Abstract
Characteristics of treatment-induced cell cycle arrest are important for in vitro and in vivo sensitivity of acute myeloid leukemia (AML) cells to cytotoxic drugs. We analyzed the expression of the major G1 cell cycle regulators (p21Cip1, p27Kip1, cyclins D, cyclin E and pRb) in 41 fresh AML cell samples. The level of p27 expression was the only factor correlated with the response to chemotherapy, a high level of p27 expression being predictive of complete remission. There was a close relation between expression of pRb, cyclin D2 and FAB subtype, illustrated by the absence of both proteins in most samples having a monocytic component (M4, M5). We also assessed the expressions of pRb, cyclin E, p21 and p27 and the activity of cdk2, the major regulator of S-phase entry, after exposure to cytosine-arabinoside (AraC) and daunorubicin (DNR), and found these proteins could characterize time- and dose-dependent cellular response to each drug. We observed hyperphosphorylated pRb, increased levels of cyclin E and a high cdk2 activity, but no p21 induction, in AML cells exposed to 10−6M AraC. After exposure to 10−5 M AraC, corresponding to the serum concentration reached in high-dose AraC regimens (HDAraC), a strong p21 induction was observed, associated with similarly overexpressed cyclin E and even higher cdk2 activity than after 10−6 M AraC, while apoptosis was significantly increased. These data suggest that cdk2 activity is likely to play a role in AraC-induced apoptosis in AML cells. This mechanism may account for high efficacy of HDAraC in cells showing little sensitivity to conventional AraC doses.
Introduction
Investigations on cell cycle regulatory molecules allow a closer approach to the biology of malignant cells, since the loss of tissue homeostasis in tumors is related to the imbalance between proliferation and apoptosis. Moreover, examples of the implication of cell cycle regulatory proteins in the apoptosis machinery are rapidly accumulating.12345 The fate of the cell is determined before DNA synthesis. G1 progression and G1/S transition are cooperatively regulated by members of the cdk (cyclin-dependent kinase) family. In G1, different cdks and their obligatory activating subunits, the cyclins, control the cell cycle progression at two highly regulated checkpoints, retinoblastoma protein (pRb) phosphorylation and initiation of DNA synthesis. Cyclins D and cdk 4/6 are responsible for the first phosphorylation of pRb, while cyclin E/cdk 2 operates both the second pRb phosphorylation and the control of S-phase entry. The activity of the cdk is negatively regulated by cyclin-dependent kinase inhibitors, among which two members, p21Cip1 and p27Kip1 are able to interact with all cdks and play specific roles. The p21Cip1 inhibitor is the mediator of p53-induced cell cycle arrest after DNA damage. The p27Kip1 inhibitor is known to be triggered by antiproliferative signals and to play a key role in maintaining cells into a G0/G1-arrested state. Its low level of expression has been shown to be correlated with a high proliferative index and an aggressive disease in various tumors and in lymphomas.
However, except for several studies on pRb expression67891011 or p53 expression,12 studies on cell cycle regulatory proteins in fresh acute myeloid leukemia (AML) cells are scarce.1314
Numerous attempts to correlate cell cycle characteristics of AML cells and their response to cytotoxic agents have resulted in only few clearly established relations, among which S-phase-dependent sensitivity of AML cells to the conventional doses of cytosine-arabinoside (AraC) is one of the most significant.15 Recently, not only pre-treatment S-phase fraction, but also the treatment-induced cell cycle arrest was shown to be important for in vitro and in vivo AML cell sensitivity to cytotoxic agents.16 However, studies of cytotoxic drug-induced alterations of cell cycle regulatory proteins in fresh AML cell samples are still lacking.
High-dose cytarabine (HDAraC) is the most effective regimen for AML patients relapsing after, or refractory to the conventional-dose AraC.1718 In vivo efficacy of HDAraC is not completely elucidated at the cellular level. The dose-dependent increase in intracellular deoxycytidine kinase activity, leading to an increased incorporation of AraC-triphosphate into DNA strands, was reported to be the main rationale for high antileukemic activity of HDAraC.19 Thus, HDAraC-induced DNA damage seems to be limited to DNA single-strand breaks and some other mechanisms may play a role in the massive cellular death observed.
