the damping action of granulocyte reserves in the marrow.438 Pronounced cyclic oscillations have been observed following injury to the marrow by cytotoxic drugs,439 in cyclic neutropenia,440 and in idiopathic neutropenia during prolonged treatment with a constant low dose of granulocyte stimulating factor (G-CSF);441 in some patients with cyclic neutropenia, G-CSF may either induce or abolish cycling.442 Cyclic oscillations of the blood granulocytes have also been observed in CML, occurring both spontaneously.440,443,444,445,446,447 and during treatment with hydroxyurea (HU) administered at a constant dose.448 The amplitude and length of the individual cycles in CML are considerably greater than in normal subjects or in patients with cyclic neutropenia.444,445,446,447 The periodic oscillations of the neutrophils in CML, as well as in cyclic neutropenia in both humans and gray collies, are usually accompanied by similar oscillations in the cells of other lineages (ie platelets, reticulocytes, and monocytes). Moreover, the cell density waves also extend back to involve precursor cells in multiple lineages,443,449,450 thus providing additional evidence that the oscillations, both in cyclic neutropenia and in CML, originate in stem cells. The greater amplitude and length of the oscillations in CML could be interpreted to indicate that an increased number of divisions took place between the stem cells and the appearance of nondividing mature cells,76,248,322,323,410 but alternative explanations are possible, such as different timing of the fluctuations because of deranged signaling in the pathways regulating stem cell activation.
Contribution of reduced apoptosis and increased lifespan to myeloid expansion
Using a variety of isotopic labeling procedures, it has been consistently observed that the circulating granulocytes in chronic-phase CML have a markedly slower rate of disappearance from the blood than do normal mature granulocytes.324,431,432,433,434,451,452,453,454 It has often been presumed that this indicates that they have a longer lifespan, but interpretation of the slow granulocyte disappearance rate in CML is confounded by the presence of many circulating immature granulocytes and by the abnormal granulocyte traffic and distribution patterns in CML.324,423,430,451,455,456 By irradiating the immature cells to minimize their contribution, the blood transit time of the CML polymorphonuclear cells was still two to four times longer than normal, and the granulocyte turnover rate was also usually found to be substantially increased in CML (up to 14 × normal).431,433,434 Crosstransfusion experiments also showed that normal mature granulocytes transfused into CML patients disappear normally, and that CML mature granulocytes transfused into cancer patients disappear more slowly than normal. The explanation for these observations may be at least partly because of the fact that many CML circulating granulocytes are not fully mature.
Once fully committed to differentiation, all hematopoietic cells have finite lifespans and normally undergo programmed cell death at prescribed times depending on the lineage and environmental factors.457,458,459,460 There are numerous reports demonstrating that apoptosis is inhibited under a variety of conditions in cell lines expressing p210bcrabl,461,462,463,464,465,466,467,468,469,470,471 in v-abl-transfected cells with activated tyrosine kinase activity,472 as well as in progenitors and granulocytes obtained directly from CML patients.473,474,475,476,477,478,479 In several studies antisense Bcr-Abl oligonucleotides were shown to be capable of reversing the suppression of apoptosis and enhancing survival,467,471,473 while others477,478 have suggested that the therapeutic effects of IFN may at least in part be because of amplification of Fas receptor (Fas-R; CD95; Apo-1)-mediated induction of apoptosis in CML cells. Still other studies have suggested that the antiapoptotic effect of Bcr-Abl may contribute to the resistance of Bcr-Abl-expressing cells to various other chemotherapeutic agents used in the treatment of CML and other leukemias, including Ara-C, etoposide, and STI571.467,476,480,481,482
Conflicting results have been reported with regard to the susceptibility of CML cell lines and primary progenitors compared to normal progenitors to apoptosis induced by irradiation or serum deprivation.473,483,484,485 Bedi et al473 suggested that the decreased rate of programmed cell death may be the primary mechanism responsible for expansion of the leukemic clone in CML, but this claim has not been generally accepted, and the effects of Abl and Bcr-Abl in promoting or inhibiting apoptosis appear to be quite complicated.156,248,474,476,486,487,488 Roger et al486 found that Bcr-Abl failed to prevent apoptotic death induced by natural killer or lymphokineactivated killer cells, and Amos et al484 found that the survival of normal and CML myeloid progenitors was the same after in vitro incubation in deprived conditions or after treatment with X-irradiation or glucocorticoids, and also that the survival of mature cells in colonies produced by CML and normal CFUGM progenitors did not differ. Some investigators474 found no change in the susceptibility of either Bcr-Abl-containing cell lines or CD34+ cells from CML patients to Fas-R-mediated cell death after exposure to STI571, while others have reported that STI571 inhibits activation of STAT5, thereby downregulating expression of bcl-XL and inducing an apoptotic response.476 Using concentrations of Bcr-Abl inhibitors similar to those attainable in CML patients, recent studies in our laboratory261 and in other laboratories260,489 suggest that their main effect is to inhibit increased proliferation and that apoptosis only becomes evident at higher concentrations. Wang488 has shown that c-Abl contributes to the activation of apoptosis, whereas Bcr-Abl inhibits apoptosis; however, when Bcr-Abl is entrapped in the nucleus by mutation or treatment with STI571 and leptomycin B, the nuclear Bcr-Abl may activate rather than suppress apoptosis.487
In appraising the often contradictory or conflicting reports concerning the importance of the role of reduced apoptosis in causing the myeloid expansion, it should be kept in mind that cell lines hyperexpressing Bcr-Abl and having many additional genetic abnormalities are often imperfect models for fresh human CML cells. Some, but not all, studies have shown that CML CD34+ cells and granulocytes are more resistant to apoptosis than comparable normal cells, and this conclusion is in keeping with the older cytokinetic measurements conducted in patients and summarized above that showed that at least CML mature neutrophils have a longer lifespan than normal. However, the cell kinetic measurements included incompletely mature neutrophils prematurely released into the blood, so one would expect them to have a longer lifespan than more fully mature normal bands and polymorphonuclear cells. Even if one assumes the CML cells do survive longer than normal, the in vivo cytokinetic labeling studies carried out in patients with CML have concluded that prolonged lifespan alone cannot possibly account for the enormous progressive expansion of the CML population, and that the expansion must therefore be primarily because of greatly increased cell production (reviewed in Clarkson75 and Strife et al490,491). Moreover, because impaired apoptosis alone cannot explain all the other abnormal features that have been observed in CML such as the aberrant lineage distribution, asynchronous maturation of the nucleus and cytoplasm, and such unique dysplastic changes as dual granulation, a more comprehensive, unifying explanation is called for as suggested earlier.132,248,315
CML committed progenitors and precursors have less proliferative potential than normal
It has been shown repeatedly that once they are fully committed, CML progenitors have earlier cytoplasmic maturation than comparable normal progenitors. The manifestations of more rapid maturation include: higher proportions of Type II blasts with nonspecific granules; increased expression of CD33 and more rapid loss of CD34 antigen; higher expression of EPO receptors; and a heightened response to EPO, KL, GM-CSF as single cytokines coupled with a reduced requirement for synergistic activation by multiple cytokines.76,123,125,130,132,261,315,490,491,492 In accord with their more advanced stage of maturation, the ratio of more mature progenitors with limited proliferative potential to primitive progenitors with high proliferative potential is substantially increased in chronic-phase CML compared to normal progenitors; this results in the majority of CML cells being generated by more mature progenitors.76,490,492
To illustrate the magnitude of the differences in the proliferative behavior of normal and CML committed granulocyte progenitors, one representative clinical cytokinetic study will be shown. Table 1 shows the major hematologic parameters in four newly diagnosed, previously untreated, patients with CML in chronic-phase; Patient #1 had the least and Patient #4 the most advanced disease, while the other two patients were intermediate. All marrow metaphases examined were Ph+ and no additional cytogenetic abnormalities were noted. We compared the clonogenic data in these four patients with those of six healthy, normal volunteers who had entirely normal hematologic parameters; the cell counts of the six normal marrows were similar (mean=74 × 109/l), so that the cellularity of the CML marrows ranged from 2.9 × normal in Patient #2 to 5.6 × normal in Patient #4.76,123
Figure 2 shows the 3- and 14-day cloning results in these six normal subjects and four CML patients for the granulocyte/monocyte (GM) progenitors per 106 marrow buffy coat cells. The light density fraction of both normal and CML marrow buffy coats contains essentially all of the progenitors and precursors capable of forming CFU-GM and BFU-E colonies of any size. The CML marrows produced on average 10.3 × more 3-day colonies than the normal marrows per million light density buffy coat cells, but only 2.3 × as many 14-day colonies. If one considers the number of colonies per milliliter of marrow based on the marrow cell counts of the individual CML patients and normal subjects, because of the greater cell densities of the CML marrows the 3- and 14-day CML/normal ratios are 43 × and 10 ×, respectively. Comparison of the sizes of the GM colonies produced by normal and CML progenitors provides additional information on their respective proliferative potentials. Since none of the 3-day GM colonies, either normal or CML, contained more than 20 cells, the mean number of 7- and 14-day colonies were measured according to size. While the CML progenitors produced 5.3 × and 2.3 ×, the total number of GM colonies per 106 buffy coat cells as the normal progenitors at 7 and 14 days respectively, the number of normal and CML colonies containing over 100 cells at both time points were almost identical (not shown).76,123 Assuming that all 14-day colonies arose from 3- day colonies that continued growing, we calculated that 21.4% of the normal 3-day colonies grew to >100 cells at 14 days, whereas only 1.8% of the CML 3-day colonies did so.
Comparison of the number of normal and CML 3- and 4-day GM colonies derived from the total GM progenitors from six normal, healthy donors and four newly diagnosed, untreated CML patients shown in Table 1. (a) Per 106 marrow buffy coat cells and (b) per milliliter of marrow.
The enriched lineage-negative (lin−) blast populations in both normal and CML marrows usually comprise about 0.1–1.0% of the initial marrow buffy coat cells and consist almost entirely of Type I blasts (primitive) plus a few Type II blasts (showing early morphologic evidence of maturation) or very early promyelocytes.76,123,130 Identical cloning experiments using enriched normal and CML primitive progenitors were carried out simultaneously for comparison with those of the total progenitors. We calculated that on an average, the CML marrows contained 1.8 × more Type I blasts and 3.6 × more Type II blasts per 106 buffy coat cells than normal marrow; however, because the CML marrows contained on average 4 × more cells per ml than the normal marrows, the total number of blasts was of course greatly increased even though the percentages of blasts and promyelocytes were similar (ie 1–3%). The mean cloning efficiencies (CE) of the enriched primitive normal and CML GM progenitors were 5.0 and 12.1% (CML/normal=2.4 ×), respectively, compared to mean CEs of 0.526% and 3.99 (CML/normal=7.6 ×), respectively, for the total normal and CML GM progenitors present in the light density fraction of the marrow buffy coat. The higher CEs (2.4 × normal) of the primitive CML progenitors is of course consistent with the view that there is increased activation of the CML stem cells or primitive progenitors compared to normal, while the even higher CEs (7.6 × normal) of the total CML progenitors is consistent with their more rapid maturation.
As in the case of the total progenitors, the maximum CE values for both normal and CML-enriched progenitors occurred at 3 days. On average, the enriched CML progenitors produced 4 × as many 3-day colonies as the normal progenitors (not shown) compared to 10.3 × for total progenitors.76,123 The reason for this difference is that the CML total progenitor population contains many more later committed progenitors and precursors with limited proliferative potential than the normal total progenitor population, and the majority of these late progenitors and precursors are missing in the enriched populations. The average fold increase in 14-day CML/normal colonies was the same (2.3 ×) for the enriched progenitors as for the total progenitors, indicating that, as expected, most of the relatively large 14-day colonies shown in Figure 2 were derived from these same progenitors. The data on the size of 7- and 14-day colonies produced by enriched normal and CML-enriched GM progenitors were similar to that of the total progenitors, again demonstrating that a lower proportion of CML progenitors are capable of producing large colonies compared to normal.
In terms of the total number of cells generated by the normal and CML progenitors, we calculated that high proliferative progenitors (ie arbitrarily defined in this study as those generating >100 cells per colony) comprise 24% of the total normal GM progenitors and these produce 85% of the GM cells in normal marrow.76,248 In contrast, high proliferative progenitors comprise only 2% of the total CML progenitors and these produce only 50% of the CML GM cells. Of the normal enriched progenitor population, 35% is comprised of high proliferative progenitors and these produce 90% of the normal GM cells, whereas only 10% of the enriched CML progenitors are high proliferative progenitors and they produce 68% of the CML cells. Since many more of the CML progenitors and precursors with low proliferative potential have been removed by the cell separation procedures, the differences are less marked when comparing highly enriched normal and CML progenitors than when comparing normal and CML total progenitors. These results emphasize the need to consider the total GM progenitor populations in comparing normal and CML cell production in order to obtain an accurate picture of the cytokinetic abnormalities in CML. Table 1 shows the CML: normal-fold increase in the total number of GM progenitors present per milliliter of marrow in each of the four patients and the total number of cells generated by these progenitors (eg Patients #1 and #2, respectively, required 7 × and 4 × the number of CML GM progenitors to produce even a normal number of cells). If differences in size of the largest colonies are considered, the CML: normal ratios would be even greater since the largest normal CFU-GM contained, on an average, over twice the number of cells as did the CML CFU-GM (see below).
In other experiments, we have used a linear Ficoll gradient, which separates cells mainly on the basis of size as previously described.132,490,491,492,493 to further fractionate the enriched lin− blast populations in order to compare the characteristics and proliferative potential of the most primitive and more mature normal and CML lin− blast subpopulations. The smallest, most primitive blasts are concentrated in the earlier fractions (fractions 8–10, designated F × 8); intermediate blasts are contained in fractions 11–12 (F × 11); and the largest, more mature blasts are concentrated in the later fractions 13–15 (F × 13). The crude cell cycle parameters of the CML and normal total enriched lin− blast populations prior to separation on the gradient were similar (mean % in S+G2/M=21 and 26%, respectively),490,491 and these values are also similar to those found in other experiments with total enriched blast populations. As we have consistently found in previous autoradiographic studies in which blast cell size and 3H-thymidine labeling frequency and intensity were measured simultaneously,494,495,496,497,498 cell cycle analysis of both the normal and CML fractions showed that the percentage of cells in S+G2/M increases with increasing size of blasts as would be expected.499,500 While there were no differences between normal and CML in the percentages of cells in S+G2/M in fractions 11 and 13, two of three normal subjects had no cells in S+G2/M in F × 8, while all three CML patients had 8–19% of S+G2/M cells in this fraction containing the most primitive cells.490 The higher than normal percentage of primitive CML cycling cells is of course consistent with their higher CEs noted above and with our observations that CML CD34+ highly enriched progenitors consistently incorporate over twice as much 3H-thymidine when stimulated in vitro by a variety of cytokines than the same number of normal CD34+ cells under identical conditions (mean of 30 CML CD34+ cells=71 138 CPM vs 14 normal CD34+ cells=29 169 CPM; all adjusted to 4 × 104 cells and 1 μCi of 3H-thymidine per well for 66 h). Other investigators have also found that primitive CML progenitors have a greater proportion of cycling cells compared to normal progenitors.260,325,381,399,400,429,501
PCR analysis was performed on representative individual GM colonies from CML patients to determine how many might be derived from normal progenitors, and consistent with our previous experience,76,502 chimeric Bcr-Abl mRNA was detected in the great majority of colonies derived from CML patients (ie overall 94% of GM colonies were Ph+; only rare Ph− colonies were found in all three fractions).490,491 More recent studies in our laboratory as well as those of other investigators261 employing fluorescent in situ hybridization (FISH) analysis have confirmed that the great majority of colonies derived from both primitive progenitors and later precursors are Bcr-Abl positive.
In examining the cellular composition of the three pooled fractions obtained from linear Ficoll gradients, we found that all of the CML fractions contained higher proportions of more mature Type II blasts. A higher percentage of the total enriched CML blasts was present in the small (primitive) cell F × 8 compared to normal (57 vs 32%), and this fraction contained 24 × more Type II blasts per 106 marrow buffy coat cells than the normal F × 8 subpopulation of primitive progenitors. The percentages of normal and CML F × 8 blasts expressing CD34, CD38, H25/H366, and DR were similar, but consistent with the morphological evidence that they are more mature, higher percentages of the CML blasts in both F × 8 and F × 11 expressed CD33 than the comparable normal blasts (mean values=F × 8 CML 41 vs normal 8%; F × 11 CML 41 vs normal 11%) and the CML blasts also lost expression of CD34 antigen much more rapidly than normal blasts in fractions 11 and 13.490
Differences in the response of normal and CML progenitors to kit ligand and other cytokines
GM progenitors
No consistent differences in expression of c-kit were observed between the small, intermediate and large blast fractions, nor between the normal and CML blasts in any of these fractions; 25% or fewer of the blasts in any of the fractions expressed detectable c-kit.490 Kit ligand (KL) by itself has little effect in stimulating growth of normal GM or erythroid colonies, but acts synergistically with other cytokines.489,503,504,505 KL in combination with G-CSF, GM-CSF or both had the greatest stimulatory effect in increasing both the number and size of colonies derived from normal primitive and intermediate Lin− blasts in F × 8 and F × 11, but less stimulatory effect on the large mature blasts in F × 13; the latter showed some increase in the size but not the number of colonies.
However, in contrast to its major synergistic stimulatory effect on primitive normal GM progenitors, KL had very little effect in enhancing the growth of comparable CML progenitors. The comparative results of normal and CML F × 8 blasts are shown in Figure 3. Generation of the majority of large (>500 cells) GM colonies, both normal and CML, required the presence of both G-CSF+GM-CSF which together had a synergistic effect. However, normal progenitors had a greater requirement than CML for KL plus additional growth factors in order to generate the maximum numbers of these large GM colonies. G-CSF alone was sufficient to initiate proliferation of the maximum total number of small, primitive (F × 8) CML progenitors and a mean of 76% of the maximum number of small blast progenitors capable of generating colonies >100 cells. In contrast, comparable normal small, primitive blasts in F × 8 required multiple growth factors (ie KL+GCSF+GM-CSF) for stimulation of the maximum number and size of colonies. Cell counts on pooled large GM colonies (>500 cells) showed that normal colonies contained a greater number of cells (mean 20 000; range 14 000–30 000) than CML colonies (mean 8 500; range 4 000–14 000).490 In sum, these observations demonstrate that a greater proportion of the CML primitive GM progenitor subpopulation is more mature, has less proliferative potential, and is less dependent on the synergistic interaction of KL with G-CSF and/or GM-CSF than the comparable normal primitive progenitor subpopulation.
Normal and CML Lin− highly enriched blasts were separated on the basis of size on a linear Ficol gradient as previously described.491 The charts show the plating efficiencies and growth of CFU-GM colonies of different sizes at 14 days derived from the smallest, most primitive cells found in fractions 8–10 after stimulation with the cytokines indicated.
Erythrocyte progenitors
Experiments similar to those conducted for GM progenitors were also carried out to compare the proliferative capacities of normal and CML primitive erythrocyte progenitors (BFU-E) using the same enriched progenitor populations.76,123,491 To quantify their proliferative capacities as accurately as practical, the BFU-E colonies were divided into four categories (XL=extra large, L=large, M=medium and S=small). Representative colonies were aspirated and cell counts performed on individual XL BFU-E or pooled BFU-E from each of the smaller categories. The approximate mean numbers of cells per BFU-E in different size categories at 14 days were: XL=105 to >4 × 105, L=5 × 104–105, M=5 × 103–5 × 104, and S=approximately 103–5 × 103. The progenitor populations were grown in 1.3% methyl cellulose instead of the more commonly used 0.8%; under the former conditions the BFU-E remain more compact, thus facilitating sizing of colonies since they only break up into multiple subunits at later culture times.
Like the GM progenitors, the ratio of more mature erythrocyte progenitors with low proliferative potential to primitive progenitors with high proliferative potential is also increased in CML, and, moreover, the mean sizes of the CML BFUE in the different size categories are smaller than normal. However, unlike granulopoiesis, there is no comparable expansion of the erythrocyte population in CML. The normal BFU-E populations were comprised of 21.3% (16–24%) high proliferative BFU-E (XL+L), whereas CML BFU-E populations had only 4.7% (4–5%) high proliferative BFU-E (L only; no XL CML BFU-E were observed) (Figure 4). As a result of this difference, 67% of normal erythroblasts were generated by high proliferative BFU-E (L+XL,) whereas CML high proliferative BFU-E (L only) generated only 17% of CML erythroblasts.491
The distribution of normal and CML early erythrocyte progenitors (BFU-E) contained in highly enriched Lin− blast populations with different proliferative potentials are shown in the left panel, and the percentages of total erythroblasts produced that are generated by these BFU-E of different proliferative potential are shown in the right panel. The approximate mean numbers of cells contained in normal CML BFU-E of different sizes are also shown. The BFU-E were stimulated with IL3+GMCSF+KL+EPO.491
The CML and normal marrows had similar numbers of BFU-E per 106 buffy coat cells (mean values 338 and 282, respectively), but because the majority of CML BFU-E (ie 83%) were only capable of generating small- or medium-sized colonies, they only generated about 1/3 as many erythroblasts as normal. However, because of the increased cell densities in the CML marrows, the numbers of cells generated on the average per ml of normal or CML marrow are almost equal. These findings are consistent with the clinical observation that at the time of diagnosis the majority of CML patients have either normal erythrocyte counts or are only slightly anemic, except for patients presenting with very elevated leukocyte counts and more advanced disease.315
Thus, like CML GM progenitors, the majority of CML erythrocyte progenitors are also more mature and incapable of as extensive proliferation as comparable normal erythrocyte progenitors. This conclusion is in accord with the findings of several other investigators,506,507,508 except for one study using quite different methodology for estimating proliferative potential in which it was reported that CML BFU-E do not have reduced proliferative capacity.509 However, the latter study is not comparable to ours since KL and other purified cytokines were not used to maximally stimulate the normal cells, and one would not expect to find the same difference that we observed with suboptimal stimulation.
The studies summarized above provide evidence that the primary expansion of the granulocytic lineage in CML occurs in a very early progenitor compartment and that the secondary, amplified expansion in the later maturing cells is a direct result of greater input of these primitive cells. In accord with their more advanced state of maturation, the ratio of more mature committed progenitors with limited proliferative potential to earlier committed progenitors with high proliferative potential is substantially increased in chronic-phase CML compared to normal progenitors, resulting in the majority of CML cells being generated by more mature progenitors. Like normal progenitors, primary CML progenitor cells are dependent on hematopoietic cytokines for survival, proliferation, differentiation and maturation, but, as discussed below, there are certain subtle differences in the response of normal and CML progenitors to cytokine stimulation that may be important in understanding their abnormal behavior and may be relevant to the design of treatment protocols.
Interaction of Bcr-Abl and cytokine signaling pathways and differences in response of normal and CML progenitors to Bcr-Abl inhibitors
A number of highly potent inhibitors of Bcr-Abl tyrosine kinase have recently become available.261,262,510,511,512 As will be described later in more detail, PD173955 and PD166326 are pyrido[2,3-d] pyrimidines.513 that are approximately 20- and 100-fold, respectively, more inhibitory to both Bcr-Abl-expressing cell lines and to primary CML progenitors than STI571.261,262,512 The approximate average IC50 values of multiple experiments comparing these three drugs in inhibiting the growth of the R10-negative subclone of M07e/p210bcr-abl,514 are summarized in Figure 5. The pyridopyrimidine compounds are also more inhibitory than STI571 to M07e cells growing in kit ligand, but the ratios of c-kit: Bcr-Abl inhibition are considerably greater.
Approximate mean IC50 values (nM) of multiple experiments comparing three Bcr-Abl kinase inhibitors, STI571, PD173955, and PD166326, in inhibiting cell growth and 3H-thymidine uptake by M07e/p210bcr-abl R10-negative cells514 compared to IC50 values for M07e cells growing in KL. The approximate ratios of M07/KL: R10-negative values are also shown.262
As shown in Figure 6, normal CD34+ GM progenitors can be grown in up to 25 nM of either STI571 or PD173955 with no detectable inhibitory effects.261 In contrast, 25 nM PD173955 had a pronounced inhibition (∼70%) of 3H-TdR uptake in CML CD34+ GM progenitor cells grown in GM-CSF+G-CSF, and even as little as 10 nM of PD173955 caused near maximal selective inhibition of CML GM progenitor cell growth. Cell cycle analysis of CML GM progenitors grown in G-CSF+GM-CSF showed that 10 nM of PD173955 reduced the percentage of cycling cells (ie S/G2/M: control 26% vs PD17 15%) while increasing the percentage of cells in G1 (control 74% vs PD17 85%)261 (not shown). A concentration of ∼250 nM of STI571 is required to cause an equivalent level of inhibition of CML progenitors to that obtained with ∼10 nM of PD173955. PD166326 is about four-fold more inhibitory to Bcr-Abl than PD173955 in in vitro kinase assays, Bcr-Abl-expressing cell lines, primary CD34+ progenitors from chronic-phase CML patients,262 and also in blast cells obtained from CML patients in blastic phase as shown in Figure 7.
Average inhibition of uptake of 3H-thymidine by STI571 and PD173955 in normal (n=3) and CML (n=5) highly enriched CD34+GM progenitors stimulated with G-CSF and GM-CSF (10 ng/ml each) as a percent of untreated cells. The approximate mean IC50 values are also shown.261
Comparative inhibition of 3H-thymidine uptake in blast cells from a CML patient in blastic phase by STI571, PD173955, and PD166326. In total, 40 000 cells per well were incubated in 20% FCS/IMDM without cytokines for 48 h; then 3H-thymidine was added for another 18 h.262
Unlike normal progenitors, some early CML progenitors can undergo limited proliferation in serum-free media in the absence of exogenous cytokines, but appropriate cytokines are required for sustained growth and differentiation of CML as well as normal progenitors.299,490,491 Moore et al515,516 reported that some CD34+ and CD34+CD38- CML cells, but not comparable normal progenitors, can be induced to proliferate in serum-free media with KL alone, although the response of CML progenitors to KL in the presence of other cytokines is no different than that of normal progenitors. As shown in Figure 8, we have also observed that primary normal CD34+ GM progenitors die rapidly in serum-free media even in the presence of KL, whereas comparable CML progenitors undergo limited proliferation with KL stimulation; after 6 days, the CML cells increased 1.6-fold whereas the normal cells decreased to 25% of the starting concentration.261 PD173955 (10 nM) had no effect on normal cells, but completely blocked the CML cells' proliferative response. The most likely explanation for these observations is that Bcr-Abl kinase activity cooperates with c-kit-activated pathways when KL is the sole stimulus, facilitating activation of signaling cascades. A similar enhanced response to KL was reported in a primitive multipotent hematopoietic cell line, FDCP-Mix, that expresses a conditional mutant of Bcr-Abl.517 Bcr-Abl mediated an increased expression of c-kit, and it was suggested that this or stabilization of the active conformation of c-kit by p210bcr-abl may also contribute to the enhanced response of CML primitive progenitors to c-kit. While the mechanism may differ in different circumstances, it is clear that while primary CML progenitors have a greater proliferative response than normal progenitors to KL alone, they also have a reduced synergistic response to KL in combination with other cytokines as shown earlier (Figure 3).
KL alone (100 ng/ml) in serum-free media stimulates the growth of CML but not normal highly enriched CD34+ progenitors. PD173955 10 nM had no effect on the normal cells, but completely inhibited the CML cells proliferative response to stimulation with KL.261
To explain this apparent paradox and demonstrate that the altered responses of primitive CML progenitors to KL and other cytokines is indeed directly attributable to Bcr-Abl kinase activity, we compared the growth responses of normal and CML GM progenitors to these growth factors in the presence and absence of PD173955. A representative experiment is shown in Figure 9, left panels. While normal enriched GM progenitors in the presence of KL exhibited only ∼17% of the maximal proliferative response to stimulation by KL+G-CSF+GM-CSF, CML GM progenitors with KL alone had ∼44% of the maximal proliferative response to the three cytokines.261 Moreover, 10 nM of PD173955 completely abrogated this heightened response to KL and the 3H-thymidine uptake values returned to those seen with normal GM progenitors with KL as the sole stimulus. That the increased uptake of 3H-thymidine by CML GM progenitors growing in KL alone reflects an actual increment in growth rather than merely increased survival of cells initially in cycle or increased entry into S phase was shown earlier in Figure 8. Compared to normal GM progenitors, CML GM progenitors also have a heightened response to either saturating amounts (8–10 ng/ml) or to subthreshold concentrations (0.03 ng/ml) of G-CSF plus GM-CSF (not shown).261 This heightened responsiveness is again directly attributable to the cooperation of Bcr-Abl kinase activity with G-CSF and GM-CSF-activated signaling pathways since 10 nM PD173955 completely ablates the elevated response.
Left panels: Highly enriched normal and CML CD34+ GM progenitors, depleted of CD36+ cells, were incubated at the rate of 40 000 cells per well for 4 days with KL (100 ng/ml) alone, G-CSF+GM-CSF (10 ng/ml each) and all three cytokines with and without 10 nM PD173955; 1 μCi 3H-thymidine per well was then added for an additional 18 h. Right panels. Cells were preincubated for 4 days with the three cytokines without drug to allow some maturation; 10 nM PD173955 was then added to the cytokines for 3 more days+3H-thymidine for an additional 18 h.261
Figure 9 also shows that the addition of KL to saturating amounts of GCSF+GM-CSF leads to the growth enhancement of normal GM progenitors in a synergistic manner; 3H-thymidine incorporation was increased on an average of ∼two-fold over the additive effects of KL alone plus (G-CSF+GM-CSF) alone. The addition of KL to normal GM progenitors growing in G-CSF+GM-CSF also increased the S/G2/M fraction from 21 to 34% (not shown).261 In contrast, the addition of KL to saturating amounts of G-CSF+GM-CSF did not lead to a synergistic response in CML GM progenitors since their growth response in the presence of all three factors was significantly less than additive (Figure 9, lower left panel). This lack of synergism is not surprising given that CML GM progenitors exhibited near-optimal growth (∼77% of maximum) in G-CSF+GMCSF alone. Furthermore, cell cycle analysis revealed no increase in the fraction in S/G2/M when KL was added to G-CSF+GM-CSF (not shown).261 This greatly reduced requirement for the synergistic contribution of KL to achieve optimal growth of CML GM progenitors is consistent with our previous findings illustrated in Figure 3.
The minimal growth-enhancing effects of KL in the presence of G-CSF+GMCSF on CML GM progenitors at first seems counterintuitive because these progenitors had a marked response (∼44% of maximum growth) when KL was the sole stimulus. The most plausible explanation is that activated Bcr-Abl kinase cooperates with both KL-activated pathways and with G-CSF+GM-CSF-activated pathways to induce a heightened growth response. The ability of activated Bcr- Abl kinase to cooperate with one or two cytokines would therefore reduce the requirement for synergy between multiple cytokines as is observed in normal primitive GM progenitors to achieve optimal growth. The observation that the inhibition of growth of CML GM progenitors by 10 nM PD173955 in the presence of all three growth factors was significantly less than in the presence of KL alone or G-CSF+GM-CSF as illustrated in Figure 9 (lower left) supports this explanation. Since 10 nM PD173955 selectively inhibits Bcr-Abl kinase activity in CML GM progenitor cells it would be expected that some degree of synergy might be restored, and indeed, the results of cell cycle analysis support this interpretation. Treatment with 10 nM PD173955 in the absence of KL reduced the S/G2/M fraction from 33 to 22%, whereas the addition of KL restored the S/G2/M fraction to 29% (not shown).261
More mature CML GM progenitors are less dependent on Bcr-Abl
As GM progenitors mature they no longer require multiple growth factors to achieve optimal growth,490,491,518 so one would expect that the cooperative effects of Bcr-Abl kinase activity with growth factor(s) would be diminished in more mature CML progenitors. In order to provide direct evidence that such is the case, freshly isolated normal and CML CD34+ GM progenitors were preincubated for 4 days in the presence of G-CSF+GM-CSF without an inhibitor to allow some degree of maturation to occur. A representative experiment is shown in Figure 9, right panels. Phenotypic analysis confirmed that both CML and normal GM progenitors were more mature after 4 days in the presence of G-CSF+GM-CSF since expression of the CD34 antigen rapidly declined and expression of antigens appearing on maturing myeloid cells (ie CD33, CD13, 14, and 15) greatly increased.261 The cells were washed after 4 days and resuspended in the cytokines shown in the presence and absence of PD173955 and examined for 3H-thymidine uptake to compare with the GM progenitors initially assayed at 0–5 days. The inhibitory effect of 10 nM PD173955 is substantially reduced in the maturing CML cells, demonstrating that they become much less dependent on the intrinsic Bcr-Abl kinase activity as they mature, whereas the few, presumably earlier, progenitors that were still responsive to KL alone were still inhibited almost as greatly as the initial (0–5 day) primitive progenitors.
It can also be seen in Figure 9 (right panels) that the requirement for the synergistic interaction of KL with G-CSF and GM-CSF seen in the primitive normal progenitors is considerably diminished in the normal maturing progenitors, and that the growth response of the maturing CML progenitors to G-CSF+GM-CSF±KL is similar to that of the maturing normal GM progenitors. 10 nM of PD173955 effectively inhibits Bcr-Abl kinase in maturing CML GM progenitors, almost completely blocking substrate phosphorylation (not shown),261 but has no measurable inhibitory effect on their growth. The p210bcr-abl protein is still detectable in the maturing cells but at a reduced level compared to earlier progenitors, and the constitutive phosphorylation of Bcr-Abl substrates is comparably less. One can conclude from these results that Bcr-Abl has a much less important role in the growth of maturing CML GM progenitors than in the primitive progenitors.
We also investigated whether intrinsic Bcr-Abl kinase activity could reduce the well-known normal requirement for the synergistic interaction(s) between KL and EPO for optimal growth of erythroid progenitor cells.490,491,519 Thus, enriched normal and CML erythroid progenitors were examined for their growth response in short-term serum-free suspension culture with either KL alone, varying concentrations of EPO alone, or KL together with varying concentrations of EPO and with and without 10 nM PD173955. A typical experiment is shown in Figure 10.261 Both KL and EPO are essential for any appreciable growth of normal erythroid progenitors; their growth response is because of a remarkable synergistic interaction since neither factor alone elicits any significant response. Furthermore, the contribution of EPO in this synergistic response is concentration dependent. In marked contrast, CML erythroid progenitors achieved ∼50% of the maximal growth response (KL+EPO 1 U) with KL alone. Moreover, a suboptimal concentration of EPO (0.1 U) in combination with KL achieved 85% of an optimal response.
Top panel: Normal, highly enriched CD34+ erythrocyte progenitors (depleted of CD13, 14, 15, 41, and 61 expressing cells) were KL and EPO with and without 10 nM of PD173955 for 48 h and 3H-thymidine added for 18 more hours; 3H-thymidine uptake is expressed as a percentage of the maximum stimulation with KL 100 ng/ml+EPO 1 U. The normal progenitors require both KL and EPO for substantial growth, and the synergistic growth response is dependent on the concentration of EPO. 10 nM of PD173955 of 10 nM has no inhibitory effect. Lower panel: In contrast, CML CD34+ erythrocyte progenitors have an exaggerated growth response to KL alone or EPO alone. PD173955 of 10 nM completely blocks the heightened response to the single cytokines and partially restores the normal synergistic response.
As is the case with CML CD34+ GM progenitors, the exaggerated response of CML CD34+ erythroid progenitors to KL and EPO as single cytokines can be directly attributed to the cooperativity of Bcr-Abl kinase activity with their receptor-activated signaling pathways since 10 nM of PD173955 completely abrogated the heightened response and returned the 3H-thymidine uptake values to those seen with normal erythroid progenitors. Moreover, 10 nM PD173955 partially restored the normal synergistic response in the presence of EPO 1 U+KL.
Prognosis and current status of treatment
Overall survival and prognostic factors
The overall median survival of patients with Ph+ CML in chronic-phase from diagnosis treated with conventional chemotherapy has varied from around 3–5 years in different series, with a range of less than a year to over 20 years.41,308,520,521,522,523,524,525 Survival after the development of an accelerated phase is usually less than a year and after blastic transformation, only a few months, although patients with lymphoblastic transformation may live longer with appropriate chemotherapy. In a multi-institutional study of disease features at diagnosis in nonblastic CML, the most important characteristics associated with shortened survival were older age, male sex, large spleen, high platelet count, high percentages of blasts in blood and marrow, high percentages of eosinophils and basophils, the presence of nucleated red cells in the blood, a high serum lactic dehydrogenase level, and a low hematocrit.520,524,525 Based on a Cox model using five variables: sex, spleen size, platelet count, hematocrit, and percentage of circulating blasts, the patients could be segregated into a high-risk group who had an actuarial mortality of 30% during the first 2 years after diagnosis and an annual risk of 30% thereafter, while the most favorable group had a 2-year actuarial mortality of 9%, an average annual risk thereafter of 17%, and a median survival of 52 months. Additional factors that have been reported to be associated with an unfavorable prognosis in other series are black race, cytogenetic abnormalities in addition to the Ph chromosome, rapid WBC doubling time, poor response to chemotherapy, liver enlargement, and myelofibrosis.308,526,527,528
Conventional and intensive chemotherapy
In the classic paper by Minot et al529 in 1924, the median survival of untreated CML patients was reported to be 31 months from onset of symptoms, but this early series probably included some patients in transition from the chronic-phase to an accelerated or blastic phase. None of the treatment regimens available at the time improved survival. During the last 75 years, attempts to significantly prolong survival have been generally disappointing. Although the clinical manifestations of the chronic-phase can usually be readily controlled by many different types of chemotherapeutic agents, and most patients are able to lead fairly normal lives during the early part of the disease, conventional chemotherapy with commonly used drugs such as busulfan or HU given in relatively low doses rarely cause cytogenetic remissions and at best have only a modest effect in improving overall survival.530 In a large randomized clinical trial in Germany comparing busulfan and HU in CML, the median survival of busulfan-treated patients was 45.4 months while that of the HU group was 58.2 months (P=0.008).521
About 30 years ago, it was first reported that it was possible to induce cytogenetic remissions in chronic-phase CML with intensive chemotherapy and splenectomy in a significant fraction of patients.313 Until that time it had been questioned whether any normal hematopoietic stem cells remained that were capable of repopulating the marrow. However, the remissions were almost invariably short and further follow-up showed that there was only a modest survival advantage for patients having a complete or partial cytogenetic remissions.127,130,531,532 Other intensive treatment protocols, with or without splenectomy, have subsequently been tried during the chronic-phase of CML, but these trials also resulted in only marginal or no prolongation of survival.308,314,533,534,535
Differentiating agents
A number of drugs capable of inducing myeloid cell differentiation (eg retinoic acid, HMBA, bryostatin, vitamin D derivatives, etc) have been shown to cause differentiation and/or growth inhibition of human CML or other types of leukemia cells in vitro.536,537,538,539 Several clinical trials combining chemotherapy and differentiation agents in myelodysplastic syndromes or CML have been carried out,529,540,541,542 but none of these trials have shown the same degree of therapeutic benefit that has been demonstrated for all-trans-retinoic acid (ATRA) in acute promyelocytic leukemia (APL).543,544,545,546,547,548
Interferon
Treatment with alpha-interferon (α-interferon) alone appears to prolong survival by about a year compared to HU and/or busulfan,69,549,550,551,552,553,554 and some patients (∼6–20% in different series), especially those with favorable prognostic indices, have complete cytogenetic remissions.307,555,556,557,558 A smaller percentage of patients appear to have quite durable complete remissions that persist even after stopping treatment, but using PCR technology or FISH analysis, small numbers of leukemic cells can usually still be detected in the majority of patients having long-term cytogenetic remissions.559,560,561,562,563 Interferon is not devoid of toxicity, and many patients are unable to tolerate the unpleasant side effects for the long periods of treatment required to obtain durable responses. Some of the clinical trials experienced better results than others; possible explanations include different proportions of patients in higher or lower risk groups or in aggressiveness in continuing therapy despite the unpleasant side effects of interferon. The mechanism(s) by which IFN inhibits growth of normal and CML progenitor cells is still uncertain and is probably very complex and multifactorial. A number of possible mechanisms have been proposed, including affecting multiple gene transcription and protein phosphorylation events,307,382,557,558,564,565 activation of dendritic cells,566 affecting Fas-R-mediated induction of apoptosis,477,478 downmodulating Bcr-Abl mRNA and p210bcr-abl and suppressing cell growth and inducing apoptosis via cooperative interaction of ICSBP and PU1 on the regulation of bcl-2 gene expression.567 Combined treatment with α-interferon and cytarabine (arabinosylcytosine, Ara-C) given subcutaneously568 (and more recently orally569) was reported to give a higher percentage of complete hematologic and cytogenetic remissions and possibly improved survival compared to interferon alone, but the combination may also cause more toxicity and longer follow-up and confirmation is needed before it can be concluded that the combination significantly enhances well-being and survival.
Bone marrow transplantation
Allogeneic and syngeneic transplants
Presently, the only fairly consistently curative treatment for CML consists of marrow ablative doses of chemotherapy and/or total-body irradiation followed by syngeneic or allogeneic bone marrow transplantation, but this option is only available to approximately one-quarter of patients who have an HLA-matched sibling or an unrelated HLA-matched donor. Of patients in chronic-phase who were treated with allogeneic bone marrow transplants, overall approximately 50–60% have had actual or projected long-term survival (usually >5–7 years).551,570,571,572,573 In the largest single-institution experience with the longest follow-up, a survival rate of 70% at 10 years was reported.574 While early reports of monitoring minimal residual disease following transplantation and predicting the likelihood and rapidity of hematologic relapse were inconsistent and sometimes contradictory, with more experience and the development of more accurate in situ hybridization (FISH) and competitive RT-PCR assays, the results have become more reliable.560,563,575,576,577 As might be expected, patients who remain RT-PCR and/or FISH negative for several years or longer after transplants have an increasing likelihood of being cured, but even some patients in whom persistent low-level Bcr-Abl transcripts are detected (without progressively increasing) may remain in clinical remission for extended periods.560,578,579 As suggested earlier, these persistent Ph+ cells may be produced by ‘limited Ph+ stem cells’ that are incapable of undergoing enough symmetric divisions to reproduce overt disease, or, alternatively, they may be partially suppressed by donor lymphocytes or dendritic cells.
Patients who develop graft-versus-host disease (GVHD) following allogeneic transplantation have a lower incidence of relapse than those who do not, and much effort has been given to try to separate and augment a graft-versus-leukemia response from GVHD. There are now numerous reports showing that infusion of donor leukocytes may succeed in causing remissions in chronic-phase CML patients who have relapsed after allogeneic transplantation.580,581,582,583,584,585 In the early studies some of the donor cell infusions caused an appreciable incidence of GVHD, which was sometimes severe or even fatal, and marrow aplasia was also reported.586,587,588 More recently, improved results have been obtained with (CD8+-depleted) CD4+ donor lymphocyte infusions (CD4+ DLI), which may act by inducing host-reactive cytolytic CD8+ donor T cells to directly or indirectly inhibit the Ph+ progenitors or stem cells.589,590
The survival of patients who lack HLA-matched siblings and who receive transplants from unrelated HLA-matched donors identified by bone marrow registries is generally substantially lower than recipients of related donor transplants,591,592 although certain immunologically distinct HLA subtypes fare better than others.570,593 During the last few years, G-CSF-stimulated peripheral blood stem cells (PBSC) have replaced bone marrow stem cells in some transplant centers, since PBSC may engraft and function more rapidly in producing neutrophils and platelets and also may be less likely to cause GVHD.
Since there is still an appreciable early mortality and relatively high incidence of complications including chronic GVHD associated with allogeneic BMT, the advisability of this form of treatment is still controversial, especially in older patients who are less able to tolerate the intensive treatment. In an analysis of a large study comparing HU, interferon, and BMT, there was a significant survival advantage for HU or interferon during the first 4 years after diagnosis and for BMT starting 5.5 years after diagnosis;551 the survival advantage for BMT was greater in patients with intermediate or high-risk prognostic features than in those with low-risk features. In efforts to further increase curability with reduced toxicity, investigators in Seattle and elsewhere are currently exploring a number of new approaches in clinical BMT protocols, including nonablative (ie low-dose TBI ∼2 Gy) plus immunotherapy; leukemia-specific targeted isotopic or toxin-conjugated antibodies directed against minor tissue-specific antigens to enhance selective purging; pretargeting methods employing streptavidin and biotin to increase antibody binding to the leukemia cells; and various adoptive immunotherapy protocols post-transplant to reduce the incidence of relapse and/or GVHD.
Autologous transplants
There have been numerous attempts to treat patients without histocompatible donors both in the blastic and chronic-phases of the disease with marrow ablative intensive chemotherapy and/or irradiation regimens followed by autologous stem cell transplantation,535,594,595 and various methods have been tried to preferentially eliminate residual Ph+ progenitor cells in the graft while sparing normal stem cells. The methods include cytotoxic drugs, antisense molecules against Bcr-Abl junction peptide sequences, peptide-based vaccines using b3a2 junctional peptides;596,597,598,599,600,601,602 generation of dendritic cells to stimulate a selective antileukemic cytotoxic T lymphocyte response,603,604 cold or radiolabeled antibodies directed against surface antigens such as CD33601 or AC133;605 and cell culture systems designed to selectively amplify normal primitive progenitors (LTC-IC) without comparable expansion or with diminution of Ph+ early progenitors.563,596,606 It is still uncertain which of the proposed purging methods is optimal, and questionable whether any of those so far tried are sufficiently selective and reliable to eliminate all Ph+ progenitors while sparing enough normal stem cells to permit successful grafting.
In the initial clinical trials few patients were cured by autologous stem cell transplantation. The majority of patients who survived the procedure still had Ph+ cells in the marrow detectable by cytogenetic or PCR analysis,595,607 and retroviral marking of donor cells showed that residual Ph+ progenitors that persisted in the autologous transplant, despite in vivo or in vitro purging attempts, can contribute to relapse as well as residual leukemic cells surviving in the patient.608 An early meta-analysis showed that the 3-year post-transplant leukemia-free survival was less than 5%,609 but more recent reports suggest that survival may be prolonged and that perhaps 15–25% of patients undergoing autologous transplantation in the chronic-phase may have more durable remissions, although the follow-up is still too short to determine how many may have been cured.594,596,610
Thus, despite enormous efforts during the past several decades to improve treatment, only a minority of patients with chronic-phase CML are presently being cured with BMT protocols, and it is doubtful if older patients will ever be able to tolerate the aggressive treatment required to eradicate the Ph+ clone. The results are even worse for patients in the accelerated or blastic phases of the disease or for those presenting with Ph+ acute leukemia, and such patients are rarely amenable to cure with any type of treatment. It is not known why the Ph+ acute and chronic leukemias are so refractory to therapies that have proven successful in some other types of leukemia and disseminated lymphomas with other translocations or other mutations, but there is a pressing need for more selective, less toxic, and more effective treatment.
Novel therapies for CML
A number of potential ‘molecularly rationale’ therapies have been suggested for CML, including some mentioned earlier as possible approaches for selectively purging Ph+ progenitors from the marrow ex vivo for use in autologous BMT protocols. Among the approaches suggested are the use of ribozymes; 611 antisense oligonucleotides complementary to the junction sequence of Bcr- Abl;612,613 inhibition of functional domains of Abl or Bcr-Abl proteins other than the kinase domain that might serve as targets for specific therapies, such as the Abl SH2 domain or the first exon of Bcr,565 the oligomerization domain of Bcr,150,158,159,162,188,565,614,615,616,617,618 inhibiting Grb2 interactions with Bcr-Abl or Ras,462,619 or pathways dependent on Gab2, the scaffolding protein that interacts with Grb2620,621,622,623 or some form of specific immunologic therapy.597,601,621,622,623,624,625,626,627,628 The presence of unique amino-acid sequences across the Bcr-Abl fusion breakpoint suggested that it might be possible to develop a specific vaccine. Although the p210bcr-abl protein is not expressed on the cell surface, in principle, peptide sequences may be presented in the context of HLA molecules for recognition by T cells that might augment an immune response to leukemia cells or perhaps kill them. One study sought to determine if CML-specific amino-acid sequences could be presented by HLA molecules, and if so, if these HLA bearing cells could serve as targets of specific T cells from normal or leukemia patients.624 Based on these studies, a vaccine was prepared and a clinical trial was initiated.601 to try to prevent recurrence after BMT, but it is too soon to know if this approach will be successful in preventing relapses.
Gleevec® (STI571) and other inhibitors of Bcr-Abl tyrosine kinase
Since the increased PTK activity of the oncogenic Bcr-Abl fusion proteins is well known to be essential for transformation, many investigators have examined various PTK inhibitors, hoping to find one that will selectively inhibit Bcr-Abl kinase.221,629,630 One of the most potent and selective inhibitors of Bcr-Abl kinase activity so far discovered is the Novartis compound STI571 (also called Gleevec, Glivec, Imatinib Mesylate and formerly Ciba-Geigy compound CGP57148B), which has recently been undergoing clinical trials in patients with CML.510,558,631,632,633,634,635 STI571 acts as a competitive inhibitor of ATP at the ATP-binding site of the tyrosine kinase domains of both the normal Abl and Bcr-Abl. It is much less inhibitory to most other PTKs that have been tested with the notable exceptions of two normal receptor PTKs, c-kit, and PDGF-R.
In the Phase I trial that was carried out in patients in whom treatment with interferon had failed or who could not tolerate interferon,511 the dose was gradually escalated attempting to reach therapeutically effective levels, without encountering serious toxicity. As soon as a dose of ∼300 mg/day was reached, it became apparent that a high percentage of patients were having hematologic remissions. Subsequent Phase II trials of STI571, generally administered orally once daily at 400 mg/kg, in patients who had failed, become refractory to, or developed intolerance to interferon, confirmed that the incidence of complete hematologic remission with STI571 is ∼95%, and that 60% of patients had major and 41% CCRs. Side effects, including skin rashes, muscle cramps, fluid retention, nausea, vomiting, and diarrhea, were frequent but were rarely severe enough to require interruption of therapy. With further follow-up it appears that many patients have developed molecular or cytogenetic causes of resistance to STI571, and studies in animals and cell lines have also reported frequent and varied mechanisms of resistance, including overexpression of Bcr-Abl with or without gene amplification, novel cytogenetic aberrations, compensatory mutations in genes other than Bcr-Abl, altered drug metabolism, different point mutations in the ATP-binding site, reduced intake or increased efflux of drug mediated by P-glycoprotein, loss of Bcr-Abl protein expression and activation of compensatory survival pathways, and binding of drug to α-1-acid glycoprotein (AGP).134,636,637,638,639,640,641,642,643,644
STI571 is also effective in inducing partial and sometimes complete hematologic and cytogenetic responses in accelerated and blastic-phase disease, but the responses are generally less complete and of shorter duration, and resistance may develop rapidly.645,646,647 A daily dose of 600 mg was more effective than 400 mg without much increase in toxicity, but the improvements in onset and duration of hematologic response and overall survival were only modest. STI571 is currently being tested in combination with various other drugs in Bcr-Abl-positive cells on the likely assumptions that any single agent such as STI571 is unlikely to be curative and that resistance will be common.648,649,650,651,652,653,654,655
New potent inhibitors of Bcr-Abl kinase and structural-activity analyses
Using a truncated variant of STI571, missing the piperazinyl group, Schindler et al656 succeeded in cocrystallizing the inhibitor and the Abl kinase domain, whereas previous attempts to crystallize Abl kinase without an inhibitor had been unsuccessful. Once the structure was known, in our collaborative studies with Dr William Bornmann and Dr John Kuriyan, a number of other phenylamino-pyrimidine derivatives were designed and synthesized, but none proved more inhibitory to Bcr-Abl than STI571.
Since a number of interactions had been reported between Abl or Bcr-Abl with Src family kinases,191,192,657,658,659 we considered the possibility that Lyn or possibly other Src family members might serve as targets for the development of inhibitors that could potentially function synergistically with inhibitors of Bcr-Abl. In view of these interactions between Src and Bcr-Abl and our own observations that p53/56lyn is constitutively tyrosine phosphorylated in primary CML progenitors, we began searching for selective inhibitors of Src kinases to use in combination with STI571. We had previously found that the Src inhibitors, PP1 and PP2 inhibit other kinases besides Src, and also that PP1 is about 10-fold more inhibitory to M07e cells growing in KL (IC50 ∼0.5 μ M) than to Bcr-Abl-expressing cells (M07e/p210bcr-abl: IC50 ∼5.0 μ M). A selective inhibitor of Src kinases (PD173955) that was more potent than PP1 was reported in late 1999,660 and Dr Neal Rosen gave us some of this inhibitor to see if it might act synergistically with STI571. Unexpectedly, when tested alone, PD173955 was found to be approximately 20-fold more inhibitory to p210bcr-abl-expressing cells than STI571.262,512,513,661 Dr Bornmann and his colleagues subsequently synthesized PD173955 and a large number of other derivatives in the Core Preparative Synthesis Laboratory at MSKCC and we began an extensive series of experiments aimed at finding an even more specific and potent Bcr-Abl inhibitor.
PD173955 is a member of a new class of highly potent tyrosine kinase inhibitors based on the pyrido[2,3-d]pyrimidine core template.513 Shortly after we had begun our studies with PD173955, another pyrido[2,3-d]pyrimidine derivative, PD180970, was reported to inhibit p210bcr-abl tyrosine kinase and to induce apoptosis in K562 cells;662 it was also found to inhibit recombinant c-Src tyrosine kinase, but the authors tentatively concluded that the inhibitory effects on K562 cells were largely because of inhibition of p210bcr-abl tyrosine kinase rather than Src. PD180970 was also synthesized by Dr Bornmann and was found to be only slightly less inhibitory to M07/p210bcr-abl R10-positive and -negative cells (IC50=∼4–7.5 nM), than PD173955 (IC50=∼2–2.5 nM), whereas the IC50s for M07 cells growing in KL or IL3 are the same (0.1 and 0.5 nM, respectively).262 The only structural difference in these compounds is a methylthioether group at position 3 on the phenylamine ring (PD173955) instead of a methyl group and a fluorine at positions 3 and 4, respectively (PD180970).
PD173955 was cocrystallized with the Abl kinase domain by Dr Bhushan Nagar in Dr John Kuriyan's laboratory, then at Rockefeller University, and analysis showed that PD173955 binds to a conformation in which the activation loop resembles that of an active kinase domain.511 Furthermore, modeling showed that PD173955 can also be accommodated in the kinase domain when the activation loop is in the inactive conformation. In contrast, STI571 is only able to associate with Abl kinase when the activation loop is in the inactive conformation.656 The crystallographic structure also reveals that the methyl thio-ether group of PD173955 does not contact the Abl kinase backbone and protrudes out of the binding pocket, and this probably explains why PD173955 and PD180970 have similar activities.
Since the crystal structure of Hck with PP1 bound in the ATP-binding site was already known,240 it was possible to compare the Abl and Src kinase domains and seek a structural explanation as to why STI571 does not bind Src kinase, whereas PD173955 binds both Abl and Src kinases almost equally well. Although there is ∼49% sequence identity in their catalytic domains, and the residues lining the nucleotide-binding site that contact STI571 are either identical or are substituted conservatively in Abl and Src kinases.656 STI571 is readily able to discriminate between these two kinases despite their close sequence similarity. The IC50 of STI571 for c-src, v-src, lyn, and c-Fgr is ∼400- to 1000-fold greater than to c-abl or Bcr-Abl.663,664
It appears that a principal reason that PD173955 is more inhibitory than STI571 is because the former can bind both the inactive and active conformations of Abl kinase, whereas STI571 does not fit well in the ATP-binding pocket when the activation loop is in the active conformation and thus is only able to exploit the downregulated form of Abl. Unlike Src kinase, which is dependent on tyrosine phosphorylation of Tyr418 to assume its active conformation, Abl kinase can assume both active and inactive conformations independent of phosphorylation of Tyr393, the major site of phosphorylation in the Abl activation loop.511 (Tyr 393 in splice form 1A is the same as Tyr412 in splice form 1B.241) Although the conformational changes are very rapid and dynamic, the fusion with Bcr and resulting loss of Abl's N-terminal 80 residues and myristoyl group that have an autoregulatory function in the intact molecule.195 presumably causes Abl to adopt mainly an active conformation, thereby favoring its association with PD173955 over STI571. Moreover, phosphorylation of Tyr393 stabilizes Abl kinase in the open or active conformation, thereby further favoring its preferred association with PD173955.
The structural analyses also provide a plausible explanation why PD173955 binds Src whereas STI571 does not. The conformation of the NH2 terminal anchor of the activation loop (containing the highly conserved Asp-Phe-Gly (DFG) motif) is quite different in the inactive Src and Abl kinase structures,195,511 and this conformation in the Src kinases effectively blocks the binding of STI571. Conversely, because the active conformations of the Src and Abl kinases are quite similar, PD173955 is able to bind both Src and Abl in their active conformations whereas STI571 cannot bind either. Recent work suggests that some potent and fairly specific Src kinase inhibitors such as CGP76030665 and the pyrrolo-pyrimidine, A-419259666,667 do indeed inhibit Bcr-Abl-expressing cells and may act synergistically with STI571.665
PD173955 is quite insoluble, and a number of modifications have been made to try to increase its solubility, potency, and specificity. One of these derivatives (PD166326) was found to be ∼four-fold more inhibitory to Bcr-Abl-expressing cell lines and CML progenitors than PD173955262,512 (Figures 5 and 7). PD166326 only differs from PD173955 in the substitution of a methylhydroxy group for the methylthioether on the phenyl ring, but modeling studies show that this enables PD166326 to form an additional hydrogen bond with Thr319 in the ATP-binding pocket that may account for its greater inhibition.262
Cocrystallization studies have shown that STI571 has six hydrogen bonds and 21 van der Waals interactions with residues in the ATP-binding pocket, and a significantly greater binding interface than PD173955. Since the latter has only 11 van der Waals interactions and forms only two hydrogen bonds, it would be expected that STI571 should bind more tightly than PD173955 in the inactive conformation of Abl. While this might be true if only the inactive form were considered, in solution the isolated kinase domain of Abl probably exists in dynamic equilibrium between the open and closed conformations of the activation loop, and the crystallographic data suggest that PD173955 should inhibit Abl regardless of its phosphorylation state, whereas STI571 should only bind when the kinase is unphosphorylated. Indeed, this has been confirmed in kinase inhibition assays: PD173955 inhibits Abl kinase with an IC50 of ∼5 nM independent of the phosphorylation state while the IC50 for STI571 is ∼100 nM for the dephosphorylated form only with no effect on the phosphorylated form.511
Modeling studies have shown that the Thr315→Ile315 substitution as a result of the C→T mutation recently described638 might result in a steric clash between PD173955 and the methyl group of Ile315 (as is also true of STI571), which might interfere with binding even though it has no hydrogen bond with Thr315 as does STI571. Other analogs that may circumvent this clash are currently being considered, but it should be stressed that this C→T mutation is only one aspect of the overall problem of resistance. Sawyers' group638 and other investigators.641,643,668 have subsequently reported numerous other point mutations in the kinase as well as other domains,641 some of which also interfere with inhibitor binding and cause resistance, and as previously noted, many other mechanisms of resistance to STI571 have been observed.634,639,640,642,644,669,670
PD173955 and PD166326 have been tested and compared with STI571 in a variety of other human tumor cell lines and animal models.262,512 In most of the cell lines tested, PD173955 is considerably more inhibitory than STI571 (glioblastomas, n=4; neuroblastomas, n=6; sarcomas, n=3; Ewing's Sarcoma, n=2); the IC50 of STI571 is >10 μ M, while that of PD173955 is between 200 and 1000 nM (as compared to 2–35 nM for Bcr-Abl-expressing human leukemia cell lines). We are also conducting toxicological and pharmacological studies in animals, including determining the maximum tolerated doses, measuring plasma and tissue levels and bioavailability after oral and parenteral administration, and developing optimal formulations for both oral and parenteral use. From the knowledge gained from structural analyses and modeling studies, we are optimistic that it will be possible to design and synthesize even more specific and potent inhibitors that also have improved solubility and other favorable properties that will be suitable for clinical use.
Resistance to STI571 and other inhibitors of Bcr-Abl tyrosine kinase
STI571 has proven to be remarkably effective as a single agent in CML, and it is perhaps the best example yet of a highly selective drug for any human cancer. However, based on past experience with monotherapy with antimetabolites and most other chemotherapeutic drugs given in conventional therapeutic doses it is highly improbable that either STI571 or any of the newer potent Bcr-Abl kinase inhibitors will be curative. As noted above, multiple mechanisms of resistance to STI571 have been reported as would only be expected. While it was of course first necessary to determine STI571's effectiveness as a single agent, administration of the drug once daily over a long period at moderate dosage with only gradual induction of remission would be expected to result in frequent development of resistance among the surviving Ph+ stem and early progenitor cells. Some of the point mutations in the ATP-binding pocket that specifically interfere with STI571 binding have justifiably generated a great deal of interest in terms of designing new inhibitors that might circumvent resistance because of the mutations. In a collaborative study with Nikolas von Bubnoff, we already have evidence that some, but not all, of the mutations causing insensitivity to STI571 are still as sensitive as wild-type cells to several of the pyrido pyrimidine analogs (unpublished observations, 2003), and La Rosee et al668 have recently reported similar findings. However, there are other reasons that STI571 or any other single Abl kinase inhibitor is unlikely to be curative. One important reason, currently often under emphasized or neglected, is the existence of dormant leukemic stem cells that are relatively insensitive to most chemotherapeutic drugs, including the highly potent inhibitors of Bcr-Abl kinase.
Resistance because of survival of dormant Ph+ stem cells
Although growth of Bcr-Abl-positive cells can readily be inhibited with relatively low and fairly selective doses of potent Bcr-Abl kinase inhibitors with short exposure, much larger doses and longer exposure are required to kill all the cells. One example of the dosage and duration of exposure required to eradicate a population of Bcr-Abl-expressing cells is illustrated in Figure 11. During log-phase growth between 0 and 18 h, the R10-negative subclone of M07e/p210bcr-abl 514 is growth factor independent; has a viability of 95% or greater; a doubling time of ∼18 h, a CE of ∼25% and a cell cycle distribution of 47–56% of cells in G1, 35–42% in S, and 8.6–11.4% in G2/M (values measured at 0, 4, and 18 h). No G0 cells are detectable by flow cytometry using pyronin Y and Hoechst staining. As seen in Figure 5, the average IC50 values for both inhibition of growth and 3H-thymidine uptake for STI571 and PD166326 are ∼40 nM and 0.4 nM, respectively; in other experiments the IC99–100 values were ∼250–500 nM for STI571 and ∼5 nM for PD166326 both for inhibition of cell growth in liquid culture and inhibition of 3H-thymidine uptake (not shown). However, considerably larger doses are required to totally eradicate a population of 600 000 R10-negative cells during 5 days' exposure (∼6.7 × the average doubling time) (Figure 11). Some cells were able to survive 5 days' exposure to 50 μ M of STI571 and a smaller number up to 1 μ M of PD166326 and then grow at the same rate as before treatment (Figures 11a and b). It took 7 days' exposure at the same or slightly lower doses of STI571 or PD166326 to sterilize the cultures, but even after 7 days, some cells were able to survive exposure to 50 nM of PD166326 and grow normally (Figure 11c). Retreatment of these surviving cells showed no resistance compared to untreated cells (Figure 11d). Similar experiments using a larger number of R10-negative cells (ie 5 × 106) in log-phase growth showed that a few cells could survive 10–20 days' exposure to concentrations of PD166326 as high as 250 nM and 30 days exposure to up to 25nM; respectively; a representative experiment illustrating recovery after 11 days' exposure to 250 nM is shown in Figure 12.
Recovery of M07e/p210bcr-abl R10-negative cells after treatment with. (a) STI571 (0.5–50 μ M) for 5 days; (b) PD166326 (0.01–5 μ M) for 5 days; (c). PD166321 (0.05–5 μ M) for 7 days. A total of 600 000 cells were treated. The drugs were removed and the cells washed and placed in fresh media after 5 days (a+b) or 7 days (c). (d) The small fraction of cells (estimated ∼100–1000 cells) that survived 7 days' exposure to 50 μ M of PD166326, shown in panel c were grown up and one week later retreated with PD166326 to compare their IC50 and IC99 values with those of previously untreated cells. No differences were noted between the pretreated and untreated cells in this or similar experiments with longer drug exposure.
Recovery of M07e/p210bcr-abl R10-negative cells after treatment with PD166326 for 11 days. (a) 5 million cells were treated at each concentration of drug (10–250 nM). A few viable cells were noted on day 38 or 27 days after exposure to 250 nM of the drug and washing, and by day 46 they had resumed growth, but at a slightly lower rate than prior to treatment. (b) The cells surviving exposure to 250 nM of PD166326 were retreated with 0.1–5 nM of drug from days 48–51; their IC50 and IC99 values, as determined by inhibition of 3H-thymidine uptake,262 were almost identical to those of untreated cells (0.4 and 5 nM respectively). (c and d) The cells recovering from 11 days' exposure to 250 nM at first grew more slowly but gradually resumed the same growth rate as cells never exposed to the drug as measured both by growth in liquid culture (c) and 3H-thymidine uptake (d) 3 months after exposure.
Based on the time recovery was first detected and the subsequent growth rate, it was estimated that very few cells, perhaps only one or two, survived these relatively long exposures. The cells surviving this (one-time) exposure for 10 or 20 days usually grew more slowly for several weeks but then gradually resumed their pretreatment growth rate, which became indistinguishable from that of cells never exposed to the drug, and in all cases the surviving cells had IC50 and IC99–100 values almost identical to cells never previously treated (Figure 11 and Figure 12). Thus, even in a population of rapidly growing cells in which there are no detectable cells in G0, relatively large doses and prolonged exposure to potent inhibitors are required to kill the cells, doses that are quite toxic to normal cells. Moreover, after the few survivors have recovered from this one-time exposure, they have the same growth characteristics as untreated cells and show no evidence of resistance. The problem of total eradication is magnified when one considers the long-recognized existence of leukemic cells that can remain dormant in vivo for extended periods and escape being killed.76,130,322,323,409,671,672 Ph+ stem cells and early progenitors have usually been found to have only a slightly higher proliferative rate than comparable normal cells,76,123,248,260,325,381,399,400,429,501 and while there are no reliable data on the duration of dormancy of Ph+ stem cells, it is likely some of them can remain dormant for at least several months and possibly much longer. Not surprisingly, it has been reported that Ph+ primitive progenitors in G0 are resistant to STI571 and that the drug may prevent their entry into S phase.669 and we have obtained similar results.