We first considered the expression of cell cycle regulatory proteins in fresh, non-treated AML cells. We next investigated the patterns of expression of cell cycle proteins after in vitro exposure to daunorubicin (DNR) and conventional and high doses of AraC, and found distinct modifications in each condition. In particular, we observed a strong induction of cyclin E/cdk2 activity that may play a direct role in AraC-induced apoptosis, and an upregulation of the kinase inhibitor p21Cip1 when AraC was used at high doses.
Materials and methods
Patients
Peripheral blood samples from 41 AML patients were obtained after informed consent. The diagnosis and classification of AML were established according to the FAB group criteria.20
Cell isolation and culture
Mononuclear cells (MNC) were isolated using Ficoll–Hypaque density gradient. All samples contained more than 80% leukemic cells. Twenty samples were cultured in the presence of chemotherapeutic agents: freshly isolated MNC were cultured at concentration of 2 × 106/ml in RPMI 1640 medium containing 20% heat-inactivated fetal calf serum, 2 mM glutamine, 50 U/ml penicillin and 50 μg/ml streptomycin, at 37°C in 5% CO2 humidified atmosphere. Cells were incubated for 72 h with 100 ng/ml human recombinant interleukin-3 (IL-3) (SDZ ILE 964, Laboratoires Sandoz, Rueil Malmaison, France) and 20 ng/ml stem-cell factor (SCF) (PeproTech, Rocky Hill, NJ, USA), in order to promote immature cell survival. Drugs were added after the first 24 h of incubation with growth factors (GF). Cells were continuously exposed to 10−6 M or 10−5 M AraC over 48 h. After a 1-h exposure to 5 × 10−7 M DNR, cells were washed twice and incubated in fresh medium with GF during 48 h. Control cells were incubated for 48 h in medium with GF.
Viability and cell cycle phase analysis
Cellular viability was assessed by trypan blue exclusion. Distribution of cell cycle phases was analyzed by a combined bromodeoxyuridine/propidium-iodide (BrdU/PI) method21 using a FacsScan flow cytometer (Becton Dickinson, CA, USA).
Protein extracts and Western blotting
Whole cell protein extracts were prepared by lysing 1–2 × 107 cells in RIPA buffer (10 mM Tris pH 7.5, 150 mM NaCl, 1% NP-40, 0.1% SDS, 1% deoxycholic acid, 1 mM Na-orthovanadate, 1 mM NaF, 100 μg/ml phenylmethylsulfonyl fluoride/ PMSF/, 10 μg/ml leupeptin and 10 μg/ml aprotinin) for 30 min on ice. Lysates were centrifuged at 12 000 r.p.m. for 15 min and supernatant collected. Protein concentration was assessed by the Bio-Rad assay method (Bio-Rad Laboratories, Richmond, CA, USA).
Equal amounts of protein (50 μg) were electrophoresed in a 12% or 7.5% SDS-polyacrylamide gel and transferred on to a polyvinylidene difluoride membrane (Immobilon-P; Millipore, Bedford, MA, USA). Loading was controlled by membrane staining with Naphthol Blue Black (Sigma, France). Membranes were blocked for 1 h in 5% nonfat dry milk phosphate-buffered saline (PBS) and incubated for 1 h with the following antibodies: mouse antihuman pRb (G3–245, 0.5 μg/ml), p21 (6B6, 0.5 μg/ml), cyclin D2 (G132–43, 2 μg/ml), all from PharMingen (Becton Dickinson); rabbit antihuman p130 (C-20), cyclin E (C-19), cyclin D3 (C-16) and N-terminal-p27 (N-20), all in concentration 0.5 μg/ml (Santa Cruz Biotechnology, Santa Cruz, CA, USA). Membranes were subsequently washed twice in buffer containing 10 mM Tris pH 8.0, 200 mM NaCl and 0.1% Tween and incubated with an appropriate horseradish peroxidase-linked secondary antibody at a 1:5000 or 1:10 000 dilution for 1 h. After three washings in the buffer, signals were detected by a enhanced chemoluminescent system (ECL, Amersham, Buckinghamshire, UK).
Signal quantitation on Western blots
Films were scanned on a densitometer and signals quantitated using the Bioprofil software (Vilber Lourmat, Marne la Valée, France). For each sample, the p27 value was expressed as the ratio of the signal obtained from that of a positive control. The latter originated from an AML patient whose myeloid blasts expressed medium level of p27 protein. The cell lysates of this control were obtained from one sample and contained enough protein to be loaded on each gel. To make sure the Western blot assay and signal quantitation were accurate throughout the range of protein found in the samples, we generated a standard curve by serial dilution of recombinant p27 protein (Santa Cruz Biotechnology) and compared it with serial dilutions of our positive control and to representative samples.
Cdk2 kinase activity assay
Three hundred micrograms of the protein extract were immunoprecipitated with 2 μg of mouse anti-Cdk2 antibody (D-12, Santa Cruz) over 2 h at 4°C and then incubated for 1 h with 20 μl of mouse immunoglobulin G-sepharose (Protein G PLUS-Agarose, Santa Cruz). Immunocomplexes were harvested by centrifugation, washed three times with RIPA buffer containing Na-orthovanadate and NaF, twice with RIPA-buffer without SDS and inhibitors and resuspended in 20 μl kinase buffer (20 mM Tris pH 7.5, 4 mM MgCl2). Each immunoprecipitate was incubated with 5 μg of histone H1 (Boehringer, Mannheim, Germany), 15 nM/l of ATP (Sigma) and 10 μCi of [gamma-32P] ATP (Amersham) at 37°C for 30 min. The reaction was stopped by addition of SDS loading buffer, and the products were resolved by 12% SDS-PAGE. The signals were detected by autoradiography.
Combined TUNEL/autoradiography assay
AML cells were exposed to 10−6 M or 10−5 M AraC for 48 h as described above. At the end of exposure, the cells were pulsed with 1 μCi 3H-thymidine (25 Ci/mmol, Amersham) for 6 h at 37°C. After the incubation, the cells were washed twice with PBS, fixed with 4% formaldehyde for 15 min at room temperature (RT), and cytospin slides were made. The slides were incubated for 5 min in methanol at −20°C, then for 5 min in TBS with 0.25% Triton X at RT. After two washings for 5 min in TBS, TUNEL reaction was performed using In Situ Cell Death Detection Kit, Alkaline Phosphatase (Boehringer).
Autoradiographic detection of incorporated 3H-thymidine was done after TUNEL reaction. The slides were exposed to Ilford K-2 photographic gel emulsion (Ilford, Mobberley, UK) for 7 days at +4°C. The signals were developed by D19B developer and fixed by Unifix (Eastman Kodak, Rochester, NY, USA).
The slides were counterstained with hematoxylin and 200 cells per slide were counted using a Leica light microscope.
Results
Cell cycle regulatory protein expression in freshly isolated AML cells
Expression of cell cycle regulatory proteins was analyzed in 41 AML samples (M0 = 1, M1 = 15, M2 = 12, M4 = 4, M5 = 9, according to FAB classification). Data from 15 of these samples are shown in Figure 1. Expression of pRb was detected in 30 out of 41 samples (73%). As shown in Table 1, we observed a significantly higher frequency of monocytic component-containing AML subtypes (M4, M5) in the pRb-negative (eight out of 11 samples) than in the pRb-positive group (five out of 30) (chi2 test, P = 0.0014).
Expression of cell cycle proteins in freshly isolated AML cells. Cells were obtained 15 different cases (patients 1 to 15). Proteins were extracted from a unique sample for each patient and extracts subjected to Western blotting with antibodies raised against each protein studied (pRb, cyclin E (E), p27, p21, cyclin D2 (D2), cyclin D3 (D3), respectively). The percentage of cells in S-phase was measured in fresh cells by flow cytometry after combined BrdU/PI staining and indicated underneath for each case. The FAB subtype is also mentioned for each sample.
As expected, cyclin D1 was never found in any sample. Cyclins D2 and D3 were detected at the protein level in 29 (71%) and 25 (61%) samples, respectively. In the pRb-positive group, at least one of these two D-cyclins was expressed; both cyclins were expressed in 18 samples. In the pRb-negative group, seven out of 11 samples lacked expression of both cyclins (P < 0.0001).