Considerations relevant to developing therapeutic strategies aimed at cure
Summary of proliferative abnormalities in CML relevant to therapy
In most patients at diagnosis, the bone marrow and other involved organs such as the spleen contain almost entirely CML cells; the remaining normal stem cells are largely quiescent and unproductive, being suppressed by the leukemic population. The altered signaling caused by Bcr-Abl results in discordant development of the CML progenitors with asynchronous maturation of the nucleus and cytoplasm and various subtle dysplastic, functional and biochemical changes.248 While the early erythroid progenitors (ie BFU-e) appear to have similar abnormalities to the GM progenitors, expansion of the granulocyte and megakaryocyte lineages predominate for reasons not yet clear. The later maturing progenitors and precursors still express functionally active p210bcr-abl, although at a significantly reduced level, and they are less dependent on it and are relatively insensitive to inhibitors of Bcr-Abl kinase. The CML committed progenitors have less proliferative potential on average than the corresponding normal progenitors, but once fully committed, both normal and CML progenitors and their progeny inexorably proceed through a limited number of maturation divisions and then shortly die.
Increased activation of Ph+ stem cells as the primary cause of myeloid expansion
There is general agreement that the primary myeloid expansion in CML occurs at the level of the primitive progenitor cells, but still some disagreement as to how this comes about. Three possible scenarios are shown in Figure 13. While a reduction in the frequency of progenitor cells naturally undergoing apoptotic death may contribute, this alone cannot account for the huge myeloid expansion. We and many others formerly favored the second scenario, an increased number of divisions by primitive progenitor cells, as the main underlying reason for the myeloid expansion, since more elaborate models than those shown in Figure 13 have shown that only one or two extra divisions of early progenitors can result in a huge amplification of the myeloid cells over time.323,409,410,673,674 It is also apparent that the earlier cell death occurs in the progenitor cell hierarchy, the more pronounced the effect will be (ie cell death occurring in Level 2 in Figure 13a will have a greater effect than at Level 3), and the same is of course true for extra divisions (not shown).

Figure 13
However, recent observations suggest that the third scenario, increased activation of stem cells or very early progenitors, is probably the major cause of the myeloid expansion. Since only 10% or fewer of normal stem cells are cycling under steady-state conditions, only a small increase in their activation can easily account for the myeloid expansion over time. Our studies suggest that the enhanced activation of CML stem cells or primitive progenitors is probably directly caused by the constitutively increased Bcr-Abl tyrosine kinase activity acting cooperatively with cytokine-activated downstream signaling pathways and resulting in a heightened growth response to certain early-acting single cytokines such as KL, G-CSF, GM-CSF, and EPO.261 The primitive progenitors are particularly susceptible to these effects of Bcr-Abl, and at the same time they have a reduced requirement for the synergistic interactions of multiple cytokines; later maturing progenitors and precursor cells are less affected. It is not difficult to envision how Bcr-Abl, acting cooperatively with early-acting cytokines could easily increase the frequency with which quiescent stem cells or primitive multipotent progenitors are activated, probably by constitutive activation of downstream cytokine receptor pathways that cooperate synergistically in normal progenitors. Other investigators employing different methods and cell populations156,399,516,675,676 have similarly concluded that Bcr-Abl expression in stem cells or early progenitors enhances their sensitivity to growth factor-induced cell division and maturation. The observation that low concentrations of potent inhibitors of Bcr-Abl kinase largely abrogate both the abnormal signaling and proliferative responses provides strong evidence for the primary role of increased Bcr-Abl kinase activity in causing the expansion of the primitive progenitors. The cytokine receptor signaling pathways are very complex and interactive and while the normal signaling circuitry and the aberrations caused by Bcr-Abl are still ill-defined, many investigators including ourselves are currently trying to define the specific signaling pathways involved in the heightened response of CML stem cells. Hopefully, this will eventually result in the identification of additional vulnerable targets for specific therapies, but in the meantime it may not be essential that all the details be known before a curative strategy can be developed. Assuming all later committed progenitors, both normal and CML, are destined to die naturally after a limited number of divisions, the prime goal of any curative therapy must be to selectively eradicate all CML stem cells and primitive progenitors that are capable of reproducing the disease, while sparing enough normal stem cells to regenerate and maintain normal hematopoiesis. The questions immediately arise as to how many Ph+ stem cells or primitive progenitors are there that are capable of reproducing the disease and how long can they remain in a dormant state, relatively protected from chemotherapy?
Need for better characterization and quantitation of normal and Ph+ stem cells
There is an enormous literature and some controversy regarding the identification and characterization of different stem cell and progenitor cell candidates in animals and humans.329,330,405,406,407,426,427,677,678,679,680,681 Owing to the difficulties in isolating and accurately characterizing human Ph+ stem cells or multipotent progenitors that are capable of reproducing CML, there are no reliable quantitative estimates of the total number of such cells that must be eliminated to effect a cure, nor of the fraction of these cells that are dormant nor of the average or maximum duration of dormancy.
In comparing normal and CML progenitor cells, most investigators start with enriched CD34+ cells or CD34+ Lin− cells since the CD34+ cells contain almost all of the progenitors capable of forming colonies in vitro and are able to reconstitute the marrow after ablation by therapy.682,683 However, since expression of CD34 on stem cells may vary in accord with their state of activation and commitment, some stem cells may be excluded by restricting analysis to the CD34+ population.684,685,686,687 Moreover, there are no commonly accepted criteria for defining the levels of expression of CD34 and of differentiation antigens that constitute CD34+ positivity and lineage negativity. Different laboratories, including our own, use different methods and criteria depending on how many cells are available and the particular experimental objective (eg the number of monoclonal antibodies used to eliminate cells expressing different CD antigens and the stringency by which Lineage Negativity is defined by flow cytometry). Different assays require different numbers of cells: relatively few cells are needed for cloning CFU-GM or BFU-E, more for inhibition of 3H-thymidine uptake in liquid culture, and many more for extensive phenotypic profiling and for separation and collection of adequate numbers of rare subpopulations such as small Lin− CD34+ cells or CD34+ Lin− G0 cells. We have used and often combined different methods to enrich subpopulations of normal and CML progenitors to compare their proliferative behavior and properties.132,261,299,490,491,492,493,502,688,689,690,691,692 In some experiments, the progenitors are highly enriched by negative selection using panels of monoclonal antibodies to remove cells committed to differentiation along any of the major lineages; in these experiments both the enriched normal and CML Lin− blast populations usually comprise about 0.1–1% of the initial marrow buffy coat cells and consist almost entirely of Type I blasts plus a few Type II blasts. The enriched progenitors can be further separated on the basis of size into primitive, intermediate, and late progenitors by velocity sedimentation on an isokinetic gradient,490,491,492,493 by appropriate negative or positive selection using panels of monoclonal antibodies and Dynal or Miltenyi magnetic particles, and/or by cell sorting using high-speed flow cytometry to isolate selected subpopulations.261 Since subsequent studies have tended to confirm our initial hypothesis323,324 that the primary expansion of the CML population begins in a very early progenitor cell ‘compartment’ and that the subsequent huge amplification in later maturing compartments is merely a secondary consequence of this early expansion, in recent years we have focused on comparing the properties of normal and CML early progenitors. The progenitors can be stimulated with specific cytokines and forced to differentiate along each of the major myeloid lineages (G/M, erythrocyte, and megakaryocyte) in either semisolid or liquid culture. As the cells proliferate, differentiate and mature in response to specific cytokines, measurements are made of their growth characteristics, changes in the expression of surface antigens associated with differentiation and maturation along different lineages (eg CD3, CD19, CD34, CD33, CD38, CD36, CD64, CD13, CD14, CD15, CD66B, CD41, CD61, CD117 (c-kit), and Glycophorin A) and changes in expression and phosphorylation of intracellular proteins that are components of key regulatory pathways.252,253,254,261,262 In some experiments, carboxyfluorescein diacetate succinimyl ester, an intracellular fluorescent dye that binds irreversibly to cytoplasmic constituents,669,693,694 is used to follow the number of divisions in liquid culture after stimulation with specific single cytokines or combination thereof.
Estimates of numbers of total Ph+ stem cells and cycling and dormant fractions
Two sets of data were used for comparative purposes in order to make some rough estimates of the total numbers of Ph+ stem cells and the quiescent fraction. The first set selected was from Buckle et al325, who used CD34+ Lin− Thy+ Rhodamine123 (Rh) low markers to define the most primitive stem cell subpopulation: 5.1% of normal and 2.3% (1.3–3.9) of CML CD34+ Lin− cells were Thy+ Rh low, and only 1.5% of the normal and 3.2% (0.5–5.4) of the CML primitive stem cells were in cycle. The percentages of CD34+ Lin− cells recovered from the total starting populations of normal and CML cells were not stated, but in our hands, we usually recover 16–34% (mean=22%) of cells in normal mononuclear fractions after Ficol separation to remove mature granulocytes and platelets from the total buffy coat cells of normal bone marrow. After positive selection of the CD34+ cells on Miltenyi columns, 0.7–3% (mean=1.3%) of CD34+ cells are recovered from the normal mononuclear fractions or 0.1–1% (mean=0.3%) of the total starting normal buffy coat cells. Recovery of CD34+ cells from CML blood or marrow is more variable, but tends to give slightly higher recoveries: 0.4–9% (mean=2.3%) from mononuclear fractions, or 0.15–3.4% (mean 0.45%) of the total starting CML buffy coat cells even if patients in early accelerated phase, in whom recoveries are higher, are excluded. Some investigators have reported higher proportional recoveries of CD34+ cells,669 but the differences are probably because of setting different criteria for CD34+ positivity, residual effects of treatment, inclusion of patients with more advanced disease, or different methodologies for selection and enrichment. Depending on the number of antibodies used and the stringency of the criteria used to exclude cells expressing low levels of differentiation antigens, the percentage of ‘Lin− CD34+ cells’ can vary considerably in different laboratories. For the purpose of estimating the most primitive stem cells and progenitor cells, we have selected data obtained using a battery of 15 monoclonal antibodies to remove cells committed to differentiating along the major lineages. Using rather stringent criteria to define lineage-negativity, on average about 10% of both normal and CML CD34+ cells are largely Lin−.
If we accept Buckle et al's325 data that the most primitive stem cells comprise only 2.3% of the CD34+ Lin− cells and that only 3.2% of these cells are cycling, taking the mean value of our data (0.45%) that the CML CD34+ cells comprise 0.15–3.4% of the total myeloid cells in different patients, and assuming 10% of these are Lin−, we can roughly estimate the number of primitive stem cells or primitive progenitors that may be present and the quiescent fraction (Figure 14). Assuming there are a total of 5 × 1012 myeloid cells at diagnosis in the average patient with chronic-phase CML, and that the CD34+ cells comprise 0.45% of the total population, there would be 2.25% × 1010 CD34+ cells. If 10% of these are Lin−, there would be 2.25 × 109 CD34 Lin− cells, of which 2.3% or 52 million are Thy+ Rh low. Since only 3.2% (1.7 million) of these most primitive cells are cycling at any time there would still be about 50 million putative quiescent primitive stem cells. The fractions of these presumed primitive stem cells that are clonogenic or that have the potential to reproduce the disease are of course unknown.
Assuming an average of 5 trillion total Ph+ myeloid cells are present at diagnosis, estimates were made of the total CD34+ Ph+ cells, CD34+ Lin− cells, CD34+ Lin− Thy+ Rh123 low cells,325 CD34+ G0 cells, CD34 G0 high Proliferative cells and true Ph+ stem cells (see text).
The second set of data we used to estimate the number of Ph+ stem cells is based on the recovery of CML CD34+ G0 cells and their proliferative capacities. We have not been able to isolate enough CML CD34+ Lin− quiescent (G0) cells to do extensive quantitative recovery studies, but have found that G0 cells isolated from the total CD34+ population have widely differing proliferative potentials. In order to illustrate the differences observed in the clonogenicity and proliferative potential of CML CD34+ cycling and quiescent cells a typical experiment is shown (Figure 15). In all, 2.05 million highly enriched CD34+ cells from a CML patient in chronic-phase were stained with Pyronin Y and Hoecst and then separated by flow cytometry and cell sorting into G0 and G1/S/G2/M fractions; 1.2 × 105 cells in G0 and 6.2 × 105 cycling cells were recovered (5.8 and 30.2%, respectively, of the starting CD34+ population. These recovery values are in the same range as those found in other similar experiments (eg in five normal bone marrow populations of 0.5–5.85 × 106 highly enriched CD34+ cells, the means and ranges of recoveries were: 18.3% (15.7–32.5%) of G1/S/G2/M cells and 4.4% (1.96–6.84%) G0 cells, and for six CML highly enriched CD34+ cells 22.8% (11.2–30.5%) for G1/S/G2/M and 3.7% (1.9–5.8%) for G0 cells. Assuming the mean percentage recoveries are representative of the whole CD34+ population, then the normal and CML ratios of G1/S/G2/M: G0 CD34+ cells would be 4.16 and 6.16, respectively. Thus, approximately 19.4% of the normal and 14% of the CML CD34+ cells would be in G0. The slightly higher percentage of cycling CML CD34+ cells compared to normal CD34+ cells is of course consistent with the former's slightly higher CEs, higher uptake of 3H-thymidine, and higher percentage of cycling cells on flow cytometry that we have consistently noted.76,490 Buckle et al325 noted that the most primitive CML stem cells had twice as many cycling cells as comparable to normal stem cells, although the latter finding did not reach statistical significance.
In total, 2.05 × 106 highly enriched CD34+ cells obtained from a patient with chronic-phase CML were further separated by flow cytometry after staining with Pyronin Y and Hoechst dyes into G1/S/G2/M and G0 fractions, yielding 6.2 × 105 and 1.3 × 105 cells, respectively. The cells were preincubated for 3 h in liquid culture with the cytokines indicated with or without PD166326 (2.5 nM) (PD16) and then plated with the same cytokine and drug concentration in methylcellulose at 300 cells per plate.261 The number of CFU-GM and BFU-E of different sizes were counted after 14 days. The cytokine concentrations used were. KL 100 ng/ml alone and 50 ng/ml in combination; G-CSF+GM-CSF, each 8 mg/ml; TPO (thrombopoietin), FL (Flt3 ligand), IL3, and IL6 all at 50 ng/ml. No EPO was added. FISH analysis was not performed in this experiment, but in similar experiments 99–100% of the cells in the CML G0-derived CFU-GM and BFU-E were Ph+ and 88–100% (mean 94%) of the cells in the CML G1/S/G2/M-derived colonies were Ph+.
After preincubating both fractions in liquid culture for 3 h with the cytokines shown in Figure 15 with and without 2.5 nM of PD166326, the cells were plated at 300 cells per plate in methylcellulose at the same cytokine and drug concentrations, and the number of CFU-GM and BFU-E of different sizes were counted after 14 days. As typically seen, the G0 cells produced many more and larger colonies than the G1/S/G2/M cells. Even in the absence of EPO, CML CD34+ G0 cells typically produce many BFU-E, unlike normal CD34+ G0 cells (not shown). The maximum CE of the CD34+ G0 cells generating CFU-GM with the five or seven cytokines shown was ∼14–15%; as in other experiments, addition of IL3 and/or IL6 to G-CSF+GM-CSF+KL+TPO+FL did not augment colony growth appreciably. Two cytokines, G-CSF+GM-CSF, stimulated growth of 63% of the number of colonies produced by the seven cytokines, but most of the former were smaller. Addition of KL to G-CSF and GM-CSF did not increase the number of CFU-GM but slightly increased their size, and, as previously seen, KL had a protective effect in overcoming the inhibition of growth caused by PD166326.
In contrast to the G0-derived GM cells, the G1/S/G2/M-derived GM cells when stimulated with G-CSF and GM-CSF±KL were inhibited very little by PD166326. In other experiments not shown, 2.5 nM of PD166326 also caused a pronounced inhibition of growth of G0-derived CFU-GM and BFU-E when they are stimulated with the same five or seven cytokines shown in Figure 15 while having lesser effect in inhibiting G1/S/G2/M-derived GM colony growth. Taken together with other data shown earlier that PD166326 inhibits cells from entering S phase, the most likely interpretation of these observations is that low concentrations of PD166326 severely inhibits the CD34+ G0 cells from commencing proliferation and only a few, mostly small colonies are formed, but the inhibitor has much less effect on inhibiting the CD34+ G1/S/G2/M cells, presumably because the latter consists largely of later committed maturing progenitors.
While it is of course not possible to conclude that even the cells forming the largest colonies are representative of stem cells capable of causing the disease, the CD34+ G0 fraction almost certainly contains a considerably enriched number of the most primitive stem or progenitor cells capable of very extensive proliferation which are largely absent in the CD34+ G1/S/M/G2 fraction. In the experiment shown in Figure 15, a maximum of 1.25 extralarge CFU-GM and 3.5 large, mixed colonies were generated by the G0 cells stimulated with five or seven cytokines. Since 300 cells were plated, taken together these high proliferative progenitors would comprise about 1.6% of the total (recovered) CD34+/G0 population of 1.2 × 105 cells or 1920 cells. Since recovery of G0 cells is incomplete, taking the above-stated estimate that on average 14% of the total starting 2.05 million CD34+ cells are in G0 (=287 000 cells) the high proliferative G0 progenitors would comprise 1.6% of these G0 cells or 4592 cells of the starting 2.05 million CD34+ population. These recovery values, the percentages of CD34+ cells in G1/S/M/G2 and G0, and the percent of high proliferative G0 cells are in the same range as those found in multiple similar experiments and in fact very close to the mean values.
Ignoring possible multipotent CD34− stem cells, the average CML patient with a total of 2.25 × 1010 Ph+ CD34+ cells at diagnosis would thus have ∼50.4 million (0.224%=1.6 × 14%) high proliferative CD34+ Ph+ G0 progenitors (Figure 14), a figure remarkably similar to the previous estimate of 50 million noncycling CD34+ Lin− Thy+ Rh Low cells using Buckle's data. These high proliferative primitive cells undoubtedly vary greatly in their ultimate proliferative potential in vivo, and the fraction capable of reproducing the disease is of course unknown. However, if for example we assume that 0.1–1% of these 50 million primitive cells are capable of repeated symmetric divisions and hence able to re-expand the true Ph+ stem cell pool and recreate the disease, then the number of these cells that have to be eliminated to effect a cure would be between 50 000 and 500 000 cells (Figure 14). Some of the remaining 99% or so of the high proliferative primitive Ph+ cells can presumably continue to divide as ‘limited stem cells’323 for many months and their progeny can continue to be detected by sensitive assays, but they would be incapable of reproducing the disease.
Obviously, these calculations are extremely rough and uncertain and are partly based on assumptions that may or may not be valid. As the disease progresses to an accelerated and then blastic phase, the fraction of cells capable of reproducing the disease presumably increases rapidly and hence the disease becomes progressively more resistant to therapy. Moreover, in addition to differences depending on the stage of disease there are undoubtedly intrinsic differences in the properties of stem cells in different patients. Nevertheless, in planning therapeutic strategies, it is helpful to have at least a rough approximation of the number of CML stem cells that must be eradicated in order to effect a cure. Perhaps the crude attempt outlined above will stimulate other investigators to examine any relevant data they may have and come up with more accurate estimates and ranges.
Regardless of whether or not 50 000–500 000 Ph+ stem cells is the correct order of magnitude, another important question is how long can some Ph+ stem cells remain dormant and escape being killed or blocked from entering S phase by inhibitors such as STI571 or PD166326. As shown earlier, even in a population of 5 million Bcr-Abl-expressing R10-negative cells in which the cells are rapidly cycling with a doubling time of ∼18 h and with no detectable cells in G0, a few cells are able to survive 30 days' one-time exposure of up to 25 nM of PD166326 and resume growing at the same rate as initially, and, moreover, retain the same sensitivity to the drug as untreated cells.
Based on autoradiographic labeling studies using continuous intravenous infusions of 3H-thymidine in patients with acute leukemia for 10–20 days, we estimated that some acute leukemic cells can remain dormant for many months and perhaps as long as a year and still be capable of reproducing the disease.322,323,409,495,496,497,498,671,672,695,696,697 Moreover, as mentioned earlier, recent data on twins and newborns suggest that sometimes acute leukemic cells may remain largely quiescent, or else controlled in a balanced state between proliferation and cell death, for many years before going on to cause overt leukemia.135,136,138,139,140 The continuous 3H-thymidine labeling infusions in chronic-phase CML patients showed, as would be expected, that essentially all of the committed maturing cells including the blasts labeled rapidly within a few days, while in blastic phase the blasts labeled much more slowly as in acute leukemia.248,324 However, there are no comparable data available on how long CML stem cells and early progenitors can remain dormant in vivo during chronic-phase and eventually cause recurrent disease. Based on the continuous labeling data and the observations that primitive CML stem cells or early progenitors have only slightly higher CEs and fractions of cycling cells than comparable normal cells, it can be assumed that some of these primitive CML stem cells can probably remain dormant for at least several months and perhaps longer.
Possible curative strategies
Despite the many uncertainties, the time may be opportune to attempt to develop a curative therapeutic strategy for CML based on the considerations summarized above. The recent development of highly potent and at least partially specific inhibitors of Bcr-Abl kinase such as STI571 or PD166326 give therapists a huge advantage that was previously unavailable in attempting to selectively destroy Ph+ stem cells. One possible strategy might be outlined as follows:
Phase 1: Preferably at diagnosis, before any other treatment, begin with a relatively short course of therapy using a combination of drugs that are known to be capable of killing the actively proliferating CML progenitors and their progeny, meanwhile sparing most of the normal, largely quiescent, stem cells that are suppressed by the leukemic cells. HU, a potent ribonucleotide reductase inhibitor, has commonly been used as the initial treatment in CML,521 and has been shown to be preferable to busulfan not only in improving survival but also in causing less damage to normal cells. HU is usually capable of destroying the majority of proliferating CML cells, but it is incapable of inducing cytogenetic remissions except when given in very high doses that are quite toxic because of nonselective damage to rapidly dividing normal cells.698 Thus, after the leukocyte count has been reduced to near normal levels by HU, it is probably preferable to immediately switch to a combination of drugs such as a purine analog (eg 6-thioguanine; 6-TG) and pyrimidine analog (Ara-C), a combination that has been shown to be fairly effective in inducing complete hematologic remissions both in AML.697,699 and CML, including some (transient) cytogenetic remissions.127,130
Since the optimal dosage and duration of this relatively nonselective treatment is unknown and will undoubtedly require individualization in different patients, it will be essential to closely monitor not only the usual hematologic parameters, but also the relative numbers of Ph+ and normal marrow cells using FISH analysis. The objective of this initial phase of treatment is to continue long enough to destroy the majority of actively proliferating CML cells, but to stop before a major fraction of normal stem cells begin to emerge from G0 and start to proliferate. Past experience has shown that once normal cells begin proliferating to repopulate the marrow, their sensitivity to drugs such as HU or Ara-C+6-TG are similar to that of leukemia cells. Hence the remissions are almost invariably quite short and retreatment with the same drugs is ineffective in re-inducing remissions.127,130,414,532,700,701,702
Phase 2: Once the majority of proliferating CML progenitors and precursors have been killed, it should then be possible to preferentially kill or at least inhibit the growth of a large fraction of the surviving Ph+ stem cells and primitive progenitors that have resumed proliferation with selective inhibitors of Bcr-Abl given at moderate doses that have little effect on regenerating normal stem cells. PD166326 or another analog with similar activity may eventually prove to be preferable to STI571 because of its greater inhibitory activity, but the most appropriate plasma concentration and route of administration have yet to be determined in clinical trials. Data such as that shown in Figure 6 should be helpful in predicting the optimal plasma level; the mean IC50 for PD173955 for CML progenitors in vitro is ∼6 nM, but concentrations of up to 25 nM have no detectable effect on normal progenitors. Since PD166326 is about four-fold more inhibitory to Bcr-Abl than PD173955, the dose can be lowered accordingly. Rather than administering the drug once daily orally, a continuous intravenous infusion administered by a portable pump will almost surely be preferable in order to maintain a constant desired plasma concentration that will selectively inhibit leukemic but not normal progenitors; however, the optimal dosage may be different by continuous infusion, and this will have to be determined in Phase I trials. Again it will be essential to monitor the number of normal and Ph+ cells in the marrow closely to determine the optimal duration of treatment individually for each patient.
Phase 3: After normal hematopoiesis has been fully restored, the majority of normal stem cells should have survived the first two stages of treatment and again be in G0, while any surviving Ph+ stem cells and early progenitors will presumably resume proliferating as soon as the inhibitor is stopped, just as before treatment. At this stage of treatment, at least in early-stage disease, there may be more normal than leukemic stem cells and the latter should be at least slightly more actively dividing, so one should have an advantage in using relatively nonselective cytotoxic drugs to try to destroy the remaining leukemic stem cells as rapidly as possible while sparing the majority of (quiescent) normal cells. Thus, at this juncture we propose giving a short course of a different selective Bcr-Abl kinase inhibitor than that used in Phase 2, given at a somewhat higher relative dosage, and combined with another relatively nonselective cytotoxic drug to try to kill the remaining quiescent leukemic cells.
It would of course be desirable if a second, highly selective potent inhibitor of Ph+ stem cells were available that targeted another site than the Bcr-Abl kinase ATP-binding pocket to act in concert with the kinase inhibitor, but no such comparable, selectively active inhibitor has yet been discovered; moreover, even if such an inhibitor existed it is questionable whether it would be capable of eliminating all the quiescent Ph+ stem cells. Currently numerous laboratories are studying the possibilities of inhibiting components of other pathways that may be involved in CML, including Ras,653,703 MEK1/2,704 CDK4,705 Cyclin D2,301 Src family kinases,666,667 and Gab2,620,623 Various combinations of active drugs including imatinib mesylate (STI571) are being examined for possible synergism in Bcr-Abl-expressing cell lines or colony-forming assays,706 and Phase I/II clinical trials of IFN-α in combination with imatinib mesylate have begun; the latter apparently produced higher rates of hematologic and cytogenetic responses in chronic-phase CML than either drug alone, but as might be expected, at the expense of greater toxicity.651,652 Although some of the proposed drug combinations may prove effective in enhancing cell kill and preventing resistance, it is improbable that they will be capable of killing all the quiescent Ph+ stem cells.
Therefore, based on past experience in treating other leukemias and observations such as those in Figure 11 and Figure 12 that illustrate the difficulty in eradicating all cells with Bcr-Abl inhibitors except at very high doses that will surely be intolerable in patients, it will probably be necessary to judiciously include a more generally cytotoxic drug at this stage of treatment that may be capable of killing surviving quiescent Ph+ stem cells or those developing resistance to Bcr-Abl inhibitors. Based on extensive experience at BMT centers, alkylating agents such as busulfan and cyclophosphamide are known to be capable of eradicating Ph+ stem cells when given in sufficiently high dosage. Since no drug has yet been discovered that will selectively damage Ph+ quiescent stem cells, ongoing studies are examining other cytotoxic drugs including anthracycline derivatives,707,708 arsenic trioxide (ATO),567,652,709,710 Taxol, and epothilone analogues,710 that it is hoped may have partial selectivity and cause less toxicity than busulfan or cyclophosphamide.
Phase 4: Since it is likely that more than one cycle of therapy will be necessary to eradicate all the Ph+ stem cells, if any are still detected in the marrow by FISH or RT-PCR analyses after the marrow has recovered from Phase 3, a second cycle of treatment should be given as soon as deemed safe. However, rather than beginning with Ara-C and 6-TG, it will probably be advisable to begin the second course with Phase 2, because based on past experience,127,130,712 antimetabolites such as Ara-C and 6-TG are more or less equally damaging to regenerating normal and CML cells. Substitution of a different Bcr-Abl kinase inhibitor than that used in the first treatment cycle should be preferable at this stage to help circumvent resistance. If needed, subsequent courses should follow a similar strategy, substituting other drugs than used in the first two cycles if available.
Since we have assumed that the long-term quiescent Ph+ stem cells are a major reason for therapeutic failure, one might consider taking advantage of their enhanced sensitivity to stimulation by single cytokines such as KL. However any such manipulation must be approached with caution because: (1) The artifical in vitro conditions used to demonstrate the increased sensitivity of Ph+ primitive progenitors to KL and other single cytokines are far different than those in the marrow environment in vivo where the cells are exposed to multiple cytokines and other cell interactions; and (2) KL partially protects Bcr-Abl-expressing cells from the effects of inhibitors as shown earlier.
Precedents for attempting to design curative protocols for CML
It can be foreseen that more cautious clinical investigators may reject the possibility of initially treating newly diagnosed patients so aggressively in attempting to develop a tolerable curative regimen, and instead prefer a more traditional stepwise approach. However, there are precedents to show that a bolder approach may lead to dramatic success much more quickly; numerous examples could be given, but two should suffice. The present status of treating CML is reminiscent of the situation facing hematologists 40 or 50 years ago in treating acute leukemia. In 1967, circulars and letters were sent to members of the American and International Societies of Hematology requesting information on any patients with acute leukemia who had survived over 5 years. In total, 157 cases were reported, all of whom had been treated only with 6-mercaptopurine, methotrexate, prednisone, or combinations thereof.713 All three drugs were capable of inducing hematologic remission in a minority of patients with acute leukemia, but the remissions were generally short and resistance developed rapidly. On subsequent follow-up in 1971 and 1978, 94 and 86 of the 157 patients respectively, were still living and well, without evidence of disease.714 The denominator was unknown, but the survivors were estimated to represent somewhere between 0.1 and 1% of all patients treated; the majority were children with ALL, but there were some adults and some patients with acute myeloblastic leukemia (AML).
Owing to of the inability to effect cures with single, relatively nonselective drugs or simple combinations thereof, many investigators undertook a more aggressive approach. At our center the L-2 protocol was initiated in 1970; 10 drugs known to have some effectiveness in ALL were combined in a sequence based on what was then known about the cytokinetic behavior of acute leukemic and normal cells.409 It quickly became apparent that the results with the L-2 were dramatically better than with previous therapy with only one or two drugs; when first reported in 1974, 73% of the children were surviving at 54–80 months, 58% of whom were still in their initial remission.715 Subsequent modifications of the L-2 and other combined therapy protocols soon led to even better results in childhood ALL, although the results of the treatment of adults with ALL with similar protocols have been much less favorable, in part because of a higher incidence of unfavorable subtypes such as Ph+ ALL and in part because of poor tolerance of intensive therapy in older patients.698,716,717,718,719,720
A second example is the extraordinary advances in the treatment of APL. Without effective therapy, APL was the most rapidly fatal of all types of leukemia; in the 1960's, the median survival after diagnosis was only 2 weeks at Memorial Hospital in New York and only 9 days in Paris according to Jean Bernard, as the majority of patients died rapidly as a result of hemorrhage, fibrinolysis, or disseminated intravascular coagulopathy, often exacerbated by cytotoxic chemotherapy. Successive improvements took place during the 1970s and 1980s with the introduction of anthracyclines, arabinosylcytosine and better management of coagulopathy,721,722,723,724 but the majority of patients were still dying of the disease until the late 1980s when ATRA became available.544,725 ATRA produced temporary complete remissions in most patients, and when combined with anthracyclines and other drugs, it appears that the great majority of patients are now being cured.89,547,548,723,726,727 In the last few years, ATO has also been shown to be remarkably effective in APL, inducing remissions in the majority of newly diagnosed patients as well as those who have relapsed after prior therapy or who were refractory to treatment with ATRA and an anthracycline.728,729,730 Moreover ATO alone, unlike ATRA alone, produced a high percentage of more durable remissions including molecular remissions with conversion to PML-RARα negativity.731 Both ATRA and ATO selectively target cells expressing the PML-RARα fusion protein and induce maturation of the APL cells by complex mechanisms.732,733 ATO also induces apoptosis by multiple mechanisms not only in APL cells but in a broad spectrum of other human tumor cells including lymphomas, lymphocytic leukemias, multiple myeloma, and CML.734 In CML cells ATO-induced apoptosis occurs independently of Bcr-Abl kinase activity.709 and has been shown to enhance inhibition of Bcr-Abl-expressing cells by imatinib mesylate.652,710 According to preliminary reports from China.735,736 ATO alone has induced remissions in a high percentage of CML patients both in the chronic and accelerates phases without excessive toxicity, although severe cardiotoxicity and hepatotoxicity has occurred in other trials with ATO, possibly related to impure preparations.566 Phase I/II trials combining ATO and imatinib mesylate are planned for both chronic and later phases of CML.652
While a great deal has already been learned, the molecular and biochemical pathways and interactions are so complex and knowledge of all the genes and proteins involved still so fragmentary that it will be many years before all the details are known as to why such drugs as ATRA and ATO are especially effective in treating APL and perhaps other human neoplasias. Now that the crystal structure of Abl kinase is known, it is possible to define the interactions of specific inhibitors such as STI571 and PD166326 with more precision, but there is still much to be learned about why these compounds are so uniquely inhibitory not only to Abl, but also to c-kit and PDGF-R. The crystal structures of these two related receptor tyrosine kinase domains are still unreported but the structure of a larger construct of Abl including the SH2 and SH3 domains has recently been published.195
There is presently so much interest in CML among investigators in different disciplines that we can be assured there will be steady progress, but in the meantime it can be argued that enough is already known that we are on the threshold of being able to devise a curative strategy for CML. The strategy proposed above may appear overly simplistic to some and perhaps other investigators will have better ideas. Nevertheless, the availability of highly selective inhibitors of Bcr-Abl may provide the needed specificity that was missing in previous largely unsuccessful intensive treatment protocols, and if properly integrated with other drugs in a comprehensive treatment schedule, it may be possible to achieve results comparable to those in childhood ALL and APL. With a curative goal in mind, more attention should be given to the difficult problems of more clearly defining and quantifying the Ph+ stem cells that can reproduce the disease, better characterizing quiescent cells and determining the range and maximum duration of their dormant state, and developing drugs that will have more selectivity in destroying these quiescent leukemic stem cells. Much attention is currently being given to studying different types of resistance to STI571, but this should not be an insuperable problem in a well-designed combined drug regimen.