The expression of cyclin D2 protein was highly associated with the presence of pRb expression and with M1 and M2 FAB subtypes. Table 1 shows that cyclin D2 was detected in 27/30 (90%) of the pRb-positive samples but in only two out of 11 (18%) pRb-negative ones (chi2 test, P < 0.0001). Similarly, as represented in Table 2, cyclin D2 was present in 25/27 (92%) myeloblastic samples (M1, M2), but in only 4/13 (31%) monocytic samples (M4, M5) (chi2 test, P < 0.0001). Finally, the samples were distributed into two major groups: 27 expressed both pRb and cyclin D2 and 24 among these were of myeloblastic subtype; nine samples showed neither pRb nor cyclin D2 expression and seven among these had a monocytic component (chi2 test, P = 0.0004, Table 2).
Protein expression of cyclin E was detected in 25 (61%) samples. Its expression, as well as cyclin D3 expression, did not correlate either with pRb-status (Table 1) or morphological subtype (Table 2).
p21 protein was detected at a very low level in only three out of 41 samples. p27 protein was expressed in all samples and its level of expression was variable. Percentage of cells in S-phase, as determined in 20 samples by flow cytometry after BrdU/PI staining, ranged from 1 to 12% (mean 6%). We did not find any correlation between this percentage of cells in S-phase and p27 or cyclin E expression. Similarly, cyclin E and p27 protein levels were not related to each other.
The low frequency of p53 mutations in de novo AML has already been established and we did not investigate p53 status in these samples.2223 Similarly, we showed previously that p16 mutations were very uncommon in AML,24 and p16 protein expression was undetectable in our hands (data not shown).
Correlation between cell cycle regulatory protein expression and response to chemotherapy
Although the number of patients was limited, we investigated the possible correlation between expression of the various cell cycle regulatory proteins at diagnosis and achievement of complete remission (CR). Among the 41 patients studied, only 28 were in first progressive phase and received a standard regimen of induction therapy based on DNR and conventional-dose AraC. Seven of these 28 were not evaluable for CR because of early death during the induction course. Among the 21 remaining patients, a CR was obtained for 12, while nine were resistant to this treatment.
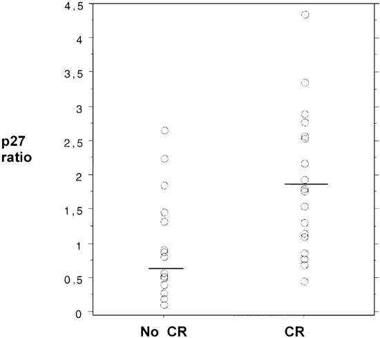
No correlation was detected between any cyclin (D2, D3 or E) or pRb expression and CR. Conversely, even in this small number of patients, a high level of p27 expression significantly correlated with CR achievement. In order to confirm this correlation, we assessed p27 expression in more samples. Altogether, 32 patients were evaluable, 15/32 who reached CR and 17 who did not, and again, high level of p27 expression in AML blasts at diagnosis significantly correlated with achievement of CR, while low levels of p27 expression were predictive of induction treatment failure (Mann–Whitney test, P = 0.01) (Figure 2).
High p27 expression is correlated with CR obtention after induction therapy (Mann–Whitney, P = 0.01). Samples from 33 patients who underwent standard chemotherapy were evaluated: 18 who achieved CR, and 15 who did not. p27 value is expressed as the ratio of the signal obtained to that of a positive control.
Cell cycle regulatory protein expression in fresh AML cells exposed to SCF and IL3
In vitro cell culture studies were performed on 20 fresh AML samples. During 72 h of incubation with SCF and IL3, the percentage of cells in S-phase increased in only 11 out of 20 samples. Six samples showed a rapid increase in S-phase percentage (mean, six-fold) within the first 24 h, whereas in five samples S-phase percentage rose more slowly, resulting in a mean three-fold increase after 72 h.
Among these 20 samples, six showed no pRb expression and exposure to GF (IL3 and SCF) did not induce pRb expression in any of them. Cyclin E was present in 14/20 fresh samples before incubation. Cyclin E expression was upregulated after GF stimulation in four of the six initially negative samples. The only two samples which consistently had no expression of cyclin E whatever the length of exposure to GF, contained a high component of more mature monocytic cells (one M4 and one M5b). Cyclin E expression was not predictive of the increase in S-phase after GF exposure.
No significant variation in p27 expression was observed. There was no upregulation of p21 expression in any case.
Cdk2 activity was assessed in eight samples by applying anti-cdk2 immunoprecipitates in a kinase assay, using histone H1 as a substrate. It was found to be low in all cases in fresh unstimulated cells. After GF exposure, cdk2 activity was enhanced in only one sample, which showed a dramatic increase in the S-phase percentage (38% of cells in S-phase after the first 24 h of incubation with GF vs 2% before incubation).
Cell cycle regulatory protein expression in AML cells exposed to cytotoxic drugs
We analyzed the expression of cell cycle proteins in 20 AML samples exposed to either Ara-C or DNR. The incidence on expression of cell cycle regulatory proteins was similar in all samples, and the case chosen for Figure 3 is illustrative of a general phenomenon.
Cell cycle regulatory protein expression in AML cells after in vitro drug exposure. The experiment shown here uses cells from one single AML patient, but similar pattern of expression of these proteins was obtained in all AML cases. Lane a, freshly isolated AML cells; lane b, AML cells incubated in medium with IL3 and SCF for 24 h; lane c, AML cells incubated in medium with IL3 and SCF for 72 h, corresponding to control cells for lanes d, e, f; lane d, cells exposed to 5 × 10−7 mol/l DNR; lane e, AML cells exposed to 10−6 mol/l AraC; lane f, AML cells exposed to 10−5 mol/l AraC. In vitro exposure to the different drugs was achieved as described in Material and methods.
Pattern of cell cycle protein expression in cells exposed to DNR
Cells were cultured in GF-containing medium and exposed to 5 × 10−7 M DNR for 1 h. Cell cycle protein expression was assessed 48 h after this short exposure. DNR induced a complete dephosphorylation of pRb in all cases. p21 expression was strongly induced, as soon as 6 h after drug exposure (data not shown) and remained elevated after 48 h, as shown in Figure 3. No change in cyclin E expression was observed. The level of p27 expression was slightly increased. No modification of cdk2 activity was detected (Figure 3, lane d).
Exposure to DNR resulted in reduction of S-phase cells percentage and a mean loss of viability of 68% (40 to 85%) after 48 h. In summary, after DNR exposure, the pattern of expression of cell cycle regulatory proteins was concordant with a G1 cell cycle arrest.
Pattern of cell cycle protein expression in cells exposed to 10−6 M AraC
In all analyzed samples, a 48-h exposure to 10−6 M AraC resulted in a distinct pattern of cell cycle protein expression, as shown in Figure 3, lane e. This concentration of AraC induced an accumulation of the hyperphosphorylated form of pRb and an overexpression of cyclin E. The expression of p21 was not induced and the level of expression of p27 remained unchanged. After 48 h of exposure to AraC, cdk2 activity (Figure 4, lane e) was dramatically increased in all five samples analyzed as compared to the low activity in fresh AML cells (Figure 4, lane a) or in cells exposed to GF alone (Figure 4, lanes b and c). This pattern of expression of cell cycle regulatory proteins was consistent with an S- phase arrest, and the mean loss of viability was 50%. In contrast, by flow cytometry analysis, 18/20 samples showed a reduction in S-phase percentage. Accumulation of cells in S-phase, concomitant of a moderate viability loss (35%), was evidenced in only two out of 20 samples.
Cdk2 kinase activity in five different AML samples before and after AraC exposure. Cdk2 activity was measured by the ability of cdk2 immunoprecipitates to phosphorylate histone H1. The five lanes correspond to five different culture conditions of each sample. In each condition the percentage of cells in S-phase as measured by flow-cytometry analysis after BrdU/PI staining is given. Lane a, freshly isolated cells; lane b, after a 24-h incubation in medium with SCF and IL3; lane c, after a 72-h incubation in medium with SCF and IL3; lane e, after a 48-h exposure to 10−6 mol/l AraC; lane f, after a 48-h exposure to 10−5 mol/l AraC. In the two latter conditions, cells are exposed to growth factors alone for 24 h then to AraC in the presence of IL3 and SCF for a further 48 h further.