Summary and conclusions
The present treatment of CML is unsatisfactory and only a minority of patients are presently being cured. CML is an excellent target for the development of selective treatment because of its highly consistent genetic abnormality and qualitatively different fusion gene product with constitutive tyrosine kinase activity, p210bcr-abl. p210bcr-abl has been shown to have a key role in severely dysregulating a number of critical regulatory circuits, but the signaling pathways affected are complex and still incompletely defined. The p210bcr-abl protein appears to be solely responsible for all the initial manifestations of the chronic-phase of this disease, and CML is thus an excellent model of an early form of human cancer because of a single acquired genetic abnormality.
Evidence is presented that Bcr-Abl kinase pathways that are constitutively activated in CML stem cells and primitive progenitors cooperate with cytokines to increase the proportion of stem cells that are activated and thereby increase recruitment into the committed progenitor cell pool. We propose this increased activation of Ph+ stem cells is the primary and major cause of the massive myeloid expansion in CML. The cooperative interactions between Bcr-Abl- and cytokine-activated pathways disrupt the synergistic interactions between multiple cytokines normally required for this process, while at the same time causing numerous subtle biochemical and functional abnormalities in the later progenitors and precursor cells that we have collectively called discordant maturation or development. The committed CML progenitors exhibit accelerated maturation and reduced proliferative capacity compared to normal committed progenitors, and like them are destined to die after a limited number of divisions. Thus, the aim of any curative strategy must be to totally eradicate all Ph+ stem cells that are capable of symmetric division, re-expanding the Ph+ primitive stem cell pool, and thereby able to reproduce the disease. A number of highly potent and partially selective inhibitors of Bcr-Abl kinase have recently become available that are capable of killing the majority of actively proliferating early CML progenitors with minimal damage to normal progenitors. Despite their enhanced activation, and like their normal counterparts, the great majority of CML primitive stem cells are quiescent at any given time and hence relatively invulnerable to the Bcr-Abl kinase inhibitors as well as other drugs that preferentially kill proliferating cells. The survival of dormant Ph+ stem cells is probably the major reason for inability to cure the disease during initial treatment, while other forms of resistance may assume more importance later. Based on a number of assumptions, we have made rough estimates of the average number of Ph+ primitive stem cells present at diagnosis in chronic-phase CML that must be destroyed to effect a cure.
A possible curative strategy is then proposed that attempts to take optimal advantage of the highly potent inhibitors of Bcr-Abl in combination with other drugs that may be at least partially selectively cytocidal to the dormant Ph+ stem cells. CML has often served as an exemplar of human neoplasia in the past, and any promising new therapeutic leads resulting from this endeavor may have broad applicability to other types of early human cancers.
References
Bennett JH . Case of hypertrophy of the spleen and liver in which death took place from suppuration of the blood. Edinburgh Med Surg J 1845; 64: 413.
Craigie D . Case of disease of the spleen in which death took place in consequence of the presence of purulent matter in the blood. Edinburgh Med Surg J 1845; 64: 400.
Virchow R . Weisses Blut. Froiep's Notizen 1845; 36: 151.
Virchow R . Weisses Blut und Milztumoren I. Med Ztg 1846; 15: 157.
Friedreich N . Ein never fall von leukämie. Arch Pathol Anat 1857; 12: 37.
Fraenkel A . Veber acute leukämie. Dtsch Med Wochenschr 1895; 21: 639.
Neumann E . Veber myelogene leukämie. Berl Klin Wochenschr 1878; 15: 69.
Ehrlich P . Farbenanolytische untersuchungen zur histologic and klinik des blutes. Berlin: Hirschwald, 1891.
Naegli O . Veber rotes knochenmark and myeloblasten. Dtsch Med Wochenschr 1890; 26: 287.
Türk W . Ein systen der lymphomatosen. Wien Klin Wochenschr 1903; 16: 1073.
Baike AG, Court Brown WM, Buckton KE . A possible specific chromosome abnormality in human chronic myeloid leukemia. Nature 1960; 188: 1165.
Nowell PC, Hungerford DA . Chromosome studies on normal and leukemic human leukocytes. J Natl Cancer Inst 1960; 25: 85–109.
Nowell PC, Hungerford DA . Chromosome studies in human leukemia. II. Chronic granulocytic leukemia. J Natl Cancer Inst 1961; 27: 1013.
Tough IM, Court Brown WM, Buckton KE . Cytogenetic studies in chronic leukemia and acute leukemia associated with mongolism. Lancet 1961; 1: 411.
Caspersson T, Gahrton G, Lindsten J, Zech L . Identification of the Philadelphia chromosome on a number 22 by quinacrine mustard fluorescence analysis. Exp Cell Res 1970; 63: 238–240.
Rowley JD . A new consistent chromosomal abnormality in chronic myelogenous leukaemia identified by quinacrine, fluorescence and Giemsa staining. Nature 1973; 243: 290–293.
Bartram CR, de Klein A, Hagemeijer A, van Agthoven T, Geurts von Kessel A, Bootsma D et al. Translocation of c-abl oncogene correlates with the presence of a Philadelphia chromosome in chronic myelocytic leukaemia. Nature 1983; 306: 277–280.
DeKlein A, Van Kessel AG, Grosveld G . A cellular oncogene is translocated to the Philadelphia chromosome in chronic myelocytic leukemia. Nature 1982; 300: 765.
Groffen J, Stephenson JR, Heisterkamp N, de Klein A, Bartram CR, Grosveld G . Philadelphia chromosomal breakpoints are clustered within a limited region, bcr, on chromosome 22. Cell 1984; 36: 93–99.
Shtivelman E, Lifshitz B, Gale RP, Canaani E . Fused transcript of abl and bcr genes in chronic myeloid leukaemia. Nature 1985; 315: 550–554.
Konopka JB, Watanabe SM, Witte ON . An alteration of the human c-abl protein in K562 leukemia cells unmasks associated tyrosine kinase activity. Cell 1984; 37: 1035–1042.
Konopka JB, Witte ON . Detection of c-abl tyrosine kinase activity in vitro permits direct comparison of normal and altered abl gene products. Mol Cell Biol 1985; 5: 3116–3123.
Dreazen O, Klisak I, Rassool F, Goldman JM, Sparkes RS, Gale RP . Do oncogenes determine clinical features in chronic myeloid leukaemia? Lancet 1987; 1: 1402–1405.
Guo JQ, Wang JYJ, Arlinghaus RB . Detection of BCR-ABL proteins in blood cells of benign phase chronic myelogenous leukemia patients. Cancer Res 1991; 51: 3048.
Kurzrock R, Blick MB, Talpaz M . Rearrangement in the breakpoint cluster region and the clinical course in Philadelphia-negative chronic myelogenous leukemia. Ann Intern Med 1986; 105: 673.
Morris CM, Reeve AE, Fitzgerald PH, Hollings PE, Beard MEJ, Heaton DC . Genomic diversity correlates with clinical variation in Ph1 negative chronic myeloid leukaemia. Nature 1986; 320: 281–283.
Weinstein ME, Grossman A, Perle MA . The karyotype of Philadelphia chromosome-negative, bcr rearrangement-positive chronic myeloid leukemia. Cancer Genet Cytogenet 1988; 35: 223.
Vander Plas DC, Hermans ABC, Goekarman D . Cytogenetic and molecular analysis in Philadelphia negative CML. Blood 1989; 73: 1038.
Wisniewski D, Strife A, Wojciechowicz D, Lambek C, Clarkson B . Rapid Communication: A 62-kilodalton tyrosine phosphoprotein constitutively present in primary chronic phase chronic myelogenous leukemia enriched lineage negative blast populations. Leukemia 1994; 8: 688–693.
Bartram CR, Anger B, Carbonell F, Kleihauer E . Involvement of chromosome 9 in variant Ph1 translocation. Leukemia Res 1985; 9: 1133.
Morris CM, Rosman I, Archer SA . A cytogenetic and molecular analysis of five variant Philadelphia translocations in chronic myeloid leukemia. Cancer Genet Cytogenet 1988; 35: 179.
Boveri T . Zur Frage der Entstehung maligner Tumoren. Jena: Gustav Fischer, 1914.
Heim S, Mitelman F (eds). Cancer Cytogenetics, 2nd edn. New York: Wiley-Liss Inc., 1995.
Rowley JD . Molecular cytogenetics: Rosetta stone for understanding cancer – twenty-ninth G.H.A. Clowes Memorial Award Lecture. Cancer Res 1990; 50: 3816–3825.
Sandberg AA, Turc-Carel C, Gemmill RM . Chromosomes in solid tumors and beyond. Cancer Res 1988; 48: 1049–1059.
Yunis JJ . Recurrent chromosomal defects are found in most patients with acute nonlymphocytic leukemia. Cancer Genet Cytogenet 1984; 11: 125–137.
Yunis JJ, Oken MM, Theologides A, Howe RB, Kaplan ME . Recurrent chromosomal defects are found in most patients with non-Hodgkin's-lymphoma. Cancer Genet Cytogenet 1984; 13: 17–28.
Le Beau MM, Larson RA . Cytogenetics and neoplasia (Chapter 59). In: Hoffman, R, Benz Jr EJ, Shattil, SJ, Furie, B, Cohen, HJ, Silberstein LE (eds). Hematology – Basic Principles and Practice, 2nd edn. New York: Churchill Livingstone Inc., 1995, pp 878–898.
Sandberg AA, Gemmill RM, Hecht BK . The Philadelphia chromosome: A model of cancer and molecular cytogenetics. Cancer Genet Cytogenet 1986; 21: 129–146.
Singh S, Wass J, Vincent PC, Young GAR, Gunz FW . Significance of secondary cytogenetic changes in patients with Ph-positive chronic granulocytic leukemia in the acute phase. Cancer Genet Cytogenet 1986; 21: 209–220.
Sokal JE, Gomez GA, Baccarani M, Tura S, Clarkson BD, Cervantes F et al. Prognostic significance of additional cyto-genetic abnormalities at diagnosis of Philadelphia chromosome-positive chronic granulocytic leukemia. Blood 1988; 72: 294–298.
Swolin B, Weinfeld A, Westin J, Waldenstrom J, Magnusson B . Karyotypic evolution in Ph-positive chronic myeloid leukemia in relation to management and disease progression. Cancer Genet Cytogenet 1985; 18: 65–79.
Laneuville P, Heisterkamp N, Groffen J . Expression of the chronic myelogenous leukemia-associated p210bcr/abl oncoprotein in a murine IL-3 dependent myeloid cell line. Oncogene 1991; 6: 275–282.
Bernstein R . Cytogenetics of chronic myelogenous leukemia. Semin Hematol 1988; 25: 20–34.
Sandberg A . The leukemias – chronic granulocytic leukemia. In: The Chromosomes in Human Cancer and Leukemia. New York: Elsevier, 1980, pp 183–261.
Sandberg AA . The cytogenetics of chronic myelocytic leukemia (CML): Chronic phase and blastic crisis. Cancer Genet Cytogenet 1980; 1: 217.
Stoll C, Oberline G . Non-random clonal evolution in 45 cases of chronic myeloid leukemia. Leukemia Res 1980; 46: 61.
Bartram CR, Janssen JWG, Becher R, De Klein A, Grosveld G . Persistence of chronic myelocytic leukemia despite deletion of rearranged bcr/c-abl sequences in blast crisis. J Exp Med 1986; 164: 1389–1396.
Hagemeijer A, Smith EME, Lowenberg B, Abels J . Chronic myeloid leukemia with permanent disappearance of the Ph1 chromosome and development of new clonal subpopulations. Blood 1979; 53: 1–14.
Laneuville P, Sullivan AK . Clonal succession and deletion of bcr/abl sequences in chronic myelogenous leukemia with recurrent lymphoid blast crisis. Leukemia 1991; 5: 752.
Alimena G, De Cuia MR, Diverio D, Gastaldi R, Nanni M . The karyotype of blastic crisis. Cancer Genet Cytogenet 1987; 26: 39–50.
Aventin A, Mecucci C, VanOrshonen A . Variant (3,21) translocation and megakaryocytic involvement in blastic crisis of Philadelphia positive chronic myeloid leukaemia. Br J Haematol 1989; 71: 562.
Bernstein R, Bagg A, Pinto M, Lewis D, Mendelow B . Chromosome 3q21 abnormalities associated with hyperactive thrombopoiesis in acute blastic transformation of chronic myeloid leukemia. Blood 1986; 68: 652–657.
Diez-Martin JL, DeWald GW, Pierre RV . Possible cytogenetic distinction between lymphoid and myeloid blast crisis in chronic granulocytic leukemia. Am J Hematol 1988; 27: 194.
Hogge DE, Misawa S, Schiffer CA, Testa JR . Promyelocytic blast crisis in chronic granulocytic leukemia with 15,17 translocation. Leukemia Res 1984; 8: 1019–1023.
Mitani K, Miyazono K, Urabe A, Takaku F . Karyotypic changes during the course of blastic crisis of chronic myelogenous leukemia. Cancer Genet Cytogenet 1989; 39: 299.
O'Malley FM, Garson OM . Chronic granulocytic leukemia: Correlation of blastic transformation type with karyotypic evolution. Am J Hematol 1985; 20: 313–323.
Parreira L, Kearney L, Rassool F, Babapulle VB, Matutes E, Parreira A et al. Correlation between chromosomal abnormalities and blast phenotype in the blast crisis of Ph-positive CGL. Cancer Genet Cytogenet 1986; 22: 29–34.
Whang-Peng J, Knutsen T . Chromosomal abnormalities. In: Shaw MT (ed). Chronic Granulocytic Leukemia. UK: Praeger, East Sussex, 1982, pp 49–92.
Ahuja H, Bar-Eli M, Arlin Z, Advani S, Allen SL, Goldman J et al. The spectrum of molecular alterations in the evolution of chronic myelocytic leukemia. J Clin Invest 1991; 87: 2042.
Marshal R, Shtalrid M, Talpaz M, Kantarjian H, Smith L, Beran M et al. Rearrangement and expression of p53 in the chronic phase and blast crisis of chronic myelogenous leukemia. Blood 1990; 75: 180.
Trotta R, Vignudelli T, Pecorari L, Candini O, Guerzoni C, Santilli G et al. BCR/ABL activates mdm2 mRNA translation via the La antigen. Blood 2002; 100: 582a (Abstract 2289).
Towatari M, Adachi K, Kato H, Saito H . Absence of the human retinoblastoma gene product in the megakaryoblastic crisis of chronic myelogenous leukemia. Blood 1991; 78: 2178.
LeMaistre A, Lee MS, Talpaz M, Kantarjian HM, Freireich EJ, Deisseroth AB et al. Ras oncogene mutations are rare late stage events in chronic myelogenous leukemia. Blood 1989; 73: 889.
McCarthy DM, Rassool FV, Goldman JM, Graham SV, Birnie GD . Genomic alterations involving the c-myc protooncogene locus during the evolution of a case of chronic granulocytic leukaemia. Lancet 1984; 2: 1362.
Sill H, Goldman JM, Cross NC . Homozygous deletions of the p16 tumor-suppressor gene are associated with lymphoid transformation of chronic myeloid leukemia. Blood 1995; 85: 2013–2016.
Ahuja HG, Popplewell L, Tcheurekdjian L, Slovak ML . NUP98 gene rearrangements and the clonal evolution of chronic myelogenous leukemia. Genes Chromosomes Cancer 2001; 30: 410–415.
Deininger MW, Goldman JM, Melo JV . The molecular biology of chronic myeloid leukemia. Blood 2000a; 96: 3343–3356.
Faderl S, Talpaz M, Estrov Z, O'Brien S, Kurzrock R, Kantarjian HM . The biology of chronic myeloid leukemia. N Engl J Med 1999; 341: 164–172.
Dierov JK, Dierova R, Carroll M . BCR/ABL translocates to the nucleus after DNA damage and interacts with the ataxia-telangiectasia mutant (ATM) protein to modify DNA repair. Blood 2002; 100: 204a (Abstract 764).
Romana DL, Nowicki MO, Falinski R, Stoklosa T, Blasiak J, Skorski T . BCR/ABL stimulates reactive oxygen species to induce DNA double strand breaks, resulting in unfaithful recombination repair and genomic instability. Blood 2002; 100: 581a (Abstract 2284).
Slupianek A, Gurdek E, Koptyra M, Nowicki MO, Skorski T . BCR/ABL stimulates bloom syndrome (BLM) RecQ Helicase: role in resistance to DNA damage. Blood 2002; 100: 583a (Abstract 2294).
Canellos GP, Griffin JD . Chronic granulocytic leukemia: the heterogeneity of stem cell differentiation within a single disease entity. Semin Oncol 1985; 12: 281.
Champlin RE, Golde DW . Chronic myelogenous leukemia: recent advances. Blood 1985; 65: 1039.
Clarkson B . Hematologic malignancies: editorial overview. In: Adamson JW (ed). Current Opinion in Hematology. Philadelphia: Current Science, 1993, pp 167–171.
Clarkson B, Strife A . Review: linkage of proliferative and maturational abnormalities in chronic myelogenous leukemia and relevance to treatment. Leukemia 1993a; 7: 1683–1721.
Griffin JD, Tantravahi R, Canellos GP, Wisch JS, Reinherz EL, Sherwood G et al. T cell surface antigens in a patient with blast crisis of chronic myeloid leukemia. Blood 1983; 61: 640.
Janossy G, Greaves MF, Revesz T, Lister TA, Roberts M, Durrant J et al. Blast crisis of chronic myeloid leukaemia (CML): cell surface marker analysis of ‘lymphoid’ and myeloid cases. Br J Haematol 1976; 34: 179.
Armitage P, Doll R . The age distribution of cancer and a multistage theory of cancer. Br J Cancer 1954; 8: 1–12.
Doll R . The age distribution of cancer: implications for models of carcinogenesis. J R Stat Soc Ser A 1971; 134: 133.
Feinberg AP . Human colorectal cancer. In: Cossman J (ed). Molecular Genetics in Cancer Diagnosis. New York: Elsevier, 1990, pp 419–430.
Hanahan D, Weinberg RA . Review. The hallmarks of cancer. Cell 2000; 100: 57–70.
Peto R, Roe FJC, Lee PN, Levy L, Clack J . Cancer and aging in mice and men. Br J Cancer 1975; 32: 411–426.
Vogelstein B, Fearon ER, Hamilton SR, Kern SE, Preisinger AC, Leppert M et al. Genetic alterations during colorectal-tumor development. N Engl J Med 1988; 319: 525–532.
Weinberg RA . Oncogenes and multistep carcinogenesis. In: Weinberg RA (ed). Oncogenes and The Molecular Origins of Cancer. New York: Cold Spring Harbor Laboratory Press, 1989, pp 307–326.
Folkman J . Editorial: what is the evidence that tumors are angiogenesis dependent? J Natl Cancer Inst 1990; 82: 4–6.
Steeg PS, Bevilacqua G, Sobel ME, Liotta L . Invasion and metastasis. In: Cossman J (ed). Molecular Genetics in Cancer Diagnosis. New York: Elsevier, 1990, pp 104–112.
Clarkson B . New pharmacologic approaches to treatment of leukemia. Semin Hematol 1991; 28(Suppl 4): 99–115.
Clarkson B . Retinoic acid in acute promyelocytic leukemia: the promise and the paradox. Cancer Cells 1991; 3: 211–220.
Nowell P . The clonal evolution of tumor populations. Science 1976; 194: 23–28.
Weinstein IB . Disorders in cell circuitry during multistage carcinogenesis: the role of homeostasis. Carcinogenesis 2000; 21: 857–864.
Weinstein IB . Addiction to oncogenes – the Achilles heel of cancer. Science 2002; 297: 63–64.
Chaganti RSK, Bailey RB, Jhanwar SC, Arlin ZA, Clarkson BD . Chronic myelogenous leukemia in the monosomic cell line of a fertile Turner syndrome mosaic (45,X/46,XX). Cancer Genet Cytogenet 1982; 5: 215–221.
Chaganti RSK, Jhanwar SC, Arlin ZA, Clarkson BD . Chronic myelogenous leukemia in an XYY male. Cancer Genet Cytogenet 1982; 5: 223–226.
Fialkow PJ, Garther SM, Yoshida A . Clonal origin of chronic myelocytic leukemia in men. Proc Natl Acad Sci USA 1967; 58: 1468.
Fialkow PJ, Martin PJ, Najfeld V . Evidence of a multi-step pathogenesis of chronic myelogenous leukemia. Blood 1981; 58: 158–163.
Fitzgerald PH, Pickering AF, Eiby JR . Clonal origin of the Philadelphia chromosome and chronic myeloid leukemia. Evidence from a sex chromosome mosaic. Br J Haematol 1971; 21: 473–480.
Lucas GS, Padua RA, Masters GS, Oscier DG, Jacobs A . The application of X-chromosome gene probes to the diagnosis of myeloproliferative disorders. Br J Haematol 1989; 72: 530–533.
Taylor KM, Shetta M, Talpaz M, Kantarjian H, Hardikar S, Chinault AC et al. Myeloproliferative disorders: Usefulness of X-linked probes in diagnosis. Leukemia 1989; 3: 419.
Gilliland DG, Blanchard KL, Bunn HF . Clonality in myeloproliferative disorders: analysis by means of the polymerase chain reaction. Proc Natl Acad Sci USA 1991; 88: 6848–6852.
Harrison CJ, Chang J, Johnson D . Chromosomal evidence of a common stem cell in acute lymphoblastic leukemia and chronic granulocytic leukemia. Cancer Genet Cytogenet 1984; 13: 331.
Leibowitz D, Schaefer-Rego K, Popenoe DW . Variable breakpoints on the Philadelphia chromosome in chronic myelogenous leukemia. Blood 1985; 66: 243.
Yoffe G, Chinault AG, Talpaz M . Clonal nature of Philadelphia chromosome positive and negative chronic myelogenous leukemia by DNA hybridization analysis. Exp Hematol 1987; 15: 725.
Nitta M, Kato Y, Strife A, Wachter M, Fried J, Perez A et al. Incidence of involvement of the B and T lymphocyte lineages in chronic myelogenous leukemia. Blood 1985; 66: 1053–1061.
Konopka JB, Clark S, McLaughlin J, Nitta M, Kato Y, Strife A et al. Variable expression of the translocated c-abl oncogene in Philadelphia-chromosome-positive B-lymphoid cell lines from chronic myelogenous leukemia patients. Proc Natl Acad Sci USA 1986; 83: 4049–4052.
Bartram CR, Raghavachar A, Anger B, Stain C, Bettelheim P . T lymphocytes lack rearrangement of the bcr gene in Philadelphia chromosome-positive chronic myelocytic leukemia. Blood 1987; 69: 1682.
Jonas D, Lubbert M, Kawasaki ES, Henke M, Bross RJ, Mertelsmann R et al. Clonal analysis of bcr-abl rearrangement in T lymphocytes from patients with chronic myelogenous leukemia. Blood 1992; 79: 1017.
Akashi K, Mizuno S-I, Harada M, Kimura N, Kinjyo M, Shibuya T et al. T lymphoid/myeloid bilineal crisis in chronic myelogenous leukemia. Exp Hematol 1993; 21: 743–748.
Schenk TM, Keyhani A, Bottcher S, Kliche K-O, Goodacre A, Guo J-Q et al. Multilineage involvement of Philadelphia chromosome positive acute lymphoblastic leukemia. Leukemia 1998; 12: 666–674.
Gunsilius E, Duba H-C, Petzer AL, K_hler CM, Gr_newald K, Stockhammer G et al. Early report: evidence from a leukae-mia model for maintenance of vascular endothelium by bone-marrow-derived endothelial cells. Lancet 2000; 355: 1688–1691.
Green AR . Commentary: haemangioblast origin of chronic myeloid leukemia? Lancet 2000; 355: 1659–1660.
Bjornson CR, Rietze RL, Reynolds BA, Magli MC, Vescovi AL . Turning brain into blood: a hematopoietic fate adopted by adult neural stem cells in vivo. Science 1999; 283: 534–537.
Ferrari G, Cusella-De Angelis G, Coletta M . Muscle regeneration by bone marrow-derived myogenic progenitors. Science 1998; 279: 1528–1530.
Jiang Y, Jahagirdar BN, Reinhardt RL, Schwartz RE, Keene CD, Ortiz-Gonzalez XR et al. Pluripotency of mesenchymal stem cells derived from adult marrow. Nature 2002; 418: 41–49.
Bartram CR, Janssen JW, Becher R . Persistence of CML despite deletion of rearranged bcr/c-abl sequences. Haematol Bluttransfus 1987; 31: 145.
Fegan C, Morgan G, Whittaker JA . Spontaneous remission in a patient with chronic myeloid leukaemia. Br J Haematol 1989; 72: 594.
Laneuville P, Sun G, Timm M, Vekemans M . Clonal evolution in a myeloid cell line transformed to interleukin-3 independent growth by retroviral transduction and expression of p210bcr/abl. Blood 1992; 80: 1788–1797.
Lisker R, Casas L, Mutchinick O . Late-appearing Philadelphia chromosome in two patients with chronic myelogenous leukemia. Blood 1980; 56: 812.
Smadja M, Krulik M, DeGramont A . Acquisition of a Philadelphia chromosome concomitant with transformation of a refractory anemia into an acute leukemia. Cancer 1985; 55: 1477.
Smadja N, Krulik M, Audebert AA . Spontaneous regression of cytogenetic and haematology anomalies in Ph1-positive chronic myelogenous leukaemia. Br J Haematol 1986; 63: 257.
Wodzinski MA, Potter AM, Lawrence ACK . Prolonged survival in chronic granulocytic leukemia associated with loss of the Philadelphia chromosome. Br J Haematol 1989; 71: 296.
Martin PJ, Najfeld V, Fialkow PJ . Review article: B-lymphoid cell involvement in chronic myelogenous leukemia: Implications for the pathogenesis of the disease. Cancer Genet Cytogenet 1982; 6: 359–368.
Clarkson B, Strife A, Perez A, Lambek C, Wisniewski D . Integration of molecular and biological abnormalities in quest for selective treatment of chronic myelogenous leukemia (CML). Leuk Lymphoma 1993b; 11(Suppl 2): 81–100.
Bumm T, Mueller C, Leiblein S, Al-Ali H-K, Krohn K, Shepherd P et al. Restoration of polyclonal hematopoiesis in most CML patients in complete cytogenetic remission to imatinib but rapid emergence of clonal cytogenetic abnormalities in Ph-negative cells in a subset of patients. Blood 2002; 100: 164a (Abstract 613).
Clarkson B, Strife A . Cytokinetic considerations relevant to development of a successful therapeutic strategy in chronic myelogenous leukemia CML). Leuk Lymphoma 1993c; 11(Suppl 1): 101–107.
Claxton D, Deisseroth A, Talpaz M, Reading C, Kantarjian H, Trujillo J et al. Polyclonal hematopoiesis in interferon-induced cytogenetic remissions of chronic myelogenous leukemia. Blood 1992; 79: 997–1002.
Cunningham I, Gee T, Dowling M, Chaganti R, Bailey R, Hopfan S et al. Results of treatment of Ph1 chronic myelogenous leukemia with an intensive treatment regimen (L-5). Blood 1979; 53: 375–395.
Dubé ID, Arlin ZA, Kalousek DK, Eaves CJ, Eaves AC . Concise report: nonclonal hemopoietic progenitor cells detected in long-term marrow cultures from a Turner syndrome mosaic with chronic myeloid leukemia. Blood 1984; 64: 1284–1287.
Dunbar CE, Stewart FM . Separating the wheat from the chaff: selection of benign hematopoietic cells in chronic myeloid leukemia. Blood 1992; 79: 1107.
Goto T, Nishikori M, Arlin Z, Gee T, Kempin S, Burchenal J et al. Growth characteristics of leukemic and normal hematopoietic cells in Ph′+ chronic myelogenous leukemia and effects of intensive treatment. Blood 1982; 59: 793–808.
Singer JW, Arlin ZA, Najfeld V, Adamson JW, Kempin SJ, Clarkson BD et al. Restoration of nonclonal hematopoiesis in chronic myelogenous leukemia (CML) following a chemotherapy-induced loss of the Ph1 chromosome. Blood 1980; 56: 356–360.
Strife A, Lambek C, Wisniewski D, Wachter M, Gulati SC, Clarkson BD . Discordant maturation as the primary biological defect in chronic myelogenous leukemia. Cancer Res 1988; 48: 1035–1041.
Hogge DE, Coulombel L, Kalousek DK, Eaves CJ, Eaves AC . Nonclonal hemopoietic progenitors in a G6PD heterozygote with chronic myelogenous leukemia revealed after long-term marrow culture. Am J Hematol 1987; 24: 389–394.
Feldman EJ, Najfeld V, Schuster MW, Roboz GJ, Chadburn A, Goodman O et al. The emergence of Philadelphia chromosome (Ph) negative, trisomy 8 positive cells in patients with chronic myelogenous leukemia (CML) treated with imatinib mesylate: clinical evidence for a multistep pathogenesis. Blood 2002; 100: 585a (Abstract 2299).
Ford AM, Bennett CA, Price CM, Bruin MCA, Van Wering ER, Greaves M . Fetal origins of the TEL-AML1 fusion gene in identical twins with leukemia. Proc Natl Acad Sci USA 1998; 95: 4584–4588.
Wiemels JL, Cazzaniga G, Daniotti M, Eden OB, Addison GM, Masera G et al. Prenatal origin of acute lymphoblastic leukaemia in children. Lancet 1999; 354: 1499–1503.
Gale KB, Ford AM, Repp R, Borkhardt A, Keller C, Eden OB et al. Backtracking leukemia to birth: identification of clonotypic gene fusion sequences in neonatal blood spots. Proc Natl Acad Sci USA 1997; 94: 13950–13954.
Maia AT, Ford AM, Jalali GR, Harrison CJ, Taylor GM, Eden OB et al. Brief report: molecular tracking of leukemogenesis in a triplet pregnancy. Blood 2001; 98: 478–482.
Wiemels JL, Ford AM, Van Wering ER, Postma A, Greaves M . Protracted and variable latency of acute lymphoblastic leukemia after TEL-AML1 gene fusion in utero. Blood 1999; 94: 1057–1062.
Mori H, Colman SM, Xiao Z, Ford AM, Healy LE, Donaldson C et al. Chromosome translocations and covert leukemic clones are generated during normal fetal development. Proc Natl Acad Sci USA 2002; 99: 8242–8247.
Biernaux C, Sels A, Huez G, Stryckmans P . Very low level of major BCR-ABL expression in blood of some healthy individuals. Bone Marrow Transplant 1996; 17(Suppl 3): S45–S47.
Bose S, Deininger M, Gora-Tybor J, Goldman JM, Melo JV . The presence of typical and atypical BCR-ABL fusion genes in leukocytes of normal individuals: biologic significance and implications for the assessment of minimal residual disease. Blood 1998; 92: 3362–3367.
Matioli GT . BCR-ABL insufficiency for the transformation of human stem cells into CML. Medical Hypotheses 2002; 59: 588–589.
Daley GQ, Van Etten RA, Baltimore D . Induction of chronic myelogenous leukemia in mice by the P210bcr-abl gene of the Philadelphia chromosome. Science 1990; 247: 824–830.
Daley GQ, Van Etten RA, Baltimore D . Blast crisis in a murine model of chronic myelogenous leukemia. Proc Natl Acad Sci USA 1991; 88: 11335–11338.
Daley GQ, Ben-Neriah Y . Implicating the bcr/abl gene in the pathogenesis of Philadelphia chromosome-positive human leukemia. Adv Cancer Res 1991; 57: 151–184.
Heisterkamp N, Jenster G, ten Hoeve J, Zovich D, Pattengale PK, Groffen J . Acute leukaemia in bcr/abl transgenic mice. Nature (London) 1990; 344: 251–253.
Li S, Ilaria Jr RL, Million RP, Daley GQ, Van Etten RA . The P190, P210, and P230 forms of the BCR/ABL oncogene induce a similar chronic myeloid leukemia-like syndrome in mice but have different lymphoid leukemogenic activity. J Exp Med 1999; 189: 1399–1412.
Lugo TG, Pendergast A-M, Muller AJ, Witte ON . Tyrosine kinase activity and transformation potency of bcr-abl oncogene products. Science 1990; 247: 1079–1108.
Pear WS, Miller JP, Xu L, Pui JC, Soffer B, Quackenbush RC et al. Efficient and rapid induction of a chronic myelogenous leukemia-like myeloproliferative disease in mice receiving P210 bcr/abl-transduced bone marrow. Blood 1998; 92: 3780–3792.
Roumiantsev S, de Aos IE, Varticovski L, Ilaria RL, Van Etten RA . The src homology 2 domain of Bcr/Abl is required for efficient induction of chronic myeloid leukemia-like disease in mice but not for lymphoid leukemogenesis or activation of phosphatidylinositol 3-kinase. Blood 2001; 97: 4–13.
Wolff NC, Ilaria Jr RL . Establishment of a murine model for therapy-treated chronic myelogenous leukemia using the tyrosine kinase inhibitor STI571. Blood 2001; 98: 2808–2816.
Zhang X, Wong R, Hao SX, Pear WS, Ren R . The SH2 domain of bcr-Abl is not required to induce a murine myeloproliferative disease: however, SH2 signaling influences disease latency and phenotype. Blood 2001; 97: 277–287.
Voncken JW, Morris C, Pattengale P . Clonal development and karyotype evolution during leukemogenesis of BCR/ABL transgenic mice. Blood 1992; 79: 1029–1036.