Pattern of cell cycle protein expression in cells exposed to 10−5 M AraC
After a 48-h exposure to higher dose AraC (10−5 M), the pattern of cell cycle protein expression was distinct from what was observed after 10−6 M AraC (Figure 3, lane f). Cyclin E was overexpressed with the same intensity as after exposure to 10−6 M AraC, however, Cdk2 activity was further increased (Figure 4, lane f). pRb appeared still primarily hyperphosphorylated, but to a lesser extent. However, p21 expression was strongly induced, as observed after DNR exposure. After exposure to 10−5 M AraC, loss of viability was consistently around 70% and the S-phase percentage, as measured by flow cytometry, was largely reduced.
Incidence of apoptosis according to cell cycle position after conventional and high-dose AraC exposure
In order to explore whether cells had progressed or not into S-phase when apoptosis occurred, we used a double labeling technique combining 3H-thymidine (3HT) incorporation and TUNEL staining in four cases. Control samples showed a mean 60% (range 48–78%) of cells having synthesized DNA after a 6-h 3HT-pulse, and the progression through S-phase was illustrated by a heterogeneous 3HT labeling. In the presence of 10−6 M AraC, mean number of cells reaching S-phase was slightly increased (64%). The early blockade during S-phase progression was illustrated by the presence of a uniformly weak incorporation of 3HT in all labeled cells. Presence of cells labeled by both 3HT and TUNEL after exposure to 10−6 M AraC (mean 8% as compared to 0% in the control) confirmed that these cells were able to start their apoptotic process while in S-phase. When cells were cultured in the presence of 10−5 M AraC, the number of cells reaching S-phase was decreased (mean 34%, range 19–70%). Moreover, 3HT labeling was very faint, suggesting that the cell cycle arrest took place even earlier, close to the G1/S boundary. While the number of 3HT-labeled cells decreased rapidly over time, most cells exposed to 10−5 M Ara-C were positively stained by TUNEL after 48 h, reflecting massive apoptosis, but mainly out of S-phase.
Discussion
We analyzed the protein expression of the cell cycle regulators playing a role in the early phases of the cell cycle in a series of freshly isolated AML blood cell samples. There are a few studies on the expression of these proteins in AML samples and cell lines13252627282930 but, to our knowledge, this is the first study considering the expression of several positive and negative cell cycle regulators in the same samples.
We detected pRb protein expression in 73% of samples, which is concordant with several previous studies demonstrating detectable pRb levels in 45–80% of AML cases.6931 In our pRb-negative (pRb−) group, M4 or M5 FAB subtypes were significantly more frequent than in the pRb-positive (pRb+) group. High incidence of pRb inactivation in monocytic acute leukemia has been pointed out in earlier studies.732 Absence of pRb expression was supposed to be related to a shortened survival. However, the presence of a monocytic component is likely to have a greater impact on prognosis than the absence of pRb expression. In our limited series, we observed a similar incidence of the absence of pRb expression among patients reaching complete remission and patients with refractory disease. However, it is noteworthy that among seven patients who died during the induction therapy, five were of M5 subtype, and lacked pRb expression. Frequency of death during induction in M5 subtype with high blood cell counts may substantially contribute to the previously reported bad prognosis of pRb-negative cases.
D-cyclins are known to be differentially expressed in adult tissues. Cyclin D1 is not expressed in normal and leukemic hematopoietic cells.33 Cyclin D2 is abundant in normal erythroid and granulocytic–monocytic precursors, and high amounts of cyclin D3 were observed in CD34+ progenitor cells.34 In our series, expression of cyclins D strongly correlated with pRb status. At least one cyclin D was expressed in all pRb+ samples. Conversely, a majority of pRb− samples lacked expression of all three cyclins D. These data are consistent with a mandatory role of cyclins D in pRb phosphorylation and published data on cell lines showing that these cyclins are dispensable in pRb-negative cells.3536
We were able to identify two highly homogenous groups of samples by combining pRb and cyclin D2 expression: the pRb+/cyclin D2+ group was mainly myeloblastic and the pRb−/cyclin D2− group was predominantly monocytic. Whether expression of cyclin D2 is linked to the characteristic differentiation block of M1 and M2 subtypes, or the lack of pRb expression is a specific feature of monocytic leukemia remains to be elucidated. Cyclin D2 or D3 expression had no obvious impact on patient overall survival or achievement of CR.