Ren R . Dissecting the molecular mechanism of chronic myelogenous leukemia using murine models. Leukemia Lymphoma 2002; 43: 1549–1561.
Era T, Witte ON . Regulated expression of P210 Bcr-Abl during embryonic stem cell differentiation stimulates multipotential progenitor expansion and myeloid cell fate. Proc Natl Acad Sci USA 2000; 97: 1737–1742.
Pendergast AM . The Abl kinases: mechanisms of regulation and signaling. Adv Cancer Res 2002; 85: 51–100.
Arlinghaus RB . Working hypothesis: multiple BCR-related gene products and their proposed involvement in ligand-induced signal transduction pathways. Mol Carcinogenesis 1992; 5: 171–173.
Campbell ML, Arlinghaus RB . Current status of the BCR gene and its involvement with human leukemia. Adv Cancer Res 1991; 57: 227–256.
Maru Y, Witte ON . The BCR gene encodes a novel serine/threonine kinase activity within a single exon. Cell 1991; 67: 459.
McWhirter JR, Wang JYJ . Activation of tyrosine kinase and microfilament-binding functions of c-abl by bcr sequences in bcr/abl fusion proteins. Mol Cell Biol 1991; 11: 1553–1565.
McWhirter JR,, Galasso DL, Wang JYJ . A coiled-coil oligomerization domain of Bcr is essential for the transforming function of Bcr-Abl oncoproteins. Mol Cell Biol 1993b; 13: 7587–7595.
Pendergast AM, Muller AJ, Havlik MH, Maru Y, Witte ON . BCR sequences essential for transformation by the BCR-ABL oncogene bind to the ABL SH2 regulatory domain in a non-phosphotyrosine-dependent manner. Cell 1991; 66: 161–171.
Melo JV . Overview: the molecular biology of chronic myeloid leukaemia. Leukemia 1996; 10: 751–756.
Pendergast AM . BCR/ABL protein domain function and signaling. In: Chronic Myeloid Leukaemia: Biology and Treatment. London: Martin Dunitz Ltd., 2001, pp 19–39.
Raitano AB, Whang YE, Sawyers CL . Signal transduction by wild-type and leukemogenic Abl proteins. Biochim Biophys Acta 1997; 1333: F201 F216.
Scheijen B, Griffin JD . Tyrosine kinase oncogenes in normal hematopoiesis and hematological disease. Oncogene 2002; 21: 3314–3333.
Van Etten RA . Animal models of Philadelphia-positive leukemia. In: Chronic Myeloid Leukaemia: Biology and Treatment. London: Martin Dunitz Ltd., 2001, pp 101–131.
Voss J, Heisterkamp N, Groffen J, Feller SM . Review: leukemic kinases of the Abl family – an update. Signal Transduction 2001; 1: 1–26.
Courtney KD, Grove M, Vandongen H, Vandongen A, LaMantia A-S, Pendergast AM . Localization and phosphorylation of Abl-interactor proteins, Abi-1 and Abi-2, in the developing nervous system. Mol Cell Neurosci 2000; 16: 244–257.
Koleske AJ, Gifford AM, Scott ML, Nee M, Bronson RT, Miczek KA et al. Essential roles for the Abl and Arg tyrosine kinases in neurulation. Neuron 1998; 21: 1259–1272.
Patrick GN, Zukerberg L, Nikolic M, de la Monte S, Dikkes P, Tsai L-H . Conversion of p35 to p25 deregulates Cdk5 activity and promotes neurodegeneration. Nature 1999; 402: 615–622.
Zambrano N, Bruni P, Minopoli G, Mosca R, Molino D, Russo CL et al. The β-amyloid precursor protein APP is tyrosine-phosphorylated in cells expressing a constitutively active form of the Abl protooncogene. J Biol Chem 2001; 276: 19787–19792.
Kipreos ET, Wang JYJ . Cell cycle-regulated binding of c-Abl tyrosine kinase to DNA. Science 1992; 256: 382–384.
Renshaw WM, McWhirter JR, Wang JYJ . The human leukemia oncogene bcr-abl abrogates the anchorage requirement but not the growth factor requirement for proliferation. Mol Cell Biol 1995; 15: 1286–1293.
Tybulewicz VLJ, Crawford CE, Jackson PK, Bronson RT, Mulligan RC . Neonatal lethality and lymphopenia in mice with a homozygous disruption of the c-abl proto-oncogene. Cell 1991; 65: 1153–1163.
Rosenberg NE, Clark DR, Witte ON . Abelson murine leukemia virus mutants deficient in kinase activity and lymphoid cell transformation. J Virol 1980; 36: 766–774.
Jackson P, Baltimore D . N-terminal mutations activate the leukemogenic potential of the myristoylated form of c-abl. EMBO J 1989; 8: 449–456.
Pendergast AM . Nuclear tyrosine kinases: From Abl to WEE1. Curr Opin Cell Biol 1996; 8: 174–181.
Skorski T, Nieborowska-Skorska M, Wlodarski P, Wasik M, Trotta M, Kanakaraj P et al. The SH3 domain contributes to BCR/ABL-dependent leukemogenesis in vivo: role in adhesion invasion and homing. Blood 1998; 91: 406–418.
Van Etten RA, Jackson P, Baltimore C . The mouse type IV c-abl gene product is a nuclear protein, and activation of transforming ability is associated with cytoplasmic localization. Cell 1989; 58: 669–678.
Dikstein R, Heffetz D, Ben-Neriah Y, Shaul Y . c-abl has a sequence-specific enhancer binding activity. Cell 1992; 5: 751–757.
McWhirter JR, Wang JYJ . An actin binding function contributes to transformation by the bcr-abl oncoprotein of Philadelphia chromosome-positive human leukemias. EMBO J 1993a; 12: 1533–1546.
Kadlec L, Pendergast AM . The amphiphysin-like protein 1 (ALP1) interacts functionally with the cABL tyrosine kinase and may play a role in cytoskeletal regulation. Proc Natl Acad Sci USA 1997; 94: 12390–12395.
Salgia R, Li J-L, Ewaniuk DS, Pear W, Pisick E, Burky SA et al. BCR/ABL induces multiple abnormalities of cytoskeletal function. J Clin Invest 1997; 100: 46–57.
Wertheim JA, Forsythe KL, Hammer D, Boettiger D, Pear SW . Localization of BCR-ABL to F-actin regulates cell adhesion but does not attenuate murine CML development. Blood 2002; 100: 205a (Abstract 770).
Diekmann D, Brill S, Garrett MD, Totty N, Hsuan J, Monfries C et al. Bcr encodes a GTPase-activating protein for p21rac. Nature 1991; 351: 400.
Wu Y, Ma G, Lu D, Lin F, Xu H-J, Liu J, Arlinghaus RB . Bcr: a negative regulator of the Bcr-Abl oncoprotein. Oncogene 1999; 18: 4416–4424.
Melo JV, Hochhaus A, Yan X-H, Goldman JM . Lack of correlation between ABL-BCR expression and response to interferon-α in chronic myeloid leukaemia. Br J Haematol 1996; 92: 684–686.
Plattner R, Kadlec L, DeMali KA, Kazlauskas A, Pendergast AM . c-Abl is activated by growth factors and Src family kinases and has a role in the cellular response to PDGF. Genes Dev 1999; 13: 2400–2411.
Ghaffari S, Wu H, Gerlach M, Han Y, Lodish HF, Daley GQ . BCR-ABL and v-SRC tyrosine kinase oncoproteins support normal erythroid development in erythropoietin receptor-deficient progenitor cells. Proc Natl Acad Sci USA 1999; 96: 13186–13190.
Fainstein E, Einat M, Gokkel E, Marcelle C, Croce CM, Gale RP et al. Nucleotide sequence analysis of human abl and bcr-abl cDNAs. Oncogene 1989; 4: 1477–1481.
Franz WM, Berger P, Wang JYJ . Deletion of an N-terminal regulatory domain of the c-abl tyrosine kinase activates its oncogenic potential. EMBO J 1989; 8: 137–147.
Muller AJ, Young JC, Pendergast A-M, Pondel M, Landau NR, Littman DR et al. BCR first exon sequences specifically activate the BCR/ABL tyrosine kinase oncogene of Philadelphia chromosome-positive human leukemias. Mol Cell Biol 1991; 11: 1785–1792.
Nagar B, Hantschel O, Young MA . Scheffzek K, Veach D, Bornmann W et al. Structural basis for the autoinhibition of c-Abl tyrosine kinase. Cell 2003; 112: 859–871.
Witte ON . Special Lecture: Role of the BCR-ABL oncogene in human leukemia: fifteenth Richard and Hinda Rosenthal Foundation Award Lecture. Cancer Res 1993; 53: 485–489.
Reuther GW, Fu H, Cripe LD, Collier RJ, Pendergast AM . Association of the protein kinases c-Bcr and Bcr-Abl with proteins of the 14-3-3 family. Science 1994; 266: 129–133.
Heisterkamp N, Groffen J, Stephenson J . Chromosomal localization of human cellular homologues of two viral oncogenes. Nature 1982; 299: 747.
Iwata S, Mizutani S, Nakazawa S, Yata J . Heterogeneity of the breakpoint in the ABL gene in cases with BCR/ABL transcript lacking ABL exon a2. Leukemia 1994; 8: 1696–1702.
Kurzrock R, Kloetzer WS, Talpaz M . Identification of molecular variants of P210bcr/abl in chronic myelogenous leukemia patients. Blood 1987; 70: 233.
Kurzrock R, Gutterman JU, Talpaz M . The molecular genetics of Philadelphia chromosome-positive leukemias. Mechanisms of Disease. N Engl J Med 1988; 319: 990–998.
Melo JV . Editorial: the diversity of BCR-ABL fusion proteins and their relationship to leukemia phenotype. Blood 1996; 88: 2375–2384.
Mills KI, Benn P, Birnie GD . Review article: does the breakpoint within the major breakpoint cluster region (M-bcr) influence the duration of the chronic phase in chronic myeloid leukemia? An analytical comparison of current literature. Blood 1991; 78: 1155–1161.
Ben-Neriah Y, Daley GQ, Mes-Masson A-M . The chronic myelogenous leukemia-specific P210 protein is the product of the bcr/abl hybrid gene. Science 1985; 233: 212.
Shtivelman E, Gale RP, Dreazen O . bcr-abl RNA in patients with chronic granulocytic leukemia. Blood 1987; 69: 971.
Stam K, Heisterkamp N, Grosveld G . Evidence of a new chimeric bcr/c-abl mRNA in patients with chronic myelocytic leukemia and the Philadephia chromosome. N Engl J Med 1985; 313: 1429.
Rosenberg N, Witte ON . The viral and cellular forms of the Abelson (abl) oncogene. Adv Virus Res 1988; 35: 39–81.
Chen SJ, Chen Z, Grausz JD, Hillion J, d'Auriol L, Flandrin G et al. Molecular cloning of a 5′ segment of the genomic phl gene defines a new breakpoint cluster region (bcr2) in Philadelphia-positive acute leukemias. Leukemia 1988; 2: 634–641.
Denny CT, Shah N, Ogden S, Willman C, McConnell T, Crist W et al. Localization of preferential sites of rearrangement within the BCR gene in Philadelphia chromosome positive acute lymphoblastic leukemia. Proc Natl Acad Sci USA 1989; 86: 4254–4258.
Erikson J, Griffin CA, Ar-Rushdi A, Valtieri M, Hoxie J, Finan J et al. Heterogeneity of chromosome 22 breakpoint in Philadelphia positive (Ph1+), acute lymphocytic leukemia. Proc Natl Acad Sci USA 1986; 83: 1807.
Hermens A, Heisterkamp N, von Lindern M, von Baal S, Meijer D, van der Plas D et al. Unique fusion of bcr alpha c-abl genes in Philadelphia chromosome positive acute lymphoblastic leukemia. Cell 1987; 51: 33–40.
Pane F, Frigeri F, Sindona M, Luciano L, Ferrara F, Cimino R et al. Rapid communication. Neutrophilic-chronic myeloid leukemia: a distinct disease with a specific molecular marker (BCR/ABL with C3/A2 junction). Blood 1996; 88: 2410–2414.
Clark SS, Christ WM, Witte ON . Molecular pathogenesis of Ph-positive leukemia. Annu Rev Med 1989; 40: 113–122.
Daley GQ, McLaughlin J, Witte ON, Baltimore D . The CML-specific P210 bcr/abl protein, unlike v-abl, does not transform NIH-3T3 fibroblasts. Science 1987; 237: 532–535.
McLaughlin J, Chianese E, Witte ON . In vitro transformation of immature hematopoietic cells by the P210 BCR/ABL oncogene product of the Philadelphia chromosome. Proc Natl Acad Sci USA 1987; 84: 6558–6562.
McLaughlin J, Chianese E, Witte ON . Alternative forms of the BCR/ABL oncogene have quantitatively different potencies for stimulation of immature lymphoid cells. Mol Cell Biol 1989; 9: 1866–1874.
Elefanty AG, Hariharan IK, Cory S . bcr-abl, the hallmark of chronic myeloid leukaemia in man, induces multiple haemopoietic neoplasms in mice. EMBO J 1990; 9: 1069–1078.
Kelliher MA, McLaughlin J, Witte ON, Rosenberg N . Induction of a chronic myelogenous leukemia-like syndrome in mice with v-abl and BCR/ABL. Proc Natl Acad Sci USA 1990; 87: 6649–6653 (Erratum, Proc Natl Acad Sci USA 1990; 87: 9072).
Van Etten RA . Distinct effect of expression of the ALL-specific form of BCR/ABL, P210bcr-abl, in murine bone marrow. Blood 1991; 78: 78a (Abstract 304).
Anafi M, Gazit A, Gilon C, Ben-Neriah Y, Levitzki A . Selective interactions of transforming and normal ab/proteins with ATP, tyrosine-copolymer substrates, and tyrphostins. J Biol Chem 1992; 267: 4518–4523.
Tuohy EL . A case of splenomegaly with polymorphonuclear neutrophil hyperleucocytosis. Am J Med Sci 1920; 18: 160.
You W, Weisbrot IM . Chronic neutrophilic leukemia: report of two cases and review of the literature. Am J Clin Pathol 1979; 72: 233.
Saglio G, Guerrasio A, Rosso C, Zaccaria A, Tassinari A, Serra A et al. New type of Bcr/Abl junction in Philadelphia chromosome-positive chronic myelogenous leukemia. Blood 1990; 76: 1819.
Wada H, Mizutani S, Nishimura J, Usuki Y, Kohsaki M, Komai M et al. Establishment and molecular characterization of a novel leukemic cell line with Philadelphia chromosome expressing p230 BCR/ABL fusion protein. Cancer Res 1995; 55: 3192.
Didsbury J, Weber RF, Bokoch GM, Evans T, Snyderman R . rac, a novel ras-related family of proteins that are botulinum toxin substrates. J Biol Chem 1989; 264: 16378.
Inokuchi K, Dan K, Uchida N, Inami M, Tarusawa M, Yamaguchi H et al. Novel transgenic mice expressing P230 Bcr-Abl developed myeloproliferative disease closely resembling human CML. Blood 2002; 100: 204a (Abstract 767).
Pendergast AM . Identification of novel pathways targeted by the oncogenic bcr-abl tyrosine kinases. Proceedings of the International Symposium on Chronic Myelogenous Leukemia, Biarritz, France, July 7–9, 1999 (Abstract, p 29).
Mayer BJ, Jackson PK, Van Etten RA, Baltimore D . Point mutations in the abl SH2 domain coordinately impair phosphotyrosine binding in vitro and transforming activity in vivo. Mol Cell Biol 1992; 12: 609–618.
Mayer BJ, Baltimore D . Mutagenic analysis of the roles of SH2 and SH3 domains in regulation of the Abl tyrosine kinase. Mol Cell Biol 1994; 14: 2883–2894.
Overduln M, Rios CB, Mayer BJ, Baltimore D, Cowburn D . Three-dimensional solution structure of the src homology 2 domain of c-abl. Cell 1992; 70: 697–704.
Songyang Z, Shoelson SE, Chaudhuri M, Gish G, Pawson T, Haser WG et al. SH2 domains recognize specific phosphopeptide sequenes. Cell 1993; 72: 767–778.
Brown MT, Cooper JA . Regulation, substrates and functions of src. Biochem Biophys Acta 1996; 1287: 121–149.
Kuriyan J, Cowburn D . Modular peptide recognition domains in eukaryotic signaling. Annu Rev Biophys Biomol Struct 1997; 26: 259–288.
Pawson T . Protein modules and signaling networks. Nature 1995; 373: 573–580.
Thomas AM, Brugge JS . Cellular functions regulated by Src family kinases. Annu Rev Cell Biol 1997; 13: 513–609.
Hunter T . A tail of two src's. Mutatis mutandis. Cell 1987; 49: 1–4.
Sicheri F, Kuriyan J . Structures of Src-family tyrosine kinases. Curr Opin Struct Biol 1997; 7: 777–785.
Xu W Harrison SC, Eck MJ . Three-dimensional structure of the tyrosine kinase c-Src. Nature 1997; 385: 595–602.
Moarefi I, LaFevre-Bernt M, Sicheri F, Huse M, Lee CH, Kuriyan J et al. Activation of the Src-family tyrosine kinase Hck by SH3 domain displacement. Nature 1997; 385: 650–653.
Schindler T, Sicheri F, Pico A, Gazit A, Levitzki A, Kuriyan J . Crystal structure of Hck in complex with a Src family-selective tyrosine kinase inhibitor. Mol Cell 1999; 3: 639–648.
Dorey K, Engen JR,, Kretzschmar J, Wilm M, Neubauer G, Schindler T et al. Phosphorylation and structure-based functional studies reveal a positive and a negative role for the activation loop of the c-Abl tyrosine kinase. Oncogene 2001; 20: 8075–8084.
Hunter T . Review: oncoprotein networks. Cell 1997; 88: 333–346.
Hunter T, Plowman GD . Review: the protein kinases of budding yeast: six score and more. Trends Biochem Sci 1997; 22: 18–22.
Plowman GD, Sudarsanam S, Bingham J, Whyte D, Hunter T . Review: the protein kinases of Caenorhabditis elegans: a model for signal transduction in multicellular organisms. PNAS 1999; 96: 13603–13610.
Hunter T . Signaling – 2000 and beyond. Cell 2000; 100: 113–127.
Cantley LC, Auger KR, Carpenter C, Duckworth B, Graziani A, Kapeller R et al. Review: oncogenes and signal transduction. Cell 1991; 64: 281–302.
Carpino N, Wisniewski D, Strife A, Marshak D, Kobayashi R, Stillman B et al. p62dok: a constitutively tyrosine-phosphorylated, GAP-associated protein in chronic myelogenous leukemia progenitor cells. Cell 1997; 88: 197–204.
Clarkson BD, Strife A, Wisniewski D, Lambek C, Carpino N . Leading Article: new understanding of the pathogenesis of CML: a prototype of early neoplasia. Leukemia 1997; 11: 1404–1428.
Garton AJ, Flint AJ, Tonks NK . Identification of substrates for protein tyrosine phosphatases. In: Hardie DG (ed). Protein Phosphorylation: a Practical Approach. 2nd edn, New York: Oxford University Press, 1999, pp 183–200.
Rane SG, Reddy EP . JAKs, STATs and Src kinases in hematopoiesis. Oncogene 2002; 21: 3334–3358.
Ullrich A, Schlessinger J . Review: signal transduction by receptors with tyrosine kinase activity. Cell 1990; 61: 203–212.
Wisniewski D, Strife A, Berman E, Clarkson B . c-kit ligand stimulates tyrosine phosphorylation of a similar pattern of phosphotyrosyl proteins in primary primitive normal hematopoietic progenitors that are constitutively phosphorylated in comparable primitive progenitors in chronic phase chronic myelogenous leukemia. Leukemia 1996; 10: 229–237.
Wisniewski D, Strife A, Clarkson B . Rapid Communication: c-kit ligand stimulates tyrosine phosphorylation of the c-Cbl protein in human hematopoietic cells. Leukemia 1996; 10: 1436–1442.
Wisniewski D, Strife A, Swendeman S, Erdjument-Bromage H, Geromanos S, Kavanaugh WM et al. A novel SH2-containing phosphatidyl-inositol 3,4,5-triphosphate 5-phosphatase (SHIP2) is constitutively tyrosine phosphorylated and associated with src homologous and collagen gene (SHC) in chronic myelogenous leukemia progenitor cells. Blood 1999; 93: 2707–2720.
Charbonneau H, Tonks NK . 1002 protein phosphatases? Annu Rev Cell Biol 1992; 8: 463–493.
Adachi M, Fischer EH, Ihle JN, Imani K, Jirik F, Neel B et al. Mammalian SH2-containing protein tyrosine phosphatases. Cell 1996; 85: 15.
Wickrema A, Chen F, Namin F, Yi T, Ahmad S, Uddin S et al. Defective expression of the SHP-1 phosphatase in polycythemia vera. Exp Hematol 1999; 27: 1124–1132.
Bignon JS, Siminovitch KA . Review: identification of PTP1C mutation as the genetic defect in motheaten and viable motheaten mice: a step toward defining the roles of protein tyrosine phosphatases in the regulation of hemopoietic cell differentiation and function. Clin Immunol Immunopathol 1994; 73: 168–179.
Berg KL, Siminovitch KA, Stanley ER . SHP-1 regulation of p62DOK tyrosine phosphorylation in macrophages. J Biol Chem 1999; 274: 35855–35865.
Holtz MS, Slovak ML, Zhang F, Sawyers CL, Forman SJ, Bhatia R . Imatinib mesylate (STI571) inhibits growth of primitive malignant progenitors in chronic myelogenous leukemia through reversal of abnormally increased proliferation. Blood 2002; 99: 3792–3800.
Strife A, Wisniewski D, Liu C, Lambek CL, Darzynkiewicz Z, Silver RT et al. Direct Evidence that Bcr-Abl tyrosine kinase activity disrupts normal synergistic interactions between kit ligand and cytokines in primary primitive progenitor cells. Mol Cancer Res, 2003; 1: 176–185.
Wisniewski D, Lambek C, Liu C, Strife A, Veach D, Nagar B et al. Characterization of potent inhibitors of the Bcr-Abl and the c-kit receptor tyrosine kinases. Cancer Res 2002; 15: 4244–4255.
Bishop JM . Review: molecular themes in oncogenesis. Cell 1991; 64: 235–248.
Pawson T, Scott JD . Signaling through scaffold, anchoring, and adaptor proteins. Science 1997; 278: 2075–2080.
Toker A, Cantley LC . Signalling through the lipid products of phosphoinositide-3-OH kinase. Nature 1997; 387: 673–676.
Evans JP, Wickremasinghe RG, Hoffbrand AV . Preliminary communication: detection of tyrosine protein kinase substrates in fresh leukemia cells and normal blood cells using an immunoblotting technique. Leukemia 1987; 1: 782–785.
Huhn RD, Posner MR, Rayter SI, Foulkes JG, Frackelton Jr AR . Cell lines and peripheral blood leukocytes derived from individuals with chronic myelogenous leukemia display virtually identical proteins phosphorylated on tyrosine residues. Proc Natl Acad Sci USA 1987; 84: 4408–4412.
Naldini L, Stacchini A, Cirillo DM, Aglietta M, Gavosto F, Comoglio PM . Phosphotyrosine antibodies identify the p210c-abl tyrosine kinase and proteins phosphorylated on tyrosine in human chronic myelogenous leukemia cells. Mol Cell Biol 1986; 6: 1803–1811.
Ogawa R, Ohtsuka M, Watanabe Y . Complement-mediated lysis of K562 human leukemic cells by antibodies to phosphotyrosine and identification of cell surface proteins phosphorylated on tyrosine. Cancer Res 1986; 46: 2507–2510.
Druker B, Okuda K, Matulonis U, Salgia R, Roberts T, Griffin JD . Rapid communication: tyrosine phosphorylation of rasGAP and associated proteins in chronic myelogenous leukemia cell lines. Blood 1992; 79: 2215–2220.
Lu D, Liu J, Campbell M, Guo JQ, Heisterkamp N, Groffen J et al. Tyrosine phosphorylation of P160 BCR by P210 BCR-ABL. Blood 1993; 82: 1257–1263.
Gotoh A, Miyazaqa K, Ohyashiki K, Tauchi T, Boswell HS, Broxmeyer HE et al. Tyrosine phosphorylation and activation of focal adhesion kinase (p125FAK) by BCR-ABL oncoprotein. Exp Hematol 1995; 23: 1153–1159.
Andoniou CE, Thien CBF, Langdon WY . Tumour induction by activated abl involves tyrosine phosphorylation of the product of the cbl oncogene. EMBO J 1994; 13: 4515–4523.
de Jong R, ten Hoeve J, Heisterkamp N, Groffen J . Communication: Crkl is complexed with tyrosine-phosphorylated Cbl in Ph-positive leukemia. J Biol Chem 1995; 270: 21468–21471.
Matsuguchi T, Inhorn RC, Carlesso N, Xu G, Druker B, Griffin JD . Tyrosine phosphorylation of p95Vav in myeloid cells is regulated by GM-CSF, IL-3 and Steel factor and is constitutively increased by p210BCR/ABL. EMBO J 1995; 14: 257–265.
Ernst TJ, Slattery KE, Griffin JD . p210Bcr/Abl and p160v-Abl induce an increase in the tyrosine phosphorylation of p93c-Fes. J Biol Chem 1994; 269: 5764–5769.
Salgia R, Brunkhorst B, Pisick E, Li J-L, Lo SH, Chen LB et al. Increased tyrosine phosphorylation of focal adhesion proteins in myeloid cell lines expressing p210BCR/ABL. Oncogene 1995; 11: 1149–1155.
Tauchi T, Boswell HS, Leibowitz D, Broxmeyer HE . Coupling between p210bcr-abl and Shc and Grb2 adaptor proteins in hematopoietic cells permits growth factor receptor-independent link to ras activation pathway. J Exp Med 1994; 179: 167–175.
Tauchi T, Feng G-S, Marshall MS, Shen R, Mantel C, Pawson T, Broxmeyer HE . The ubiquitously expressed Syp phosphatase interacts with c-kit and Grb2 in hematopoietic cells. J Biol Chem 1994; 269: 25206–25211.
McGlade J, Cheng A, Pelicci G, Pelicci PG, Pawson T . Shc proteins are phosphorylated and regulated by the v-Src and v-Fps protein-tyrosine kinases. Proc Natl Acad Sci USA 1992; 89: 8869–8873.
Pelicci G, Lanfrancone L, Grignani F, McGlade J, Cavallo F, Forni G et al. A novel transforming protein (SHC) with an SH2 domain is implicated in mitogenic signal transduction. Cell 1992; 70: 93–104.
Pelicci G, Lanfrancone L, Salcini AE, Romano A, Mele S, Borrello MG et al. Constitutive phosphorylation of Shc proteins in human tumors. Oncogene 1995; 11: 899–907.
Puil L, Liu J, Gish G, Mbamalu G, Bowtell D, Pelicci PG et al. Bcr-Abl oncoproteins bind directly to activators of the Ras signalling pathway. EMBO J 1994; 13: 764–773.
Nichols GL, Raines MA, Vera JC, Lacomis L, Tempst P, Golde DW . Blood 1994; 84: 2912–2918.
Oda T, Heaney C, Hagopian JR, Okuda K, Griffin JD, Druker B . J Biol Chem 1994; 269: 22925–22928.
ten Hoeve J, Arlinghaus RG, Guo JQ, Heisterkamp N, Groffen J . Blood 1994; 84: 1731–1736.
Uemura N, Salgia R, Li JL, Pisick E, Sattler M, Griffin JD . The BCR/ABL oncogene alters interaction of the adapter proteins CRKL and CRK with cellular proteins. Leukemia 1997; 11: 376–385.
Sattler M, Salgia R, Shrikhande G, Verma S, Choi J-L, Rohrschneider LR et al. The phosphatidylinositol polyphosphate 5-phosphatase SHIP and the protein tyrosine phosphatase SHP-2 form a complex in hematopoietic cells which can be regulated by BCR/ABL and growth factors. Oncogene 1997; 15: 2379–2384.
Di Cristofano A, Carpino N, Dunant N, Friedland G, Kobayashi R, Strife A et al. Communication: molecular cloning and characterization of p56dok-2 defines a new family of RasGAP-binding proteins. J Biol Chem 1998; 273: 4827–4830.
Di Cristofano A, Pesce B, Cordon-Cardo C, Pandolfi PP . Pten is essential for embryonic development and tumour suppression. Nat Genet 1998; 19: 348–355.
Dunant NM, Wisniewski D, Strife A, Clarkson B, Resh MD . The phosphatidylinositol polyphosphate 5-phosphatase SHIP1 associates with the Dok1 phosphoprotein in Bcr-Abl transformed cells. Cell Signal 2000; 12: 317–326.
Cleveland JL, Dean M, Rosenberg N, Wang JY, Rapp UR . Tyrosine kinase oncogenes abrogate interleukin-3 dependence of murine myeloid cells through signaling pathways involving c-myc: conditional regulation of c-myc transcription by temperature-sensitive v-abl. Mol Cell Biol 1989; 9: 5685–5695.
Cohen L, Mohr R, Chen YY, Huang M, Kato R, Dorin D et al. Transcriptional activation of a ras-like gene (kir) by oncogenic tyrosine kinases. Proc Natl Acad Sci USA 1994; 91: 12448–12452.
Deininger MWN, Vieira S, Mendiola R, Schultheis B, Goldman JM, Melo JV . BCR-ABL tyrosine kinase activity regulates the expression of multiple genes implicated in the pathogenesis of chronic myeloid leukemia. Cancer Res 2000b; 60: 2049–2055.
Watari K, Tojo A, Nagamura-Inoue T, Tsujimura H, Nagamura F, Tani K et al. A new melanoma antigen, PRAME, is identified as a BCR./ABL-inducible gene in TF-1 cells. Blood 1997; 90(Suppl 1): 197a.
Xie Z, Chang S, McQueen T, Andreeff M . Effect of BCR/ABL transfection on the gene expression profile of human hematopoietic M07e cells: Analysis by DNA expression array. Blood 1998; 92(Suppl 1): 91a.
Advani AS, Dressman HK, Quiroz M, Taylor GA, Pendergast AM . Elevated expression of numerous interferon inducible genes in primary bone marrow cells expressing P185 Bcr-Abl versus P210 Bcr-Abl by DNA microarray analysis. Blood 2002; 100: 584a (Abstract 2296).
Liang X, Wisniewski D, Strife A, Shivakrupa, Clarkson B, Resh MD . Phosphatidylinositol 3-kinase and Src family kinases are required for phosphorylation and membrane recruitment of Dok-1 in c-kit signaling. (Published online ahead of print February 1 2002 as 101074/jbcM200277200). J Biol Chem 2002; 277: 13732–13738.
Strife A, Clarkson B . Biology of chronic myelogenous leukemia: is discordant maturation the primary defect? Seminars in Hematology 1988; 25: 1–19.
Deininger MWN, Vieira SAD, Parada Y, Banerji L, Lam EW-F, Peters G et al. Direct relation between BCR-ABL tyrosine kinase activity and Cyclin D2 expression in lymphoblasts. Cancer Res 2001; 61: 8005–8013.
Jena N, Deng M, Sicinska E, Sicinski P, Daley GQ . Critical role for Cyclin D2 in BCR/ABL-induced proliferation of hematopoietic cells. Cancer Res 2002; 62: 535–541.
Jonuleit T, van der Kuip H, Miething C, Michels H, Hallek M, Duyster J et al. Bcr-Abl kinase down-regulates cyclin-dependent kinase inhibitor p27 in human and murine cell lines. Blood 2000; 96: 1933–1939.
Parada Y, Banerji L, Glassford J, Lea NC, Collado M, Rivas C et al. BCR-ABL and Interleukin 3 promote haematopoietic cell proliferation and survival through modulation of Cyclin D2 and p27Kip1 expression. J Biol Chem 2001; 276: 23572–23580.
Wang Y, Miller AL, Moosseker MS, Koleske AJ . The Abl-related gene (Arg) nonreceptor tyrosine kinase uses two F-actin-binding domains to bundle F-actin. Proc Natl Acad Sci 2001; 98: 14865–14870.
Faderl S, Talpaz M, Estrov Z, Kantarjian HM . Chronic myelogenous leukemia: biology and therapy. Ann Intern Med 1999; 131: 207–219.
Kantarjian H, Melo JV, Tura S, Giralt S, Talpaz M . Chronic myelogenous leukemia: disease biology and current and future therapeutic strategies. Hematology (Am Soc Hematol Educ Program) 2000; 90–109.
Sawyers CL . Review article: Medical Progress: Chronic myeloid leukemia. N Eng J Med 1999; 340: 1330–1340.
Silver RT, Woolf SH, Hehlmann R, Appelbaum FR, Anderson J, Bennett C et al. An evidence-based analysis of the effect of busulfan, hydroxyurea, interferon, and allogeneic Bone Marrow Transplant in treating the chronic phase of chronic myeloid leukemia developed for the American Society of Hematology. Blood 1999; 94: 1517–1536.
Court Brown WM, Doll R . Adult leukemia. Br Med J 1960; 1: 1753.
Boise Jr JD, Day NE, Anderson A . Second cancers following radiation treatment for cervical cancer. J Natl Cancer Inst 1985; 74: 955.
Ichimaru M, Ishimaru T, Belsky JL . Incidence of leukemia in atomic bomb survivors belonging to a fixed cohort in Hiroshima and Nagasaki, 1950–71. Radiation dose, years after exposure, age at exposure, and type of leukemia. J Radiat Res (Tokyo) 1978; 19: 262–282.
Maloney WC . Radiation leukemia revisited. Blood 1987; 70: 905.
Dowling MD, Haghbin M, Gee T, Wakonig-Vaartaja T, Clarkson B . Attempt to induce true remissions in chronic myelocytic leukemia (CML). Cancer Chemother Rep 1973; 57: 102.
Kantarjian H, Talpaz M, Spinolo J . High doses of cyclophosphamide, BCNU, and etoposide induce cytogenetic responses in most patients with advanced stages of Philadelphia chromosome (Ph1)-positive chronic myelogenous leukemia. Blood 1989; 74: 273a.
Clarkson B, Strife A . Discordant maturation in chronic myelogenous leukemia. In: Deisseroth AB, Arlinghaus RB (eds). Chronic Myelogenous Leukemia – Molecular Approaches to Research and Therapy. New York, NY: Marcel Dekker, Inc., 1991, pp 3–90.
Pedersen B . Annotation: functional and biochemical phenotype in relation to cellular age of differentiated neutrophils in chronic myeloid leukemia. Br J Haematol 1982; 51: 339–344.
Donohue DM . Quantitative measurement of hematopoietic cells of the marrow. J Clin Invest 1958; 37: 1564.
Ellis RE . The distribution of active bone marrow in the adult. Phys Med Biol 1961; 5: 255.
Finch CA . Kinetics of the formed elements of human blood. Blood 1977; 50: 699.
Nelp WB, Bower RE . The quantitative distribution of the erythron and the RE cell in the bone marrow organ of man. Blood 1969; 34: 276.
Jandl JH (ed) . Chapter 22 – Chronic myeloproliferative syndromes. In: Blood – Textbook of Hematology. Boston: Little, Brown and Company, 1987, pp 671–690.
Clarkson BD, Fried J, Chou T-C, Strife A, Ferguson R, Sullivan S et al. Duration of the dormant state in an established cell line of human hematopoietic cells. Cancer Res 1977; 37: 4506–4522.
Clarkson B, Rubinow SI . Growth kinetics in human leukemia. In: Drewinko B, Humphrey R (eds). Growth Kinetics and Biochemical Regulations of Normal and Malignant Cells. Baltimore: Williams & Wilkins Publ. Co., 1977, pp 591–628.
Ogawa M, Fried J, Sakai Y, Strife A, Clarkson BD . Studies of cellular proliferation in human leukemia. VI. The proliferative activity, generation time, and emergence time of neutrophilic granulocytes in chronic granulocytic leukemia. Cancer 1970; 25: 1031–1049.
Buckle A-M, Mottram R, Pierce A, Lucas GS, Russell N, Miyan JA et al. The effect of Bcr-Abl protein tyrosine kinase on maturation and proliferation of primitive haematopoietic cells. Mol Med 2000; 6: 892–902.
Passegue E, Jochum W, Schorpp-Kistner M, Mhle-Steinlein U, Wagner EF . Chronic myeloid leukemia with increased granulocyte progenitors in mice lacking JunB expression in the myeloid lineage. Cell 2001; 104: 21–32.
Dao MA, Verfaillie CM . STI571 precedes the action of proteasome inhibitors on cell cycle: tracking the molecular mechanism of p27Kip1 degradation in p210bcr/abl hematopoietic cells. Blood 2002; 100: 580a (Abstract 2278).
Baggiolini M, Dewald B, Moser B . Human chemokines: an update. Ann Rev Immunol 1997; 15: 675–705.
Broxmeyer HE, Kim CH . Regulation of hematopoiesis in a sea of chemokine family members with a plethora of redundant activities. Exp Hematol 1999; 27: 1113–1123.
Ogawa M . Review article. Differentiation and proliferation of hematopoietic stem cells. Blood 1993; 81: 2844–2853.
Orkin SH, Porcher C, Fujiwara Y, Visvader J, Wang LC . Intersections between blood cell development and leukemia genes. Cancer Res 1999; 59(Suppl): 1784s–1787s.
Papayannopoulou T . Hematopoietic stem/progenitor cell mobilization A continuing quest for etiologic mechanisms. Ann NY Acad Sci 1999; 872: 187–197.
Williams DA . Editorial. Ex vivo expansion of hematopoietic stem and progenitor cells – Robbing Peter to pay Paul? Blood 1993; 81: 3169–3172.
Darte JM, Dacie JV, McSorley JGA . Pelger-like leucocytes in chronic myeloid leukemia. Acta Haematol 1952; 12: 117.
Langenhuijsen MMAC . Neutrophils with ring-shaped nuclei in myeloprolifera-tive disease. Br J Haematol 1984; 58: 277.
Matsuo T, Tomonaga M, Kuriyama K, Yao E, Nonaka H, Jinnai I et al. Prognostic significance of the morphological dysplastic changes in chronic myelogenouss leukemia. Leuk Res 1986; 10: 331–337.
Wintrobe MM, Lee GR, Boggs DR, Bithell TC, Foerster J, Athens JW et al. (eds). Chronic myeloid leukemia, Chapter 64. In: Clinical Hematology, 8th edn. Philadelphia: Lea & Febiger Publishing Co., 1981, pp. 1565–1595.
Lingg G, Schmalzl F, Breton-Gorius J, Tabilio A, Schaefer HE, Geissler D et al. Megakaryoblastic micromegakaryocytic crisis in chronic myeloid leukemia. Blut 1985; 51: 275–285.
Doan CA, Reinhart HL . The basophil granulocyte, basophilocytosis and myeloid leukemia basophil and ‘mixed granule’ types: an experimental clinical and pathological study with the report of a new syndrome. Am J Clin Pathol 1941; 11: 1–33.
Mlynek M-L, Leder L-D . Lineage infidelity in chronic myeloid leukemia: Demonstration and significance of hybridoid leukocytes. Virchows Arch B Cell Pathol 1986; 51: 107–114.
Anderson D . Ultrastructure of normal and leukaemic leukocytes in human peripheral blood. J Ultrastruct Res 1966; 9(Suppl): 1–42.
Asano M, Kawahara I . Ultramicroscopic characteristics of bone marrow cells in human chronic myeloid leukemia. Med J Shinshu Univ Jpn 1968; 13: 109–126.
Bessis M . Ultrastructure of normal and leukaemic granulocytes. In: Zarafonetis CJS (ed). Proceedings of the International Conference on Leukaemia-Lymphoma. Philadelphia: Lea & Febiger, 1986, p 281.
Cawley JC, Hayhoe FGJ (eds). Ultrastructure of Haemic Cells: A Cytological Atlas of Normal and Leukaemic Blood and Bone Marrow. London: W.B. Saunders Company Ltd., 1973.
Kakefuda T . Electron microscopy of normal and leukaemic cells. In: Amromin GD (ed). Pathology of Leukaemia. New York: Hoeber, 1968, pp 82–124.
Tanaka Y, Goodman JR . Electron Microscopy of Human Blood Cells. New York: Harper and Row, 1972.
Vainchenker W, Guichard J, Deschamps JF . Megakaryocyte cultures in the chronic phase and in the blast crisis of chronic myeloid leukaemia: studies on the differentiation of the megakaryocyte progenitors and on the maturation of megakaryocytes in vitro. Br J Haematol 1982; 51: 131–146.
Kuto F, Nagaoka T, Watanabe Y, Hayashi M, Horasawa Y, Hirasawa Y et al. Chronic myelocytic leukemia: ultrastructural histopathology of bone marrow from patients in the chronic phase. Ultrastruct Pathol 1984; 6: 307–317.
Nagaoka T, Kuto F, Watanabe Y, Fujino Y, Hirasawa Y, Tokuhiro H . Bone marrow sinus and cell egress in human leukaemia: A morphometric study of core biopsies using wide-field electron microscopy. Br J Haematol 1986; 63: 737–747.
Tavassoli M . The marrow-blood barrier. Br J Haematol 1979; 41: 297–302.
Matsuo T . In vitro modulation of alkaline phosphatase activity in neutrophils from patients with chronic myelogenous leukemia by monocyte-derived activity. Blood 1986; 67: 492–497.
Pedersen B, Hayhoe FGJ . Relation between phagocytic activity and alkaline phosphatase content of neutrophils in chronic myeloid leukaemia. Br J Haematol 1971; 21: 257–260.
Perillie PE, Finch S . The local exudative cellular response in leukemia. J Clin Invest 1960; 39: 1353–1357.
Perillie PE, Finch SC . Alkaline phosphatase activity of exudative leukocytes in acute leukemia. Blood 1961; 18: 572–580.
Broxmeyer HD, Mendelsohn N, Moore MAS . Abnormal granulocyte feedback regulation of colony forming and colony stimulating activity-producing cells from patients with chronic myelogenous leukemia. Leukemia Res 1977; 1: 3–12.
Odeberg H, Olofsson T, Olsson I . Granulocyte function in chronic granulocytic leukaemia. I. Bacterial and metabolic capabilities during phagocytosis in isolated granulocytes. Br J Haematol 1975; 29: 427–441.
Baker MA, Taub RN, Kanani A . Increased activity of a specific sialyltransferase in chronic myelogenous leukemia. Blood 1985; 66: 1068–1071.
Nojiri H, Takaku F, Ohta M . Changes in glycosphingolipid composition during differentiation of human leukemic granulocytes in chronic myelogenous leukemia compared with in vitro granulocytic differentiation of human promyelocytic leukemia cell line HL-60. Cancer Res 1985; 45: 6100–6106.
Bednarek JM, Knight RD, Taylor G, Evans WH . Progressive loss of phenotypic proteins in mature granulocytes before the onset of blast crisis in human chronic myelogenous leukemia. J Natl Cancer Inst 1988; 80: 251–257.
Evans WH, Bednarek JM, Alvarez VL . Direct analysis of differentiation proteins in normal and leukemic human granulocytosis by high-performance liquid chromatography. J Natl Cancer Inst 1985; 75: 227–235.
Olofsson T, Odeberg H, Olsson I . Granulocyte function in chronic granulocytic leukemia. II. Bactericidal capacity phagocytic rate, oxygen consumption, and granule protein composition in isolated granulocytes. Blood 1976; 48: 581–593.
Zingde SM, Mungikar AM, Chhajlani V, Advani SH, Gothoskar BP . Plasma membranes from normal and chronic myeloid leukemic granulocytes: isolation and two-dimensional polyacrylamide gel electrophoretic analysis. Cancer Biochem Biophys 1985; 7: 333–342.
Banerjee TK, Senn H, Holland JF . Comparative studies on localized leukocyte mobilization in patients with chronic myelocytic leukemia. Cancer 1972; 29: 637–644.
Senn HJ, Rhomberg WU, Jungi WF . Strung der leukozytren Abwehrfunktion als paraneoplastiches Syndrom bei Hmoblastosen. Schweiz Med Wochenschr 1971; 101: 466–470.
Anklesaria PN, Advani SH, Bhisey AN . Defective chemotaxis and adherence in granulocytes from chronic myeloid leukemia (CML) patients. Leukemia Res 1985; 9: 641–648.
Brandt L, Mitelman F, Panani A, Lenner HC . Extremely long duration of chronic myeloid leukaemia with Ph1 negative and Ph1 positive bone marrow cells. Scand J Haematol 1976; 16: 321–325.
Corberand J, Laharraque P Deharrard B, Nyuyen F, Pris J . Phagocytosis in myeloproliferative disorders. Am J Clin Pathol 1980; 74: 301–305.
El-Maallem H, Fletcher J . Defective hydrogen-peroxidase production in chronic granulocytic neutrophils. Br J Haematol 1979; 41: 49–55.
Goldman JM, Catovsky D . Function of the phagocytic leukocytes in leukemia. Br J Haematol 1972; 23(Suppl): 223–230.
Penny R, Galton DAG . Studies on neutrophil function. II. Pathological aspects. Br J Haematol 1966; 12: 633–645.
Penny R, Galton DAG, Scott JT, Eisen V . Studies on neutrophile function. I. Physiological and pharmacological aspects. Br J Haematol 1966; 12: 623–632.
Rosner F, Valmont J, Kozinn PJ, Caroline L . Leukocyte function in patients with leukemia. Cancer 1970; 25: 835–842.
Tornyos K . Phagocytic activity of cells of the inflammatory exudate in human leukemia. Cancer Res 1967; 27: 1756–1760.
Whittaker JA, Khurshid M, Hughes HR . Neutrophil function in chronic granulocytic leukemia before and after busulphan treatment. Br J Haematol 1974; 28: 541–549.
Anklesaria PN, Bhisey AN . Studies on electrophoretic mobility of leucocytes from chronic myeloid leukemia patients. Indian J Exp Biol 1985; 23: 609–612.
Bhisey AN, Rao SGA, Advani SH, Ray V . Agglutination of granulocytes from chronic myeloid leukaemia by concanavalin. Acta Haematol (Basel) 1980; 63: 211–216.
Zingde SM, Advani SH, Gothoskar BP . Plasma membrane proteins from human normal and chronic myeloid leukemic granulocytes: identification and partial characterization of the concanavalin A-binding and detergent resistant proteins. Blut 1987a; 55: 89–100.
Zingde SM, Anklesaria PN, Advani SH, Bhisey AN, Gothoskar BP . Differential endocytosis of fluorescein isothiocyanate-concanavalin A by normal and chronic myeloid leukemic granulocytes. Blut 1987b; 55: 81–88.
Brandt L . Adhesiveness to glass and phagocytic activity of neutrophilic leukocytes in myeloproliferative diseases. Scand J Haematol 1965; 2: 126–136.
Taub RN, Baker MA, Madyastha KR . Masking of neutrophil surface lectin-binding sites in chronic myelogenous leukemia (CML). Blood 1980; 55: 294–298.
Eaves AC, Cashman JD, Gaboury LA, Kalousek DK, Eaves CJ . Unregulated proliferation of primitive chronic myeloid leukemia progenitors in the presence of normal marrow-adherent cells. Proc Natl Acad Sci USA 1986; 83: 5306–5310.
Gordon MY, Dowding CR, Riley GP, Goldman JM, Greaves MF . Altered adhesive interactions with marrow stroma of hematopoietic progenitor cells in chronic myeloid leukemia. Nature 1987; 328: 342–344.
Verfaillie CM, McCarthy JB, McGalve PB . Mechanisms underlying abnormal trafficking of malignant progenitors in chronic myelogenous leukemia. Decreased adhesion to stroma and fibronectin but increased adhesion to the basement membrane components laminin and collagen Type IV. J Clin Invest 1992; 90: 1232–1241.
Dowding C, Guo AP, Maisin D, Gordon MY, Goldman JM . The effects of interferon-alpha on the proliferation of CML progenitor cells in vitro are not related to the precise position of the M-BCR breakpoint. Br J Haematol 1991; 77: 165–171.
Bhatia R, McGlave PB, Verfaillie CM . Treatment of marrow stroma with interferon-alpha restores normal beta 1 integrin-dependent adhesion of chronic myelogenous leukemia hematopoietic progenitors. Role of MIP-1 alpha. J Clin Invest 1995; 96: 931–939.
Guba SC, Emerson SG . Hematopoietic regulation of stem cell dynamics in chronic myelogenous leukemia. In: Deisseroth AB, Arlinghaus RB (eds). Chronic Myelogenous Leukemia: Molecular Approaches to Research and Therapy. New York: Marcel Dekker, 1991, pp 337–347.
Abboud CN, Lichtman MA . Chapter 4: structure of the marrow in Part II General Hematology. In: Beutler E, Lichtman MA, Coller BS, Kipps TJ (eds). Williams Hematology, 5th edn. New York: McGraw-Hill, Inc. Health Professions Division, 1995, pp 25–38.
Lichtman MA . The ultrastructure of the hematopoietic environment of marrow. A review. Exp Hematol 1981; 9: 391–410.
Singer JW, Keating A, Wight TN . The human haematopoietic microenvironment. In: Hoffbrand AV (ed). Recent Advances in Haematology, Vol. 4. Edinburgh: Churchill Livingstone, 1985, pp 1.
Maniatis AK, Amsel S, Mitus WJ, Coleman N . Chromosome pattern of bone marrow fibroblasts in patients with chronic granulocytic leukaemia. Nature 1969; 222: 1278–1279.
Bhatia R, McGlave PB, Dewald GW, Blazar BR, Verfaillie CM . Abnormal function of the bone marrow microenvironment in chronic myelogenous leukemia: role of malignant stromal macrophages. Blood 1995; 85: 3636–3645.
Nirsimloo N, Gordon MY . Progenitor cells in the blood and marrow of patients with chronic phase chronic myeloid leukaemia respond differently to macrophage inflammatory protein-1 alpha. Leukemia Res 1995; 19: 319–323.
Singer JW, Andrews III DF, Nemunaitis JJ . Marrow stromal cells, growth factors, and the c-abl proto-oncogene. In: Deisseroth AB, Arlinghaus RB (eds). Chronic myelogenous leukemia: Molecular Approaches to Research and Therapy. New York: Marcel Dekker, 1991, pp 309–335.
Taub RN, Hindenburg AA, Baker MA . Brief communication: regeneration of membrane sialic acid after neuraminidase treatment of leukemic granulocytes. Leukemia Res 1985; 19: 507–510.
Baker MA, Kanani A, Hindeburg A, Taub RN . Changes in the granulocyte membrane following chemotherapy for chronic myelogenous leukemia. Br J Haematol 1986; 62: 431–438.
Kanani A, May C, Sutherland DR, Hindenburg A, Taub R N, Mills GB et al. Altered rise of FMLP stimulated free cytosolic calcium [Ca2+ in CML granulocytes. Blood 1987; 70(Suppl 1): 90a (Abstract 214).
Yuo A, Kitagawa S, Okabe T, Urabe A, Komatsu Y, Itoh S et al. Recombinant human granulocyte colony-stimulating factor repairs the abnormalities of neutrophils in patients with myelodysplastic syndromes and chronic myelogenous leukemia. Blood 1987; 70: 404–411.
Oseas R, Yang H-H, Baehner RL, Boxer LA . Lactoferrin: a promoter of polymorphonuclear leukocyte adhesiveness. Blood 1981; 57: 939–945.
Bhatia R, Munthe HA, Williams AD, Zhang F, Forman SJ, Slovak ML . Chronic myelogenous leukemia primitive hematopoietic progenitors demonstrate increased sensitivity to growth factor-induced proliferation and maturation. Exp Hematol 2000; 28: 1401–1412.
Brummendorf TH, Holyoake TL, Rufer N, Barnett MJ, Schulzer M, Eaves CJ et al. Plenary paper: prognostic implications of differences in telomere length between normal and malignant cells from patients with chronic myeloid leukemia measured by flow cytometry. Blood 2000; 95: 1883–1890.
Kiger AA, Jones DL, Schulz C, Rogers MB, Fuller MT . Stem cell self-renewal specified by Jak-Stat activation in response to a support cell cue. Science 2001; 294: 2542–2545.
Tran J, Brenner TJ, DiNardo S . Somatic control over the germline stem cell lineage during Drosophila spermatogenesis. Nature 2000; 407: 754–757.
Tulina N, Matunis E . Control of stem cell self-renewal in Drosophila spermatogenesis by JAK-STAT signaling. Science 2001; 294: 2546–2549.
Matsuda T, Nakamura T, Nakao K, Arai T, Katsuki M, Heike T, Yokota T . STAT3 activation is sufficient to maintain an undifferenti-ated state of mouse embryonic stem cells. EMBO J 1999; 18: 4261–4269.
Iscove NN, Nawa K . Hematopoietic stem cells expand during serial transplantation in vivo without apparent exhaustion. Curr Biol 1997; 7: 805–808.
Jordan C, Lemischka IR . Clonal systemic analysis of long-term hematopoiesis in the mouse. Genes Dev 1990; 4: 220–232.
Metcalf D . Stem cells, pre-progenitor cells and lineage-committed cells: are our dogmas correct? Ann NY Acad Sci 1999; 872: 289–304.
Cui YF, Lord BI, Woolford LB, Testa NG . The relative spatial distribution of in vitro-CFCs in the bone marrow, responding to specific growth factors. Cell Prolif 1996; 5: 243–257.
Clarkson BD, Fried J . Changing concepts of treatment in acute leukemia. Med Clin North Am 1971; 55: 561–600.
Fokas AS, Keller JB, Clarkson BD . Mathematical model of granulocytopoiesis and chronic myelogenous leukemia. Cancer Res 1991; 51: 2084–2091.
Stryckmans P, Cronkite EP, Fache F, Fliedner TM, Ramos J . Deoxyribonucleic acid synthesis time of erythropoietic and granulopoietic cells in human beings. Nature 1966; 211: 717–720.
Vincent PC, Cronkite EP, Greenberg ML, Kirsten C, Schiffer LM, Stryckmans PA . Leukocyte kinetics in chronic myeloid leukemia. I. DNA synthesis time in blood and marrow myelocytes. Blood 1969; 33: 843–850.
Baccarini M, Killmann SA . Cytokinetic studies in chronic myeloid leukaemia: evidence for early presence of abnormal myeloblasts. Scand J Haematol 1972; 9: 283–292.
Clarkson B, Strife A, Fried J, Gulati S . Cytokinetics and cancer treatment. In: Freireich EJ, Frei E (eds). Proceedings of the General Motors Cancer Research Foundation (monograph). Philadelphia: JB Lippincott, 1986a, pp 131–190.
Cronkite EP, Vincent PC . Granulocytopoiesis. In: Stohlman F (ed). Hemopoietic Cellular Proliferation. New York: Grune & Stratton Publ Co, 1970, pp 211–228.
Greenberg ML, Chanana AD, Cronkite EP, Giacomelli G, Rai KR, Schiffer LM et al. The generation time of human leukemic myeloblasts. Lab Invest 1972; 26: 245–252.
Killmann SA, Cronkite EP, Robertson JS, Fliedner TM, Bond VP . Estimation of phases of the life cycle of leukemic cells from labeling in human beings in vivo with tritiated thymidine. Lab Invest 1963; 12: 671–684.
Killmann SA . Acute leukemia: the kinetics of leukemic blast cells in man: an analytical review. Semin Hematol 1968; 1: 38–102.
Moore MAS, Williams N, Metcalf D . In vitro colony formation by normal and leukemic human hematopoietic cells: characterization of the colony forming cells. J Natl Cancer Inst 1973; 50: 603–623.
Rondanelli GE, Magliulo E, Giraldi A, Cario EP . The chronology of the mitotic cycle of human granulocytopoietic cells. Blood 1967; 30: 557–568.
Schmid JR, Kiely JM, Tauxe WN, Owen Jr CA . Cell proliferation in leukemia during relapse and remission. I. DNA and RNA synthesis of leukemic cells in the bone marrow in vitro. Acta Haematol 1966; 36: 313–322.
Stryckmans P, Debusscher L, Peltzer T, Socquet M . Variations of the proliferative activity of leukemic myeloblasts related to the stage of the disease. In: Bessis M, Brecher G (eds). Unclassifiable Leukemias. New York: Springer-Verlag Publishing Co., 1975, pp 239.
Vincent PC . Cell kinetics of the leukemias. In: Gunz F, Baikie AG (eds). Leukemia, 3rd edn. New York: Grune & Stratton Publishing Co., 1974, pp. 189–221.
Stryckmans P, Debusscher L, Socquet M . Regulation of bone marrow myeloblast proliferation in chronic myeloid leukemia. Cancer Res 1976; 36: 3034–3038.
Stryckmans P, Debusscher L, Collard E . Cell kinetics in chronic granulocytic leukaemia (CGL). Clin Haematol 1977; 6: 21–40.
Cheng T, Rodrigues N, Dombkowski D, Stier S, Scadden DT . Stem cell repopulation efficiency but not pool size is governed by p27kip1. Nat Med 2000; 6: 1235–1240.
Eaves C, Cashman J, Eaves A . Defective regulation of leukemic hematopoiesis in chronic myeloid leukemia. Leukemia Res 1998; 22: 1085–1096.
Gesbert F, Sellers WR, Signoretti S, Loda M, Griffin JD . BCR/ABL regulates expression of the cyclin-dependent kinase inhibitor p27Kip1 through the phosphatidylinositol 3-kinase/AKT pathway. J Biol Chem 2000; 275: 39223–39230.
Traycoff CY, Halstead B, Rice S, McMahel J, Srour EF,, Cornetta K . Chronic myelogenous leukaemia CD34+ cells exit G0/G1 phases of cell cycle more rapidly than normal marrow CD34+ cells. Br J Haematol 1998; 203: 759–767.
Clarkson B, Ota K, O'Connor A, Karnofsky DA . Production of granulocytes by the spleen in chronic granulocytic leukemia (CGL). J Clin Invest 1963; 42: 924.
Athens JW, Raab SO, Haab OP, Boggs DR, Ashenbrucker H, Cartwright GE et al. Leukokinetic studies: X. Blood granulocyte kinetics in chronic myelocytic leukemia. J Clin Invest 1965; 44: 765–777.
Chervenick PA, Boggs DR . Granulocyte kinetics in chronic myelocytic leukemia. Ser Haematol 1968; 1: 24–37.
Galbraith PR . Studies on the longevity, sequestration and release of the leukocytes in chronic myelogenous leukemia. J Assoc Med Can 1966; 95: 511–521.
Galbraith PR, Abu-Zahra HT . Granulopoiesis in chronic granulocytic leukaemia. Br J Haematol 1972; 22: 135–143.
Mauer AM, Jarrold T . Granulocyte kinetic studies in patients with proliferative disorders of the bone marrow. Blood 1963; 22: 125–138.
Morley AA . A neutrophil cycle in healthy individuals. Lancet 1966; 2: 1220–1222.
Morley AA, King-Smith EA, Stohlman Jr F . The oscillatory nature of hemopoiesis. In: Stohlman Jr F (ed). Hemopoietic Cellular Proliferation. New York: Grune & Stratton, 1970. pp 3–14.
King-Smith EA, Morley A . Computer simulation of granulopoiesis-normal and impaired granulopoiesis. Blood 1970; 36: 254–262.
Morley A, Stohlman Jr F . Cyclophosphamide-induced cyclical neutropenia. An animal model of a human periodic disease. N Engl J Med 1970; 282: 643–646.
Morley AA, Carew JP, Baikie AG . Familial cyclical neutropenia. Br J Haematol 1967; 13: 719–738.
Jakubowski AA, Souza L, Kelly F, Fain K, Budman D, Clarkson B et al. Effects of human granulocyte colony-stimulating factor in a patient with idiopathic neutropenia. N Engl J Med 1989; 320: 38–42.
Haurie C, Dale DC, Mackey MC . Occurrence of periodic oscillations in the differential blood counts of congenital, idiopathic, and cyclical neutropenic patients before and during treatment with G-CSF. Exp Hematol 1999a; 27: 401–409.
Fortin P, Mackey MC . Periodic chronic myelogenous leukaemia: spectral analysis of blood cell counts and aetiological implications. Br J Haematol 1999; 104: 336–345.
Gatti RA, Robinson WA, Deinard AS, Nesbit M, McCullough JJ, Ballow M et al. Cyclic leukocytosis in chronic myelogenous leukemia: new perspectives on pathogenesis and therapy. Blood 1973; 41: 771–782.
Morley AA, Baikie AG, Galton DAG . Cyclic leucocytosis as evidence for retention of normal homoeostatic control in chronic granulocytic leukaemia. Lancet 1967; 2: 1320–1323.
Shadduck RK, Winkelstein A, Nunna NG . Cyclic leukemic cell production in CML. Cancer 1972; 29: 399–401.
Vodopick H, Rupp EM, Edwards CL, Goswitz FA, Beauchamp JJ . Spontaneous cyclic leukocytosis and thromobocytosis in chronic granulocytic leukemia. N Engl J Med 1972; 286: 284–290.
Kennedy BJ . Cyclic leukocyte oscillations in chronic myelogenous leukemia during hydroxyurea therapy. Blood 1970; 35: 751–760.
Haurie C, Person R, Dale DC, Mackey MC . Hematopoietic dynamics in grey collies. Exp Hematol 1999b; 27: 1139–1148.
Haurie C, Dale DC, Rudnicki R, Mackey MC . Modeling complex neutrophil dynamics in the grey collie. J Theoret Biol 2000; 204: 505–519.
Duvall CP, Perry S . The use of 51-chromium in the study of leukocyte kinetics in chronic myelocytic leukemia. J Lab Clin Med 1968; 71: 614–628.
Cronkite EP . Normal human granulocytopoiesis. In: The Proliferation and Spread of Neoplastic Cells. Baltimore: Williams & Wilkins Publishing Co, 1968, pp 281–294.
Perry S, Moxley III JH, Weiss GH, Zelen M . Studies of leukocyte kinetics by liquid scintillation counting in normal individuals and in patients with chronic myelocytic leukemia. J Clin Invest 1966; 45: 1388–1399.
Scott JL, McMillan R, Davidson JG, Marino JV . Leukocyte labeling with 51chromium. II. Leukocyte kinetics in chronic myeloid leukemia. Blood 1971; 38: 162–173.
Moxley JH, Perry S, Weiss GH, Zelen M . Return of leucocytes to the bone marrow in chronic myelocytic leukaemia. Nature 1965; 208: 1281–1282.
Uchida N . Leukokinetic studies in peripheral blood. II. Granulocyte kinetics in chronic myelocytic leukemia. Acta Haematol Japon 1971; 34: 186–204.
Kerr JFR, Wylie AH, Currie AR . Apoptosis: a basic biological phenomenon with wide-ranging implications in tissue kinetics. Br J Cancer 1972; 26: 239–257.
Koury MJ . Minireview: programmed cell death (apoptosis) in hematopoiesis. Exp Hematol 1992; 20: 391–394.
Lockshin RA, Williams CM . Programmed cell death. II. Endocrine potentiation of the breakdown of the intersegmental muscles of silkmoths. J Insect Physiol 1964; 10: 643–649.
Squier MKT, Sehnert AJ, Cohen JJ . Apoptosis in leukocytes. J Leukocyte Biol 1995; 57: 2–10.
Daley GQ, Baltimore D . Transformation of an interleukin 3-dependent hematopoietic cell line by the chronic myelogenous leukemia-specific p210bcr/abl protein. Proc Nat Acad Sci USA 1988; 85: 9312–9316.
Cortez D, Kadlec L, Pendergast AM . Structural and signaling requirements for BCR-ABL-mediated transformation and inhibition of apoptosis. Mol Cell Biol 1995; 15: 5531–5541.
Hariharan IK, Adams JM, Cory S . bcr-abl oncogene renders myeloid cell line factor independent: potential autocrine mechanisms in chronic myeloid leukemia. Oncogene Res 1988; 3: 387–399.
Kabarowski JHS, Allen PB, Wiedemann LM . A temperature sensitive p210 BCR-ABL mutant defines the primary consequences of BCR-ABL tyrosine kinase expression in growth factor dependent cells. EMBO J 1994; 13: 5887–5895.
Laneuville P, Timm M, Hudson AT . bcr/abl expression in 32D cl3(G) cells inhibits apoptosis induced by protein tyrosine kinase inhibitors. Cancer Res 1994; 54: 1360–1366.
Li L, Keating MJ, Plunkett W, Yang LY . Fludarabine-mediated repair inhibition of cisplatin-induced DNA lesions in human chronic myelogenous leukemia-blast crisis K562 cells: induction of synergistic cytotoxicity independent of reversal of apoptosis resistance. Mol Pharmacol 1997; 52: 798–806.
McGahon A, Bissonnette R, Schmitt M, Cotter KM, Green DR, Cotter TG . Rapid Communication. BCR-ABL maintains resistance of chronic myelogenous leukemia cells to apoptotic cell death. Blood 1994; 83: 1179–1187.
Munker R, Marini F, Jiang S, Savary C, Owen-Schaub L, Andreeff M . Expression of CD95(FAS) by gene transfer does not sensitize K562 to Fas-killing. Hematol Cell Ther 1997; 39: 75–78.
Riordan FA, Bravery CA, Mengubas K, Ray N, Borthwick NJ, Akbar AN et al. Herbimycin A accelerates the induction of apoptosis following etoposide treatment or gamma-irradiation of bcr/abl-positive leukaemia cells. Oncogene 1998; 16: 1533–1542.
Scheid S, Heinzinger M, Waller CF, Lange W . Bcl-2 mRNA-targeted ribozymes: effects on programmed cell death in chronic myelogenous leukemia cell lines. Ann Hematol 1998; 76: 117–125.
Smetsers TFCM, Skorski T, van de Locht LTF, Wessels HMC, Pennings AHM, de Witte T et al. Antisense BCR-ABL oligonucleotides induce apoptosis in the Philadelphia chromosome-positive cell line BV-173. Leukemia 1994; 8: 129–140.
Evans CA, Owen-Lynch PJ, Whetton AD, Dive C . Advances in brief. Activation of the Abelson tyrosine kinase activity is associated with suppression of apoptosis in hemopoietic cells. Cancer Res 1993; 53: 1735–1738.
Bedi A, Zehnbauer BA, Barber JP, Sharkis SJ, Jones RJ . Rapid communication: inhibition of apoptosis by BCR-ABL in chronic myeloid leukemia. Blood 1994; 83: 2038–2044.
Gora-Tybor J, Deininger MW, Goldman JM, Melo JV . The susceptibility of Philadelphia chromosome positive cells to FAS-mediated apoptosis is not linked to the tyrosine kinase activity of BCR-ABL. Br J Haematol 1998; 103: 716–720.
Handa H, Hegde UP, Kotelnikov VM, Mundle SD, Dong LM, Burke P et al. Bcl-2 and c-myc expression, cell cycle kinetics and apoptosis during the progression of chronic myelogenous leukemia from diagnosis to blastic phase. Leukemia Res 1997; 21: 479–489.
Horita M, Andreu EJ, Benito A, Arbona C, Sanz C, Benet I et al. Blockade of the Bcr-Abl kinase activity induces apoptosis of chronic myelogenous leukemia cells by suppressing signal transducer and activator of transcription 5-dependent expression of Bcl-xL . J Exp Med 2000; 191: 977–984.
Selleri C, Sato T, Del Vecchio L, Luciano L, Barrett AJ, Rotoli B et al. Involvement of Fas-mediated apoptosis in the inhibitory effects of interferon-alpha in chronic myelogenous leukemia. Blood 1997; 89: 957–964.
Selleri C, Maciejewski JP, Pane F, Luciano L, Raiola AM, Mostarda I et al. Fas-mediated modulation of Bcr/Abl in chronic myelogenous leukemia results in differential effects on apoptosis. Blood 1998; 92: 981–989.
Stuppia L, Calabrese G, Peila R, Guanciali-Franchi P, Morizio E, Spadano A, Palka G . p53 loss and point mutations are associated with suppression of apoptosis and progression of CML into myeloid blastic crisis. Cancer Genet Cytogenet 1997; 98: 28–35.
Amarante-Mendes GP, McGahon AJ, Nishioka WK, Afar DE, Witte ON, Green DR . Bcl-2-independent Bcr-Abl-mediated resistance to apoptosis: protection is correlated with upregulation of Bcl-xL . Oncogene 1998; 16: 1383–1390.
Fang G, Kim CN, Perkins CL . CGP57148B (STI571) induces differentiation and apoptosis and sensitizes Bcr-Abl-positive human leukemia cells to apoptosis due to antileukemic drugs. Blood 2000; 96: 2246–2253.
Ray S, Bullock G, Nunez G, Tang C, Ibrado AM, Huang Y et al. Enforced expression of Bcl-xS induces differentiation and sensitizes CML-blast crisis K562 cells to Ara-C mediated differentiation and apoptosis. Cell Growth Differ 1996; 7: 1617–1623.
Albrecht T, Schwab R, Henkes M, Peschel C, Huber C, Aulitzky WE . Primary proliferating immature myeloid cells from CML patients are not resistant to induction apoptosis by DNA damage and growth factor withdrawal. Br J Haematol 1996; 95: 501–507.
Amos TAS, Lewis JL, Grand FH, Gooding RP, Goldman JM, Gordon MY . Apoptosis in chronic myeloid leukaemia: normal responses by progenitor cells to growth factor deprivation, X-irradiation and glucocorticoids. Br J Haematol 1995; 91: 387–393.
Gordon MY, Dazzi F, Marley SB, Lewis JL, Nguyen D, Grand FH et al. Cell biology of CML cells. Leukemia 1999; 1(Suppl): S65–S71.
Roger R, Isaad C, Pallardy M, Leglise M-C, Turhan AG, Bertoglio J et al. BCR-ABL does not prevent apoptotic death induced by human natural killer or lymphokine activated killer cells. Blood 1996; 87: 1113–1122.
Vigneri P, Wang JY . Induction of apoptosis in chronic myelogenous leukemia cells through nuclear entrapment of BCR-ABL tyrosine kinase. Nature Med 2001; 7: 228–234 (Comment pp 156–157).
Wang JYJ . Regulation of cell death by the Abl tyrosine kinase. Oncogene 2000; 19: 5643–5650.
Marley SB, Deininger MW, Davidson RJ, Goldman JM, Gordon MY . The tyrosine kinase inhibitor STI571, like interferon-α, preferentially reduces the capacity for amplification of granulocyte-macrophage progenitors from patients with chronic myeloid leukemia. Exp Hematol 2000; 28: 551–557.
Strife A, Perez A, Lambek C, Wisniewski D, Bruno S, Darzynkiewicz Z et al. Characterization of lineage-negative blast subpopulations derived from normal and chronic myelogenous leukemia bone marrows and determination of their responsiveness to human c-kit ligand. Cancer Res 1993; 53: 401–409.
Strife A, Perez A, Lambek C, Wisniewski D, Bruno S, Darzynkiewicz Z et al. Differences in the composition and in the efficiency of red cell production of normal and CML erythroid progenitor populations are highlighted by response to human c-kit ligand. Leukemia Res 1993; 17: 799–807.
Strife A, Lambek C, Wisniewski D, Arlin Z, Thaler H, Clarkson B . Proliferative potential of subpopulations of granulocyte–macrophage progenitor cells in normal subjects and chronic myelogenous leukemia patients. Blood 1983; 62: 389–397.
Strife A, Lambek C, Wisniewski D, Gulati S, Gasson JC, Golde DW et al. Activities of four purified growth factors on highly enriched human hematopoietic progenitor cells. Blood 1987; 69: 1508–1523.
Clarkson B, Ohkita T, Ota K, Fried J . Studies of cellular proliferation in human leukemia I: estimation of growth rates of leukemic and normal hematopoietic cells in two adults with acute leukemia given single injections of tritiated thymidine. J Clin Invest 1967a; 46: 506–529.
Clarkson BD . Review of recent studies of cellular proliferation in acute leukemia. In: Perry S (ed). Human Tumor Cell Kinetics. Bethesda, Maryland: National Cancer Institute Monograph 30/584, 1969a, pp 81–120.
Clarkson BD, Fried J, Ogawa M . Discussion: magnitude of proliferating fraction and rate of proliferation of populations of leukemic cells in man. In: Recent Results in Cancer Research, Monograph 17: Symposium on Normal and Malignant Cell Growth, New York: Springer-Verlag, 1969b, pp 175–185.
Clarkson B, Fried J, Strife A, Sakai Y, Ota K, Ohkita T . Studies of cellular proliferation in human leukemia III: behavior of leukemic cells in three adults with acute leukemia given continuous infusions of 3H Thymidine for 8 or 10 days. Cancer 1970; 25: 1237–1260.
Clarkson B, Strife A, Fried J, Sakai Y, Ota K, Ohkita T et al. Studies of cellular proliferation in human leukemia IV: behavior of normal hematopoietic cells in 3 adults with acute leukemia given continuous infusions of 3H-Thymidine for 8 or 10 days. Cancer 1970; 26: 1–19.
Yen A, Fried J, Kitahara T, Strife A, Clarkson BD . The kinetic significance of cell size: I. Variation of cell cycle parameters with size measured at mitosis. Exp Cell Res 1975; 95: 295–302.
Yen A, Fried J, Kitahara T, Strife A, Clarkson BD . The kinetic significance of cell size: II. Size distributions of resting and proliferating cells during interphase. Exp Cell Res 1975; 95: 303–310.
Holyoake TL, Jiang X, Drummond MW, Eaves AC, Eaves CJ . Review: elucidating critical mechanisms of deregulated stem cell turnover in the chronic phase of chronic myeloid leukemia. Leukemia 2002; 16: 549–558.
Wisniewski D, Strife A, Clarkson B . Co-detection of chimeric BCR/ABL (target) and β-actin (control) messenger RNA in individual CFU-GM colonies derived from CML patients using the polymerase chain reaction. Leukemia Res 1991; 15: 867–874.
Brandt J, Briddell RA, Srour EF, Leemhuis TB, Hoffman R . Role of c-kit ligand in the expansion of human hematopoietic progenitor cells. Blood 1992; 79: 634–641.
Galli SJ, Zsebo KM, Geissler EN . The kit ligand, stem cell factor. Adv Immunol 1994; 55: 1–96.
McNiece IK, Langley KE, Zsebo KM . Recombinant human stem cell factor synergises with GM-CSF, G-CSF, IL-3 and epo to stimulate human progenitor cells of the myeloid and erythroid lineage. Exp Hematol 1991; 19: 226–231.
Eaves AC, Eaves CJ . Abnormalities in the erythroid progenitor compartments in patients with chronic myelogenous leukemia (CML). Expe Hematol 1979; 7: 65–75.
Singer JW, Adamson JW, Arlin ZA, Kempin SJ, Clarkson BD, Fialkow PJ . Chronic myelogenous leukemia. In vitro studies of hematopoietic regulation in a patient undergoing intensive chemotherapy. J Clin Invest 1981; 67: 1593–1598.
Wognum AW, Krystal G, Eaves CJ, Eaves AC, Lansdorp PM . Increased erythropoietin-receptor expression on CD34-positive bone marrow cells from patients with chronic myeloid leukemia. Blood 1992; 79: 642–649.
Marley SB, Lewis JL, Goldman JM, Gordon MY . Abnormal kinetics of colony formation by erythroid burst-forming units (BFU-E) in chronic myeloid leukaemia. Br J Haematol 1996; 93: 878–883.
Druker BJ, Talpaz M, Resta DJ, Peng B, Buchdunger E, Ford JM et al. Efficacy and safety of a specific inhibitor of the Bcr-Abl tyrosine kinase in chronic myeloid leukemia. N Engl J Med 2001a; 344: 1031–1037.
Nagar B, Bornmann W, Pellicena P, Schindler T, Young M, Veach D et al. Crystal structure of the c-abl tyrosine kinase domain in complex with PD173955 and STI-571. Cancer Res 2002; 15: 4236–4243.
Veach DR, Swendeman S, Nagar B, Wisniewski D, Strife A, Lambek CL et al. Towards picomolar inhibition of Bcr-Abl: Synthesis and evaluation of a focused library of pyrido-[23-d]-pyrimidine tyrosine kinase inhibitors guided by X-ray crystallography and molecular modeling. Proc Am Assoc Cancer Res 2002; 43: 847 (Abstract 4199).
Trumpp-Kallmeyer S, Rubin JR, Humblet C, Hamby JM, Showalter HDH . Development of a binding model to protein tyrosine kinases for substituted pyrido[2,3-d]pyrimidine inhibitors. J Med Chem 1998; 41: 1752–1763.
Berman E, Jhanwar S, McBride M, Strife A, Wisniewski D, Lambek C et al. Characterization of two novel sublines established from a human megakaryoblastic leukemic cell line transfected with p210bcr-abl. Leukemia Res 2000; 24: 289–297.
Moore S, Haylock DN, Lovesque JP, Mcdiarmid LA, Samuels LM, To LB et al. Stem cell factor as a single agent induces selective proliferation of the Philadelphia chromosome positive fraction of CML CD34+ cells. Blood 1998; 92: 2461–2470.
Moore S, Mcdiarmid LA, Hughes TP . Stem cell factor and chronic myeloid leukemia Cd34+ cells. Leukemia Lymphoma 2000; 38: 211–220.
Pierce A, Spooncer E, Ainsworth S, Whetton AD . BCR-ABL alters the proliferation and differentiation response of multipotent hematopoietic cells to stem cell factor. Oncogene 2002; 21: 3068–3075.
Metcalf D . Review Article. Hematopoietic regulators: redundancy or subtlety? Blood 1993; 82: 3515–3523.
Muta K, Krantz SB, Bondurant MC, Dai C-H . Stem cell factor retards differentiation of normal human erythroid progenitor cells while stimulating proliferation. Blood 1995; 86: 572–580.
Cervantes F, Robertson JE, Rozman C, Baccarani M, Tura S, Gómez GA et al. Long-term survivors in chronic granulocytic leukemia: a study by the International CGL Prognosis Study Group. Br J Haematol 1994; 87: 293–300.
Hehlmann R, Heimpel H, The German CML Study Group. Randomized comparison of busulfan and hydroxyurea in chronic myelogenous leukemia: prolongation of survival by hydroxyurea. Blood 1993; 82: 398–407.
Monfardini S, Gee T, Fried J, Clarkson B . Survival in chronic myelogenous leukemia: influence of treatment and extent of disease at diagnosis. Cancer 1973; 31: 492–501.
Selleri L, Emilia G, Temperani P . Philadelphia-positive chronic myelogenous leukemia with typical bcr/abl molecular features and atypical, prolonged survival. Leukemia 1989; 3: 538.
Sokal JE, Cox EB, Baccarani M, Tura S, Gomez GA, Robertson JE et al. Prognostic discrimination in ‘good-risk’ chronic granulocytic leukemia. Blood 1984; 63: 789–799.
Sokal JE, Baccarani M, Tura S, Fiacchini M, Cervantes F, Rozman C et al. Prognostic discrimination among younger patients with chronic granulocytic leukemia: relevance to Bone Marrow Transplant. Blood 1985; 66: 1352–1357.
Italian Cooperative Study Group on Chronic Myeloid Leukemia. Prospective confirmation of a prognostic classification for Ph+ chronic myeloid leukaemia. Br J Haematol 1988; 69: 463–466.
Kantarjian HM, Smith TL, McCredie KL . Chronic myelogenous leukemia: a multivariate analysis of the associations of patient characteristics and therapy with survival. Blood 1985; 66: 1326.
Simon W, Segel GB, Lichtman MA . Upper and lower time limits in the decision to recommend marrow transplantation for patients with chronic myelogenous leuykaemia. Br J Haematol 1988; 70: 31–36.
Minot JB, Buckman TE, Isaacs R . Chronic myelogenous leukemia: age, incidence, duration and benefit derived from irradations. JAMA 1924; 82: 1489.
Rushing D, Goldman A, Gibbs G, Howe R, Kennedy BJ . Hydroxyurea versus busulfan in the treatment of chronic myelogenous leukemia. Am J Clin Oncol 1982; 5: 307–313.
Arlin ZA, Mertelsmann R, Berman E, Gee T, Kurland E, Chaganti RSK et al. 13-cis-retinoic acid does not increase the true remission rate and the duration of true remission (induced by cytotoxic chemotherapy) in patients with chronic phase chronic myelogenous leukemia. J Clin Oncol 1985; 3: 473–476.
Clarkson B . Editorial: chronic myelogenous leukemia: is aggressive treatment indicated. J Clin Oncol 1985a; 3: 135–139.
Hester JP, Waddell CC, Coltman CA . Response of chronic myelogenous leukemia patients to COAP-splenectomy. A Southwest Oncology Group Study. Cancer 1984; 54: 1977–1982.
Kantarjian HM, Vellekoop L, McCredie KB, Keating MJ, Hester J, Smith T et al. Intensive combination chemotherapy (ROAP 10) and splenectomy in the management of chronic myelogenous leukemia. J Clin Oncol 1985; 3: 192–200.
Kantarjian HM, Talpaz M, Andersson B, Khouri I, Giralt S, Rios MB et al. High doses of cyclophosphamide, etoposide and total body irradiation followed by autologous stem cell transplantation in the management of patients with chronic myelogenous leukemia. Bone Marrow Transplant 1994; 14: 57–61.
Agiletta M, Piacibello W, Stacchini A, Sanavio F, Gavosto F . In-vitro effect of retinoic acid on normal and chronic myeloid leukemia granulopoiesis. Leukemia Res 1985; 9: 879–883.
Lilly M, Tompkins C, Brown C, Pettit G, Kraft A . Differentiation and growth modulation of chronic myelogenous leukemia cells by bryostatin. Cancer Res 1990; 50: 5520–5525.
Januszewicz E, Rabizadah ER, Maimon Z, Zaizov R, Shaklai M . Inhibition by retinoic acid of myeloid progenitors in chronic myeloid leukemia and myeloproliferative disease: increased sensitivity in blastic phase of chronic myeloid leukemia. Pathology 1988; 20: 1–6.
Wiemann MC, Khorsand J, Poisson L, Frackleton AR, Calabresi P . Evaluation of differentiation-inducing drugs against human chronic myeloid leukemic cells in vivo. Proc Am Assoc Cancer Res 1988; 29: A99676.
Gold EJ, Mertelsmann RH, Itri LM, Gee T, Arlin Z, Kempin S et al. Phase I clinical trial of 13-cis-retinoic acid in myelodysplastic syndrome. Cancer Treat Rep 1983; 67: 981–986.
Hellstrom E, Robert KH, Gahrton G . Therapeutic effects of low-dose cytosine arabinoside, α-interferon, 1-α-hydroxy vitamin D3, and retinoic acid in acute leukemia and myelodysplastic syndromes. Eur J Haematol 1988; 40: 449–459.
Wiernik P, Dutcher J, Paietta E, Hittelman W, Vyas R, Strack M et al. Treatment of promyelocytic blast crisis of chronic myelogenous leukemia with all trans-retinoic acid. Leukemia 1991; 5: 504–509.
Castaigne S, Chomienne C, Daniel M-T, Ballerini P, Berger R, Fenaux P et al. All-trans-retinoic acid as a differentiation therapy for acute promyelocytic leukemia I: clinical results. Blood 1990; 76: 1704–1709.
Chen Z-X, Xue Y-Q, Zhang R, Tao R-F, Xia X-M, Li C et al. A clinical and experimental study on all-trans retinoic acid-treated acute promyelocytic leukemia patients. Blood 1991; 78: 1413–1419.
Frankel SR, Eardley A, Lauwers G, Weiss M, Warrell Jr RP . The ‘retinoic acid syndrome’ in acute promyelocytic leukemia. Ann Intern Med 1992a; 117: 292–296.
Frankel SR, Miller Jr WH, Dmitrovsky E . Retinoic acid and its rearranged receptor in the etiology and treatment of acute promyelocytic leukemia. Oncology 1992b; 6: 74–83.
Warrell Jr RP, Frankel SR, Miller Jr WH, Scheinberg DA, Itri LM, Hittelman WN et al. Differentiation therapy of acute promyelocytic leukemia with tretinoin (all-trans retinoic acid). N Engl J Med 1991; 324: 1385–1393.
Warrell Jr RP, de Thé H, Wang Z-Y, Degos L . Advances in biology and treatment of acute promyelocytic leukemia. N Engl J Med 1993; 329: 177–189.
Allan NC, Richards SM, Shepherd PC . UK Medical Research Council randomised, multicentre trial of interferon-alpha n1 for chronic myeloid leukaemia: improved survival irrespective of cytogenetic response. Lancet 1995; 345: 1392–1397.
Chronic Myeloid Leukemia Trialists' Collaborative Group. Interferon alpha versus chemotherapy for chronic myeloid leukemia: a meta-analysis of seven randomized trials. J Natl Cancer Inst 1997; 89: 1616–1620.
Gale RP, Hehlmann R, Zhang MJ, Hasford J, Goldman JM, Heimpel H et al. Survival with bone marrow transplantation versus hydroxyurea or interferon for chronic myelogenous leukemia. The German CML Study Group. Blood 1998; 91: 1810–1819.
Ozer H, George SL, Schiffer CA . Prolonged subcutaneous administration of recombinant-α 2b interferon in patients with previously untreated Philadelphia chromosome-positive chronic-phase chronic myelogenous leukemia: effect on remission duration and survival: Cancer and Leukemia Group B Study 8583. Blood 1993; 82: 2975.
Tura S, Baccarani M, The Italian Cooperative Study Group on Chronic Myeloid Leukemia. Alpha-interferon in the treatment of chronic myeloid leukemia. Blood 1995; 85: 2999–3002.
Wetzler M, Kantarjian H, Kurzrock R, Talpaz M . (Review) Interferon-alpha therapy for chronic myelogenous leukemia. Am J Med 1995; 99: 402–411.
Hasford J, Pfirrmann M, Helhmann R, Allan NC, Baccarani M, Kluin-Nelemans JC et al. A new prognostic score for survival of patients with chronic myeloid leukemia treated with interferon alfa. Writing Committee for the Collaborative CML Prognostic Factors Project Group. J Nat Cancer Inst 1998; 90: 850–858.
Kloke O, Niederle N, Opalka B, Hawig I, Seeber S, Becher R . Prognostic impact of interferon alpha-induced cytogenetic remission in chronic myelogenous leukaemia: long-term follow-up. Eur J Haematol 1996; 56: 78–81.
Sawyers CL . Genetic interactions between abl and p53: implications for cell growth and transformation. Proceedings of the International Symposium on Chronic Myelogenous Leukemia, Biarritz, France, July 7–9, 1999 (Abstract, p 28).
Sawyers CL . The cell cycle: tyrosine kinase inhibitors in chronic myeloid leukemia. Cancer J Sci Am 1999; 5: 63–69.
Eberle F, Toiron Y, Camerlo J, Lafage M, Sainty D, Arnoulet C et al. Persistence of BCR/ABL mRNA-expressing bone-marrow cells in patients with chronic myelogenous leukemia in complete cytogenetic remission induced by interferon-alpha therapy. Leukemia Lymphoma 1995; 18: 153–157.
Hochhaus A, Lin F, Reiter A . Variable numbers of BCR-ABL transcripts persist in CML patients who achieve complete cytogenetic remission with interferon-alpha. Br J Haematol 1995; 91: 126–131.
Lee M-S, Kantarjian H, Talpaz M, Freireich EJ, Deisseroth A, Trujillo JM et al. Detection of minimal residual disease by polymerase chain reaction in Philadelphia chromosome-positive chronic myelogenous leukemia following interferon therapy. Blood 1992; 79: 1920–1923.
Opalka B, Wandl UB, Becher R, Kloke O, Nagel-Hiemke NM, Moritz T et al. Minimal residual disease in patients with chronic myelogenous leukemia undergoing long-term treatment with recombinant interferon alpha-2b alone or in combination with interferon gamma. Blood 1991; 78: 2188–2193.
Pasternak G, Schultheis B, Heissig B, Horner S, Sick C, Helhmann R . Does long-term culture favor normal clonogenic cells from interferon-treated patients with chronic myelogenous leukemia? Leukemia 1999; 13(Suppl 1): S55 S64.
Galvani D, Cawley C . Mechanism of action of alpha interferon in chronic granulocytic leukaemia: evidence for preferential inhibition of late progenitors. Br J Haematol 1989; 73: 475–479.
Van Etten RA . The molecular pathogenesis of the Philadelphia-positive leukemias: implications for diagnosis and therapy, Chapter 14. In: Freireich EJ, Kantarjian H (eds). Leukemia: Advances, Research and Treatment. Dordrecht, MA: Kluwer Academic Publishers, 1993, pp 295–325.
Choudhury A, Gajewski JL, Liang JC, Popat U, Claxton DF, Kliche KL et al. Use of leukemic dendritic cells for the generation of antileukemic cellular cytotoxicity against Philadelphia chromosome-positive chronic myelogenous leukemia. Blood 1997; 89: 1133–1142.
Chen C-K, Uchida H, Miyakawa Y, Ikeda Y, Kizaki M . Induction of apoptosis by cooperative interaction of ICSBP and PU.1 on the regulation of bcl-2 gene expression in interferon-α-treated CML cells. Blood 2002; 100: 582a (Abstract 2286).
Guilhot F, Chastang C, Michallet M . Interferon alfa-2b combined with cytarabine versus interferon alone in chronic myelogenous leukemia. French Chronic Myeloid Leukemia Study Group. N Engl J Med 1997; 337: 223–229.
Maloisel F, Guerci A, Guyotat D, Ifrah N, Michallet M, Reiffers J et al. Results of a phase II trial of oral cytarabine ocfosfate (YNK01) and interferon alpha-2b for the treatment of chronic myelogenous leukemia patients in chronic phase. France Intergroupe des Leucemies Myeloides Chroniques. Leukemia 2002; 16: 573–580.
Brunstein CG, McGlave PB . The biology and treatment of chronic myelogenous leukemia. Oncology 2001; 1: 23–32.
Horowitz MM, Rowlings PA, Passweg JR . Allogeneic bone marrow transplantation for CML: a report from the International Bone Marrow Transplant Registry. Bone Marrow Transplant 1996; 17(Suppl 3): S5–S6.
van Rhee F, Szydlo RM, Hermans J . Long-term results after allogeneic Bone Marrow Transplant for chronic myelogenous leukemia in chronic phase: a report from the Chronic Leukemia Working Party of the European Group for Blood and Marrow Transplantation. Bone Marrow Transplant 1997; 20: 553–560.
Zuffa E, Bandini G, Bonini A, Santucci MA, Martinelli G, Rosti G et al. Prior treatment with alpha-interferon does not adversely affect the outcome of allogeneic BMT in chronic phase chronic myeloid leukemia. Haematologica 1998; 83: 231–236.
Clift RA, Anasetti C . Allografting for chronic myeloid leukaemia. Baillieres Clin Haematol 1997; 10: 319–336.
Lin F, Goldman JM, Cross NC . A comparison of the sensitivity of blood and bone marrow for the detection of minimal residual disease in chronic myeloid leukaemia. Br J Haematol 1994; 86: 683–685.
Lin F, Chase A, Bungey J, Goldman JM, Cross NC . Correlation between the proportion of Philadelphia chromosome-positive metaphase cells and levels of BCR-ABL mRNA in chronic myeloid leukaemia. Genes Chromosomes Cancer 1995; 13: 110–114.
Xu WM, Piao XH, Addy L, Jamal M, Minden MD, Messner HA . Minimal residual disease in bone marrow transplant recipients with chronic myeloid leukemia. Bone Marrow Transplant 1994; 14: 299–306.
Miyamura K, Tahara T, Tanimoto M . Long persistent bcr-abl positive transcript detected by polymerase chain reaction after marrow transplant for chronic myelogenous leukemia without clinical relapse: a study of 64 patients. Blood 1993; 81: 1089–1093.
Radich JP, Gehly G, Gooley T . Polymerase chain reaction detection of the BCR-ABL fusion transcript after allogeneic marrow transplantation for chronic myeloid leukemia: results and implications in 346 patients. Blood 1995; 85: 2632–2638.
Cullis JO, Jiang YZ, Schwarer AP, Hughes TP, Barrett AJ, Goldman JM . Donor leukocyte infusions for chronic myeloid leukemia in relapse after allogeneic bone marrow transplantation. Blood 1992; 79: 1379–1381.
Kolb HJ, Schattenberg A, Goldman JM, Hertenstein B, Jackobsen N, Arcese W et al. Graft-versus-leukemia effect of donor lymphocyte transfusions in marrow grafted patients. Blood 1995; 86: 2041–2050.
Porter DL, Roth MS, McGarigle C, Ferrara JLM, Antin JH . Induction of graft-versus-host disease as immunotherapy for relapsed chronic myeloid leukemia. N Engl J Med 1994; 330: 100–106.
van Rhee F, Lin G, Cullis JO, Spencer A, Cross NC, Chase A et al. Relapse of chronic myeloid leukemia after allogeneic bone marrow transplant: the case for giving donor leukocyte transfusions before the onset of hematologic relapse. Blood 1994; 83: 3377–3383.
Mackinnon S, Papadopoulos EB, Carabasi MH, Reich L, Collins NH, Boulad F et al. Adoptive immunotherapy evaluating escalating doses of donor leukocytes for relapse of chronic myeloid leukemia after bone marrow transplantation: separation of graft-versus-leukemia responses from graft-versus-host disease. Blood 1995a; 86: 1261–1268.
Mackinnon S, Papadopoulos EB, Carabasi MH, Reich L, Collins NH, O'Reilly RJ . Adoptive immunotherapy using donor leukocytes following bone marrow transplantation for chronic myeloid leukemia: is T cell dose important in determining biological response? Bone Marrow Transplant 1995b; 15: 591–594.
Collins Jr RH, Shpilberg O, Drobyski WR . Donor leukocyte infusions in 140 patients with relapsed malignancy after allogeneic bone marrow transplantation. J Clin Oncol 1997; 15: 433–444.
Drobyski WR, Hessner MJ, Klein JP . T-cell depletion plus salvage immunotherapy with donor leukocyte infusions as a strategy to treat chronic-phase chronic myelogenous leukemia patients undergoing HLA-identical sibling marrow transplantation. Blood 1999; 94: 434–441.
Sehn LH, Alyea EP, Weller E . Comparative outcomes of T-cell-depleted and non-T-cell-depeleted allogeneic Bone Marrow Transplant for chronic myelogenous leukemia: impact of donor lympocyte infusion. J Clin Oncol 1999; 17: 561–568.
Wu CJ, Chen L, Kutok JL, Canning CM, Alyea EP, Yang X-F et al. CML28 and CML66 are GVL-associated antigens that are highly expressed in proliferating cells. Blood 2002; 100: 581a (Abstract 2285).
Zorn E, Wang KL, Hochberg EP, Canning C, Alyea EP, Soiffer RJ et al. Infusion of CD4+ donor lymphocytes induces the expansion of CD8+ donor T cells with cytolytic activity directed against recipient hematopoietic cells. Clin Cancer Res 2002; 8: 2052–2060.
Lee SJ, Kuntz KM, Horowitz MM . Unrelated donor bone marrow transplantation for chronic myelogenous leukemia: a decision analysis. Ann Intern Med 1997; 127: 1080–1088.
McGlave P, Kollman C, Shu XO . The first 1000 unrelated donor transplants for CML: lessons from the National Marrow Donor Program (NMDP) experience. Blood 1996; 88(Suppl 1): 483a (abstract).
Hansen JA, Gooley TA, Martin PJ . Bone marrow transplants from unrelated donors for patients with chronic myeloid leukemia. N Engl J Med 1998; 338: 962–968.
Goldman JM . Autografting for CML: overview and perspectives. Bone Marrow Transplant 1996; 17(Suppl 3): S71–S74.
Reiffers J, Goldman J, Meloni G, Cahn JY, Faberes C, Apperley J et al. Autologous transplantation in chronic myelogenous leukemia: European results. Bone Marrow Transplant 1994; 14(Suppl 3). S51 S54.
Barnett M, Eaves C, Eaves A . Autografting with cultures marrow in chronic myeloid leukemia. Proceedings of the International Symposium on Chronic Myelogenous Leukemia, Biarritz, France July 7–9, 1999 (Abstract, p 62).
Bocchia M, Korontsvit T, Xu Q . Specific human cellular immunity to bcr-abl oncogene-derived peptides. Blood 1996; 87: 3587–3592.
Clark RE . Cytotoxic T-cells against BCR-ABL. Proceedings of the International Symposium on Chronic Myelogenous Leukemia, Biarritz, France, July 7–9, 1999 (Abstract, p 57).
de Fabritiis P, Amadori S, Petti MC . In vitro purging with BCR-ABL antisense oligodeoxynucleotides does not prevent haematologic reconstitution after autologous bone marrow transplantation. Leukemia 1995; 9: 662–664.
Gewirtz AM . Treatment of chronic myelogenous leukemia (CML) with c-myb antisense oligodeoxynucleotides. Bone Marrow Transplant 1994; 14(Suppl 3): S57–S61.
Scheinberg DA . Specific immunotherapy of chronic myelogenous leukemia: Passive and active strategies. Proceedings of the International Symposium on Chronic Myelogenous Leukemia, Biarritz, France, July 7–9, 1999 (Abstract, p 56).
Verfaillie CM, Bhatia R, Miller W . BCR/ABL-negative primitive progenitors suitable for transplantation can be selected from the marrow of most early-chronic phase but not accelerated-phase chronic myelogenous leukemia patients. Blood 1996; 87: 4770–4779.
Carlo-Stella C, Di Nicola M, Tabilio A . Generation of dendritic cells from chronic myelogenous leukemia CD34+ cells. Proceedings of the International Symposium on Chronic Myelogenous Leukemia, Biarritz, France, July 7–9, 1999 (Abstract, p 55).
Nieda M, Nicol A, Kikuchi A . Dendritic cells stimulate the expansion of bcr-abl specific CD8+ T cells with cytotoxic activity against leukemic cells from patients with chronic myeloid leukemia. Blood 1998; 91: 977–983.
Waller CF, Martens UM, Lange W . Letter to the Editor: Philadelphia chromosome-positive cells are equally distributed in AC133+ and AC133C fractions of CD34+ peripheral blood progenitor cells from patients with CML. Leukemia 1999; 13: 1466–1467.
Petzer AL, Eaves CJ, Barnett MJ, Eaves AC . Selective expansion of primitive normal hematopoietic cells in cytokine-supplemented cultures of purified cells from patients with chronic myeloid leukemia. Blood 1997; 90: 64–69.
McGlave PB, De Fabritiis P, Deisseroth A, Goldman J, Barnett M, Reiffers J et al. Autologous transplants for chronic myelogenous leukaemia: results from eight transplant groups. Lancet 1994; 343: 1486–1488.
Deisseroth AB, Zu Z, Claxton D . Genetic marking shows that Ph+ cells present in autologous transplants of chronic myelogenous leukemia (CML) contribute to relapse after autologous bone marrow in CML. Blood 1994; 83: 2068–3076.
Butturini A, Keating A, Goldman JM, Gale RP . Autotransplants in chronic myelogenous leukemia: strategies and results. Lancet 1990; 1: 1255–1257.
Carella AM, Martino OS . Autografting with mobilized hematopoietic progenitor cells in chronic myelogenous leukemia. Proceedings of the International Symposium on Chronic Myelogenous Leukemia, Biarritz, France, July 7–9, 1999 (Abstract, p 63).
Snyder DS, Wu Y, Wang JL, Rossi JJ, Swiderski P, Kaplan BE et al. Ribozyme-mediated inhibition of bcr-abl gene expression in a Philadelphia chromosome-positive cell line. Blood 1993; 82: 600–605.
Martiat P, Taj A, Vaerman JL, Phillipe M, Michaux JL, Goldman JM . Inhibition of P210BCR-ABL in B10 cells using retrovirally transduced antisense sequences against 5 sequences of the BCR/ABL gene. Blood 1991; 78: 266a.
Szczylik C, Skorski T, Nicolaides NC, Manzella L, Malaguarnera L, Venturelli D et al. Selective inhibition of leukemia cell proliferation by BCR-ABL antisense oligodeoxynucleotides. Science 1991; 253: 562–565.
Beissert T, Bianchini A, Hoelzer D, Ottmann OG, Nervi C, Ruthardt M . The size of high molecular weight complexes of ABL formed by different oligomerization interfaces may influence the sensitivity to STI571. Blood 2002; 100: 584a (Abstract 2298).
Guo XY, Cuillerot JM, Wang T, Wu Y, Arlinghaus R, Claxton D et al. Peptide containing the BCR oligomerization domain (AA 1-160) reverses the transformed phenotype of p210bcr-abl positive 32D myeloid leukemia cells. Oncogene 1998; 17: 825–833.
He Y, Wertheim JA, Xu L, Miller JR, Karnell FG, Choi JK et al. The coiled-coil domain and Tyr177 of bcr are required to induce a murine chronic myelogenous leukemia-like disease by bcr/abl. Blood 2002; 8: 2957–2968.
Liu J, Hawk K, Lin F, Arlinghaus R . Phosphoserine peptides from the serine-rich B box of the Bcr first exon inhibit the Abl and Bcr-Abl kinases. Blood 1999; 94(Suppl 1): A453.
Smith KM, Van Etten RA . Oligomerization of Bcr-Abl via the Bcr coiled-coil domain overcomes intramolecular inhibition by the SH3 domain through autophosphorylation. Blood 2002; 100: 204a (Abstract 766).
Gishizky ML, Cortez D, Pendergast AM . Mutant forms of growth factor-binding protein-2 reverse BCR-ABL-induced transformation. Proc Natl Acad Sci USA 1995; 92: 10889–10893.
Dorsey JF, Cunnick JM, Mane SM, Wu J . Regulation of the Erk2-Elk1 signaling pathway and megakaryocytic differentiation of Bcr-Abl+ K562 leukemic cells by Gab2. Blood 2002; 99: 1388–1397.
Liu Y, Jenkins B, Shin JL, Rohrschneider LR . Scaffolding protein Gab2 mediates differentiation signaling downstream of Fms receptor tyrosine kinase. Mol Cell Biol 2001; 21: 3047–3056.
Mohi G, Sattler M, Li S, Van Etten RA, Gu H, Griffin JD et al. Gab2 is required for transformation and leukemogenesis by Bcr/Abl. Blood 2002; 100: 204a (Abstract 764).
Sattler M, Mohi MG, Pride YB, Quinnan LR, Malouf NA, Podar K et al. Critical role for Gab2 in transformation by BCR/ABL. Cancer Cell 2002; 1: 479–492.
Bocchia M, Wentworth PA, Southwood S, Sidney J, McGraw K, Scheinberg DA et al. Rapid communication: specific binding of leukemia oncogene fusion protein peptides to HLA Class I molecules. Blood 1995; 85: 2680–2684.
Chen W, Peace DJ, Rovira DK, You S-G, Cheever MA . T-cell immunity to the joining region of p210BCR-ABL protein. Proc Natl Acad Sci USA 1992; 89: 1468–1472.
Kolb HJ, Beißer K, Holler E, Mittermüller J, Clemm C, Schumm M et al. Adoptive immunotherapy in human and canine chimeras. Haematol Blood Transfusion 1992; 34: 595–600.
Van Denderen J, Hermans A, Meeuwsen T, Troelstra C, Zegers N, Boersma W et al. Antibody recognition of the tumor-specific bcr-abl joining region in chronic myeloid leukemia. J Exp Med 1989; 169: 87–98.
Westermann J, Schlimper C, Richter G, Dorken B, Pezzutto A . T cell reactivity against bcr/abl fusion peptides in healthy donors and CML patients. Blood 2002; 100: 585a (Abstract 2302).
Buchdunger E, Zimmermann J, Mett H, Meyer T, Müller M, Druker BJ et al. Inhibition of the Abl protein-tyrosine kinase in vitro and in vivo by a 2-phenylaminopyrimidine derivative. Cancer Res 1996; 56: 100–104.
Kaur G, Gazit A, Levitzki A, Stowe E, Cooney DA, Sausville EA . Tyrphostin induced growth inhibition: correlation with effect on p210bcr-abl autokinase activity in K562 chronic myelogenous leukemia. Anti-Cancer Drugs 1994; 5: 213–222.
Carroll M, Ohno-Jones S, Tamura S, Buchdunger E, Zimmermann J, Lydon NB et al. CGP57148, a tyrosine kinase inhibitor, inhibits the growth of cells expressing BCR-ABL, TEL-ABL, and TEL-PDGFR fusion proteins. Blood 1997; 90: 4947–4952.
Deininger MWN, Goldman JM, Lydon N, Melo J . The tyrosine kinase inhibitor CGP57148 selectively inhibits the growth of BCR-ABL-positive cells. Blood 1997; 90: 3691–3698.
Druker BJ, Sawyers CL, Kantarjian H, Resta DJ, Reese SF, Ford JM et al. Activity of a specific inhibitor of the Bcr-Abl tyrosine kinase in the blast crisis of chronic myeloid leukemia and acute lymphoblastic leukemia with the Philadelphia chromosome. N Engl J Med 2001b; 344: 1038–1056.
Gambacorti-Passerini C, Barni R, Marchesi E, Verga M, Rossi F, Rossi F et al. Sensitivity to the abl inhibitor STI571 in fresh leukaemic cells obtained from chronic myelogenous leukaemia patients in different stages of disease. Br J Haematol 2001; 112: 972–974.
Zimmermann J, Buchdunger E, Mett H, Meyer T, Lydon NB . Potent and selective inhibitors of the able-kinase: phenylaminopyrimidine (PAP) derivatives. Bioorg Med Chem Lett 1997; 7: 187–192.
Gambacorti-Passerini C, Barni R, leCoutre P, Zucchetti M, Cabrita G, Cleris L, Rossi F et al. Alpha 1 acidic glycoprotein (AGP) binds to the abelson inhibitor ST1571, inhibits its biological activity, and causes in vivo resistance of human leukemic cells to BCR/ABL inhibition. Proc Am Assoc Cancer Res 2000; 41(Suppl): 1 (Late-breaking Abstracts: LB-4).
Gambacorti-Passerini C, Barni R, le Coutre P, Zucchetti M, Cabrita G, Cleris L et al. Role of alpha1 acid glycoprotein in the in vivo resistance of human BCR-ABL(+) leukemic cells to the abl inhibitor STI571. J Natl Cancer Inst 2000; 92: 1641–1650.
Shah NP, Nicoll JM, Nagar B, Gorre ME, Paquette RL, Kuriyan J et al. Multiple BCR-ABl kinase domain mutations confer polyclonal resistance to the tyrosine kinase inhibitor imatinib (ST1571) in chronic phase and blast crisis chronic myeloid leukemia. Cancer Cell 2002; 2.
le Coutre P, Tassi E, Varella-Garcia M, Barni R, Mologni L, Cabrita G et al. Induction of resistance to the Abelson inhibitor STI571 in human leukemic cells through gene amplification. Blood 2000; 95: 1758–1766.
Mahon FX, Deininger MW, Schultheis B, Chabrol J, Reiffers J, Goldman JM et al. Selection and characterization of BCR-ABL positive cell lines with differential sensitivity to the tyrosine kinase inhibitor STI571: diverse mechanisms of resistance. Blood 2000; 96: 1070–1079.
Azam M, Latek RR, and Daley GQ, Mechanisms of Autoinhibition and ST1-571/Imatinib resistance revealed by mutagenesis of BCR-ABl. Cell 2003; 112: 831–843.
Marktel S, Bua M, Marin D, Chase A, Udom C, Armstrong L et al. Emergence of additional chromosomal abnormaltieis following treatment with STI571 (imatinib mesylate) for Philadelphia positive chronic myeloid leukemia in chronic phase. Blood 2001; 98: 617a (Abstract 2584).
von Bubnoff N, Schneller F, Peschel C, Duyster J . BCR-ABL gene mutations in relation to clinical resistance of Philadelphia-chromosome-positive leukaemia to STI571: a prospective study. The Lancet 2002; 359: 487–491.
Weisberg E, Griffin JD . Mechanism of resistance to the ABL tyrosine kinase inhibitor STI571 in BCR/ABL-transformed hematopoietic cell lines. Blood 2000; 95: 3498–3505.
Talpaz M, Silver RT, Druker BJ, Goldman JM, Gambacorti-Passerini C, Guilhot F et al. Imatinib induces durable hematologic and cytogenetic responses in patients with accelerated phase chronic myeloid leukemia: results of a phase 2 study. Blood 2002; 99: 1928–1937.
Sawyers CL, Hochhaus A, Feldman E, Goldman JM, Miller CB, Ottman OG et al. Imatinib induces hematologic and cytogenetic responses in patients with chronic myelogenous leukemia in myeloid blast crisis: results of a phase II study. Blood 2002; 99: 3530–3539.
Trabacchi E, Bonifazi F, Bassi S, Testoni N, Alberti D, De Vivo A et al. Imatinib (Glivec®) in patients with Ph+ chronic myeloid leukemia in accelerated/blastic phase (AP/B): results of a Phase II trial of the Italian Cooperative Study Group on CML (ICSG on CML). Blood 2002; 100: 584a (Abstract 2295).
Etienne G, Lagarde V, Reiffers J, Melo JV, Mahon FX . Effects of the tyrosine kinase inhibitor PP1 on STI571-resistant BCR-ABL positive cell lines. Blood 2001; 98: 617a (Abstract 2586).
Hoover RR, Mahon F-X, Melo JV, Daley GQ . Overcoming STI571 resistance with the farnesyl transferase inhibitor SCH66336. Blood 2001; 98: 617a (Abstract 2585).
Kano Y, Akutsu M, Tsunoda S, Mano H, Sato Y, Honma Y et al. In vitro cytotoxic effects of a tyrosine kinase inhibitor STI571 in combination with commonly used antileukemic agents. Blood 2001; 97: 1999–2007.
O'Dwyer M . Multifaceted approach to the treatment of Bcr-Abl-positive leukemias. The Oncologist 2002; 7(Suppl 1): 30–38.
O'Dwyer ME, La Rosee P, Nimmanapalli R, Bhalla KN, Druker BJ . Recent advances in Philadelphia chromosome-positive malignancies: the potential role of arsenic trioxide. Semin Hematol 2002; 39(Suppl 1): 18–21.
Peters DG, Hoover RR, Gerlach MJ, Koh EY, Zhang H, Choe K et al. Activity of the farnesyl protein transferase inhibitor SCH66336 against BCR/ABL-induced murine leukemia and primary cells from patients with chronic myeloid leukemia. Blood 2001; 97: 1401–1412.
Topaly J, Schad M, Zeller WJ, Ho AD, Fruehauf S . Strong synergism of different signal transduction inhibitors in chronic myelogenous leukemia. Blood 2001; 98: 617a (Abstract 2587).
Topaly J, Zeller WJ, Fruehauf S . Synergistic activity of the new ABL-specific tyrosine kinase inhibitor STI571 and chemotherapeutic drugs on BCR-ABL-positive chronic myelogenous leukemia cells. Leukemia 2001; 15: 342–347.
Schindler T, Bornmann W, Pellicena P, Miller T, Clarkson B, Kuriyan J . Structural mechanism for STI-571 inhibition of Abelson tyrosine kinase. Science 2000; 289: 1938–1942.
Danhauser-Riedl S, Warmuth M, Druker BJ, Emmerich B, Hallek M . Activation of Src kinases p53/56lyn and p59hck by p210bcr/abl in myeloid cells. Cancer Res 1996; 56: 3589–3596.
Lionberger JM, Wilson MB, Smithgall TE . Transformation of myeloid leukemia cells to cytokine independence by Bcr-Abl is suppressed by kinase-defective Hck. J Biol Chem 2000; 275: 18581–18585.
Warmuth M, Bergmann M, Priess A, Hauslmann K, Emmerich B, Hallek M . The Src family kinase Hck interacts with Bcr-Abl by a kinase-independent mechanism and phosphorylates the Grb2-binding site of Bcr. J Biol Chem 1997; 272: 33260–33270.
Moasser MM, Srethapakdi M, Sachar KS, Kraker AJ, Rosen N . Inhibition of src kinases by a selective tyrosine kinase inhibitor causes mitotic arrest. Cancer Res 1999; 59: 6145–6152.
Swendeman S, Nagar B, Wisniewski D, Strife A, Lambek C, Liu C et al. Crystal structures of the c-Abl tyrosine kinase domain in complex with STI-571 and a novel Bcr-Abl inhibitor, PD173955 (abstract). Proceedings: AACR-NCI-EORTC International Conference on Molecular Targets and Cancer Therapeutics: Discovery, Biology, and Clinical Applications, October 29–November 2, 2001 Miami Beach, FL. 2001 (Abstract 568, p 116).
Dorsey JF, Jove R, Kraker AJ, Wu J . The pyrido[2,3-d] pyrimidine derivative PD180970 inhibits p210Bcr-Abl tyrosine kinase and induces apoptosis of K562 leukemic cells. Cancer Res 2000; 60: 3127–3131.
Buchdunger E, Cioffi C, Cozens R, Druker BJ, Lydon NB, Mueller M et al. Preclinical evaluation of CGP57148, a potent protein-tyrosine kinase inhibitor as a therapeutic agent for Ph+ leukemias and solid tumors. Proc Am Assoc Cancer Res 1998; 39: 559 (Abstract 3801).
Druker BJ, Tamura S, Buchdunger E, Ohno S, Segal GM, Fanning S et al. Effects of a selective inhibitor of the Abl tyrosine kinase on the growth of Bcr-Abl positive cells. Nat Med 1996; 2: 561–566.
Li S, Hu Y . Src kinase inhibitor CGP76030 synergizes with STI 571 in the treatment of B-cell acute lymphoblastic leukemia induced by the BCR/ABL oncogene in mice. Blood 2002; 100: (Abstract 2283).
Wilson MB, Schreiner SJ, Choi H-J, Kamens J, Smithgall TE . Selective pyrrolo-pyrimidine inhibitors reveal a necessary role for Src family kinases in Bcr-Abl signal transduction and oncogenesis. Oncogene 2002; 21: 8075–8088.
Wilson MB, Schreiner SJ, Choi H-J, Kamens J, Smithgall TE . The pyrrolo-pyrimidine Src kinase inhibitor A-419259 induces growth arrest and apoptosis in CML cells. Blood 2002; 100: 580a (Abstract 2281).
La Rosee P, Corbin AS, Stoffregen EP, Deininger MW, Druker BJ . Activity of the Bcr-Abl kinase inhibitor PD180970 against clinically relevant Bcr-Abl isoforms that cause resistance to imatinib mesylate (Gleevec, STI571). Cancer Res 2002; 62: 7149–7153.
Graham SM, Jorgensen HG, Allan E, Pearson C, Alcorn MJ, Richmond L et al. Primitive, quiescent, Philadelphia-positive stem cells from patients with chronic myeloid leukemia are insensitive to STI571 in vitro. Blood 2002; 99: 319–325.
Johnson FM, Donato NJ, Talpaz M . Gleevec induces cell cycle arrest, apoptosis, and activation of MAPK in head and neck squamous carcinoma cells. Proc Am Assoc Cancer Res 2002; 43: 846 (Abstract 4192).
Clarkson BD . The survival value of the dormant state in neoplastic and normal cell populations. In: Clarkson B, Baserga R (eds). Control of Proliferation in Animal Cells. New York: Cold Spring Harbor Laboratory, 1974, pp 945–972.
Clarkson B . Consideration of cell kinetic principles to strategy of treating leukemia. In: Cancer Chemotherapy – Fundamental Concepts and Recent Advances. Year Book Medical Publishers, Inc., 1975, pp 19–50.
Macken CA, Perelson AS . Stem Cell Proliferation and Differentiation, a Multitype Branching Process Model, Lecture Notes in Biomathematics, Vol. 76. New York: Springer-Verlag, 1988.
Wichmann HE, Loeffler M . Mathematical Modeling Of Stem Cell Proliferation. Boca Raton, FL: CRC Press, 1985.
Gishizky ML, Witte ON . Initiation of deregulated growth of multipotent progenitor cells by bcr-abl in vitro. Science 1992; 256: 836–839.
Kabarowski JHS, Witte ON . Consequences of BCR-ABL expression within the hematopoietic stem cell in chronic myeloid leukemia. Stem Cells 2000; 18: 399–408.
Lund-Johansen F, Houck D, Hoffman R, Davis K, Olweus J . Primitive human hematopoietic progenitor cells express receptors for granulocyte-macro-phage colony-stimulating factor. Exp Hematol 1999; 27: 762–772.
Quesenberry PJ, Colvin GA, Lambert J-F . Perspective: the chiaroscuro stem cell: a unified stem cell theory. Blood 2002; 100: 4266–4271.
Ramsfjell V, Bryder D, Bjorgvinsdottir H, Kornfalt S, Nilsson L, Borge OJ et al. Distinct requirements for optimal growth and in vitro expansion of human CD34+CD38− bone marrow long-term culture-initiating cells (LTC-IC), extended LTC-IC, and murine in vivo long-term reconstituting stem cells. Blood 1999; 94: 4093–4102.
Zandstra PW, Conneally E, Petzer AL, Piret JM, Eaves CJ . Cytokine manipulation of primitive human hematopoietic cell self-renewal. Proc Natl Acad Sci USA 1997; 94: 4698–4703.
Ziegler BL, Valtieri M, Porada GA, De Maria R, M_ller R, Masella B et al. KDR receptor: a key marker defining hematopoietic stem cells. Science 1999; 285: 1553–1558.
Kawashima I, Zanjani ED, Almaida-Porada G, Flake AW, Zeng H, Ogawa M . CD34+ human marrow cells that express low levels of kit protein are enriched for long-term marrow-engrafting cells. Blood 1996; 87: 4136–4142.
Luens KM, Travis MA, Chen BP, Hill BL, Scollay R, Murray LJ . Thrombopoietin, kit ligand, and flk2/flt3 ligand together induce increased numbers of primitive hematopoietic progenitors from human CD34+Thy-1+Lin− cells with preserved ability to engraft SCID-hu bone. Blood 1998; 91: 1206–1215.
Goodell MA, Rosenzweig M, Kim H, Marks DF, DeMaria MA, Paradis G et al. Dye efflux studies suggest that hematopoietic stem cells expressing low or undetectable levels of CD34 antigen exist in multiple species. Nat Med 1997; 3: 1337–1345.
Ishida A, Zeng H, Ogawa M . Expression of lineage markers by CD34(+) hematopoietic stem cells of adult mice. Exp Hematol 2002; 30: 361–365.
Ogawa M, Tajima F, Ito T, Sato T, Laver JH, Deguchi T . CD34 expression by murine hematopoietic stem cells. Developmental changes and kinetic alterations. Ann NY Acad Sci 2001; 938: 139–145.
Sato T, Laver JH, Ogawa M . Reversible expression of CD34 by murine hematopoietic stem cells. Blood 1999; 94: 2548–2554.
Wisniewski D, Platsoucas C, Strife A, Lambek C, Clarkson B . Enrichment of hematopoietic progenitor cells (CFUc and BFUe) from human peripheral blood. Exp Hematol 1982; 10: 817–829.
Wisniewski D, Strife A, Wachter M, Clarkson B . Regulation of human peripheral blood erythroid burst-forming unit growth by T lymphocytes and T lymphocyte subpopulations defined by OKT4 and OKT8 monoclonal antibodies. Blood 1985; 65: 456–463.
Wisniewski D, Knowles R, Wachter M, Strife A, Clarkson B . Expression of two natural killer cell antigens, H-25 and H-366, by human immature myeloid cells and by erythroid and granulocytic/monocytic colony-forming units. Blood 1987; 69: 419–429.
Wisniewski D, Strife A, Atzpodien J, Clarkson BD . Effects of recombinant human tumor necrosis factor on highly enriched hematopoietic progenitor cell populations from normal human bone marrow and peripheral blood and bone marrow from patients with chronic myeloid leukemia. Cancer Res 1987; 47: 4788–4794.
Wisniewski D, Strife A, Arlin Z, Knowles R, Lambek C, Gulati S et al. Analysis of the individual and combined reactivities of monoclonal antibodies H25, H366, and MY9 with normal progenitor cells and blast cells from patients with acute myeloblastic leukemia. Leukemia 1989; 3: 446–452.
Glimm H, Eaves CJ . Direct evidence for multiple self-renewal divisions of human in vivo repopulating hematopoietic cells in short-term culture. Blood 1999; 94: 2161–2168.
Pierelli L, Scambia G, Fattorossi A, Bonanno G, Battaglia A, Rumi C et al. Functional, phenotypic and molecular characterization of cytokine low-responding circulating CD34+ haemopoietic progenitors. Br J Haematol 1998; 102: 1139–1150.
Clarkson B, Todo A, Ogawa M, Gee T, Fried J . Consideration of the cell cycle in chemotherapy of acute leukemia. In: Ultmann JE, Griem ML, Kirsten WH, Wissler RW (eds). Recent Results of Cancer Research. Current Concepts in the Management of Leukemia and Lymphoma, Vol. 36. New York: Springer-Verlag, 1971, pp 88–118.
Clarkson B . Clinical applications of cell cycle kinetics. In: Sartorelli AC, Johns DG (eds). Handbook of Experimental Pharmacology, New Series Vol. XXXVIII/1. Berlin/Heidelberg/New York: Springer Verlag, 1974, pp 156–193.
Clarkson BD, Dowling MD, Gee TS, Cunningham IB, Burchenal JH . Treatment of acute leukemia in adults. Cancer 1975; 36: 775–795.
Kolitz JE, Kempin SJ, Schluger A, Wong GY, Berman E, Jhanwar S et al. A phase II pilot trial of high-dose hydroxyurea in chronic myelogenous leukemia. Semin Hematol 1992; 19(Suppl 9: Proceedings of the Symposia on Recent Developments in HU Therapy): 27–33.
Gee TS, Yu K-P, Clarkson BD . Treatment of adult acute leukemia with arabinosylcytosine and thioguanine. Cancer 1969; 23: 1019–1032.
Clarkson BD, Arlin ZA, Gee TS, Kempin SJ, Mertelsmann RH, Higgins C et al. Acute lymphocytic leukemia in adults. In: Current Concepts in Medical Oncology II. New York: Memorial Sloan-Kettering Cancer Center, 1983, pp 103–110.
Clarkson B . The chronic leukemias. In: Wyngaarden JB, Smith Jr LH (eds). Cecil Textbook of Medicine, 17th edn. Philadelphia: WB Saunders Co., 1985b, pp 975–986.
Clarkson BD, Gee T, Mertelsmann R, Kempin SJ, Andreeff M, Berman E et al. Current status of treatment of acute leukemia in adults: an overview of the Memorial experience and review of literature. In: Davis S (ed). CRC Critical Reviews in Oncology/Hematology, Vol. 4. Boca Raton, Florida: CRC Press, 1986b, pp 221–248.
Reichert A, Heisterkamp N, Daley GQ, Groffen J . Treatment of Bcr/Abl-positive acute lymphoblastic leukemia in P190 transgenic mice with the farnesyl transferase inhibitor SCH66336. Blood 2001; 97: 1399–1403.
Yu C, Krystal G, Varticovksi L, McKinstry R, Rahmani M et al. Pharmacologic mitogen-activated protein/extracellu-lar signal-regulated kinase kinase/mitogen-activated protein kinase inhibitors interact synergistically with STI571 to induce apoptosis in Bcr/Abl-expressing human leukemia cells. Cancer Res 2002; 62: 188–199.
Sherr CJ, Roberts JM . CDK inhibitors: positive and negative regulators of G1-phase progression. Genes Dev 1999; 13: 1501–1512.
Thiesing JT, Ohno-Jones S, Kolibaba KS, Druker BJ . Efficacy of an Abl tyrosine kinase inhibitor in conjunction with other anti-neoplastic agents against Bcr-Abl positive cells. Blood 1999; 94(Suppl 1): 100a 101a (Abstract 440).
Priebe W, Evrony G, Fokt I, Talpaz M, Donato NJ . WP744, a novel anthracycline with enhanced apoptotic and antiproliferative activity on STI-571 resistant leukemic cells: design, synthesis, and evaluation. Proc Am Assoc Cancer Res 2002; 43: 847 (Abstract 4197).
Guzman ML, Swiderski CF, Howard DS, Grimes BA, Rossi RM, Szilvassy SJ et al. Preferential induction of apoptosis for primary human leukemic stem cells. Proc Natl Acad Sci USA 2002; 99: 16220–16225.
Puccetti E, Guller S, Orleth A . BCR-ABL mediates arsenic trioxide-induced apoptosis independently of its aberrant kinase activity. Cancer Res 2000; 60: 3409–3413.
Porosnicu M, Nimmanapalli R, Nguyen D, Worthington E, Perkins C, Bhalla KN . Co-treatment with As2O3 enhances selective cytotoxic effects of STI-571 against Bcr-Abl-positive acute leukemia cells. Leukemia 2001; 15: 772–778.
Chou T-C, O'Connor OA, Tong AP, Guan Y, Zhang Z-G, Stachel SJ et al. The synthesis, discovery, and development of a highly promising class of microtubule stabilization agents: curative effects of desoxyepothilones B and F against human tumor xenografts in nude mice. Proc Natl Acad Sci USA 2001; 98: 8113–8118.
Clarkson B, Ellis S, Little C, Gee T, Arlin Z, Mertelsmann R et al. Acute lymphoblastic leukemia in adults. Semin Oncol 1985c; 12: 160–179.
Burchenal JH . Long-term survivors in acute leukemia and Burkitt's tumor. Cancer 1968; 21: 595–599.
Burchenal JH, Clarkson B, Haghbin M, Murphy ML . Long-term survivors of acute leukemia. Excerpta Med 1978; 415: 825–828.
Haghbin M, Tan C, Clarkson B, Mike V, Murphy ML . Intensive chemotherapy in children with acute lymphoblastic leukemia (L-2 Protocol). Cancer 1974; 33: 1491–1498.
Clarkson B, Schauer P, Mertelsmann R, Gee T, Arlin Z, Kempin S et al. Results of intensive treatment of acute lymphoblastic leukemia in adults. In: Burchenal JH, Oettgen H (eds). Cancer, Achievements, Challenges and Prospects for the 1980's, Vol. 2. New York: Grune & Stratton, 1981, pp 301–317.
Clarkson B, Gaynor J, Little C, Berman E, Kempin S, Andreeff M et al. Importance of long-term follow-up in evaluating treatment regimens for adults with acute lymphoblastic leukemia. Haematol Blood Transfus 1990; 33: 397–408.
Clarkson B, Gaynor J, Little C, Berman E, Kempin S, Andreeff M et al. Clinical trials in adults with acute lymphoblastic leukemia at Memorial Sloan-Kettering Cancer Center. In: Gale RP, Hoelzer D (eds). Acute Lymphoblastic Leukemia. New York: Alan R. Liss, Inc., 1990, pp 231–252.
Gaynor J, Chapman C, Little C, McKenzie S, Miller W, Andreeff M et al. A cause-specific hazard rate analysis of prognostic factors among 199 adults with acute lymphoblastic leukemia: the Memorial Hospital experience since 1969. J Clin Oncol 1988; 6: 1014–1030.
Gee TS, Dowling MD, Haghbin M, Clarkson B . Acute lymphocytic leukemia in adults and children. Differences in responses on a single therapeutic regimen. Cancer 1976; 37: 1256–1264.
Cunningham I, Reich LM, Kempin SJ, Naval AN, Clarkson BD . Acute promyelocytic leukemia: treatment results during a decade at Memorial Hospital. Blood 1989; 73: 1116–1122.
Drapkin RL, Gee TS, Dowling MD, Arlin S, McKenzie S, Kempin S et al. Prophylactic heparin therapy in acute promyelocytic leukemia. Cancer 1978; 41: 2484–2490.
Fenaux P, Chastang C, Chevret S . A randomized comparison of all-trans-retinoic acid (ATRA) followed by chemotherapy and ATRA plus chemotherapy and the role of maintenance therapy in newly diagnosed acute promyelocytic leukemia. The European APL Group. Blood 1999; 94: 1192–1200.
Stone RM, Mayer RJ . The unique aspects of acute promyelocytic leukemia. J Clin Oncol 1990; 8: 1913–1921.
Huang M-E, Ye Y-C, Chen S-R . Use of all-trans retinoic acid in the treatment of acute promyelocytic leukemia. Blood 1988; 72: 567–572.
Fenaux P, Chomienne C, Degos L . All-trans retinoic acid and chemotherapy in the treatment of acute promyelocytic leukemia. Semin Hematol 2001; 38: 13–25.
Warrell Jr RP, Maslak P, Eardley A . Treatment of acute promyelocytic leukemia with all-trans retinoic acid: an update of the New York experience. Leukemia 1994; 8: 929–933.
Shen Z-X, Chen G-Q, Ni J-H . Use of arsenic trioxide (AS2O3) in the treatment of acute promyelocytic leukemia (APL): II. Clinical efficacy and pharmacokinetics in relapsed patients. Blood 1997; 89: 3354–3360.
Soignet SL, Maslak P, Wang Z-G . Complete remission after treatment of acute promyelocytic leukemia with arsenic trioxide. N Engl J Med 1998; 339: 1341–1348.
Sun HD, Ma L, Hu X-C . Ai-Lin 1 treated 32 cases of acute promyelocytic leukemia. Chin J Integrat Chin West Med 1992; 12: 170–172.
Soignet SL, Frankel SR, Douer D . United States multicenter study of arsenic trioxide in relapsed acute promyelocytic leukemia. J Clin Oncol 2001; 19: 3852–3860.
Slack JL, Waxman S, Tricot G, Tallman MS, Bloomfield CD . Advances in the management of acute promyelocytic leukemia and other hematologic malignancies with arsenic trioxide. The Oncologist 2002; 7(Suppl 1): 1–13.
Miller Jr WH . Molecular targets of arsenic trioxide in malignant cells. The Oncologist 2002; 7(Suppl 1): 14–19.
Perkins C, Kim CN, Fang G . Arsenic induces apoptosis of multidrug-resistant human myeloid leukemia cells that express Bcr-Abl or overexpress MDR, MRP, Bcl-2, or BCl-xL . Blood 2000; 95: 1014–1022.
Hu X-C, Zhang C, Li J-M . Use of arsenic trioxide in the treatment of chronic myelogenous leukemia: clinical efficacy in 34 patients. Program and Abstracts: Advances in Cancer Differentiation Therapy – A Meeting Combining the East and the West, Shanghai, China, October 13–14, 2000 (Abstract 14a).
Zhang R, Zhi Y-J, Tao R-F . Arsenic trioxide in treatment of chronic myelogenous leukaemia in accelerated phase. Chin Clin Oncol 2000; 5: 263–265.
Acknowledgements
We thank Pfizer Global Research and Development (Ann Arbor Laboratories, MI 48105-2430, USA), formerly Parke-Davis Pharmaceutical Research (Division of the Warner-Lambert Co., Ann Arbor, MI 48105, USA) and Dr Neal Rosen for initially providing PD173955, Dr Nicholas Lydon and Novartis Inc. (Basel, Switzerland) for initially providing STI571 (formerly known as CGP57148B), Dr Brian Druker, University of Oregon for giving us the M07e and M07e/p210bcr-abl cell lines, and the Kirin Brewery Company, Limited (Tokyo, Japan) for their generosity in supplying rhG-CSF, rhGM-CSF, rhIL-3, rhKL, and rhSCF. We also thank our collaborators: Dr William G Bornmann and Dr Darren Veach at MSKCC's Preparative Synthesis Laboratory for synthesizing PD173955, PD166326 and other compounds and helpful discussions; Dr John Kuriyan, Drs Bhushan Nagar, Thomas Schindler, Holger Sonderman, and Matthew Young at Rockefeller University, New York, and the University of California, Berkeley, for cocrystallizing the inhibitors with abl kinase and for helpful discussions. We are also grateful to Dr Richard T Silver, Emeritus Director, Clinical Oncology Chemotherapy Research, Division of Hematology and Medical Oncology, New York Presbyterian Cornell Medical Center, and his Nursing and Office Staff for their assistance in obtaining samples of CML blood and marrow, especially Ms Eugenie Balam. We are especially grateful to Su De Meritt for her extensive work in preparing the manuscript. This research was supported by National Cancer Institute (NCI) Grant CA64593 and NCI Cancer Center Support Grant CA08748, The Albert C Bostwick Foundation, The Enid A Haupt Charitable Trust, The Andrew Sage Trust, The Einard and Sue Sundin Fund, The United Leukemia Fund, The Carley H Wagner Trust, The Westvaco Corporation and MeadWestvaco.
Author information
Affiliations
Rights and permissions
About this article
Cite this article
Clarkson, B., Strife, A., Wisniewski, D. et al. Chronic myelogenous leukemia as a paradigm of early cancer and possible curative strategies. Leukemia 17, 1211–1262 (2003). https://doi.org/10.1038/sj.leu.2402912
Received:
Accepted:
Published:
Issue Date:
DOI: https://doi.org/10.1038/sj.leu.2402912
Keywords
- chronic myelogenous leukemia
- curative strategies
Further reading
-
Is cancer latency an outdated concept? Lessons from chronic myeloid leukemia
Leukemia (2020)
-
Chronic myeloid leukemia stem cells
Leukemia (2019)
-
Impact of Additional Chromosomal Aberrations Present at Diagnosis on Outcome of Adolescent and Young Adult Chronic Myeloid Leukemia Patients: A Single Center Experience
Indian Journal of Hematology and Blood Transfusion (2019)
-
Myeloproliferative neoplasms with concurrent BCR–ABL1 translocation and JAK2 V617F mutation: a multi-institutional study from the bone marrow pathology group
Modern Pathology (2018)
-
Initial diagnosis of chronic myelogenous leukemia based on quantification of M-BCR status using droplet digital PCR
Analytical and Bioanalytical Chemistry (2016)