We detected a higher incidence of cyclin E expression (61%) than reported in the study of Iida et al.13 The percentage of patients with cyclin E expression did not appear to differ between those reaching CR and others. Moreover, we did not observe the reported higher incidence of cyclin E expression in M5 AML. In addition, after GF stimulation, cyclin E was detected in 18/20 samples, indicating that absence of cyclin E expression in fresh unstimulated AML cells is not related to a genetic alteration. Increase in cyclin E expression after GF stimulation most likely reflects the recruitment of cells into the cell cycle.
We detected p27 expression in all samples. The level of p27 expression has been pointed out as a prognostic factor in non-Hodgkin lymphomas37 and some solid tumors.383940 A high expression of p27 was shown to be predictive of a favorable outcome, whether or not p27 was linked to the proliferation rate. In this study, levels of p27 and cyclin E in AML blasts did not obviously correlate, but high levels of p27 expression at diagnosis significantly correlated with achievement of CR, while low levels of p27 expression were predictive of induction treatment failure. Conversely to what we observed in CLL,5 p27 expression in AML appears related to proliferative capacity rather than failed apoptosis.
In summary, the pattern of expression of these proteins suggest that cyclins D and pRb presence reflects the lineage differentiation and cyclin E and p27 expression the proliferation status of AML cells. Only p27 seems to carry prognostic significance in fresh samples but further studies are warranted.
After exposure of AML cells to cytotoxic drugs, modifications of cell cycle regulatory proteins expression were observed, in both a drug- and dose-dependent manner. DNR acts through blocking DNA toposomerase II activity by stabilization of its complexes with DNA. That effect is thought to underly its genotoxicity and antineoplastic efficacy.41 Toposomerase II poisons may exert their action at the G2/M checkpoint, by inhibition of cyclinB/cdk1 kinase activity and mitotic entry,42 but stabilization of topoisomerase–DNA cleaved complexes results in p53 activation and G1-arrest.4344
We observed a strong and rapid induction of p21 expression in AML cells exposed to DNR. pRb became rapidly hypophosphorylated, and completely dephosphorylated 48 h after the 1-h exposure. Dephosphorylation of pRb has been shown to be a consequence of p21 induction in response to DNA-damaging agents.45 This expression pattern is consistent with a cell cycle arrest in G1-phase. In the study of Banker et al,16 a G2/M arrest was mentioned, but was observed only when cells were exposed at much lower doses of DNR. At the same dose as used in this study, cells were also found arrested in G1.
AraC is known to interfere with cell cycle progression by incorporation of Ara-nucleotides into nascent DNA strands during S-phase, inhibition of chain elongation and induction of DNA single-strand breaks,4647 resulting in an S-phase cell cycle arrest. In our study, exposure to 10−6 M AraC, a concentration corresponding to the serum level obtained in patients treated with a conventional dose AraC regimen (100 mg/m2/day), resulted in a profile of cell cycle protein expression which was consistent with an S-phase arrest. Similar observations were previously reported in cell lines.48 However, our flow-cytometry data were discordant with the existence of an S-phase arrest, since only two samples showed accumulation of cells in S-phase after 48 h of exposure to 10−6 M AraC. Using combined 3HT incorporation and TUNEL technique, we revealed that cells exposed to 10−6 M AraC, entered the apoptotic process, at least in part, while in S-phase. Those cells showed uniformly weak 3HT incorporation and strong TUNEL positivity, which differed from control cells, labeled heterogenously but strongly with 3HT and negative for TUNEL. Therefore we believe that the discrepancy between the cell cycle profile determined by protein expression and flow cytometry is likely related to the difference in the apoptosis rate following the early S-phase accumulation induced by 10−6 M AraC. This is consistent with the hypothesis that rapidity of apoptosis may reflect the sensitivity of cells to cytotoxic drugs,49 particularly because the samples which accumulated in S-phase after 48 h of 10−6 M AraC belonged to patients clinically resistant to the conventional Ara-C dose.
Exposure to AraC resulted in prominent activation of cdk2 in all samples tested, even in two pRb-negative samples. Extent of cdk2 activity increase was not related to the S-phase percentage assessed by flow cytometry, and appeared even higher in the cells with lower S-phase fraction. It was especially true after exposure to 10−5 M Ara-C, where increases in cyclin E expression and cdk2 activity were beyond the level detected after 10−6 M AraC, but associated with a much higher apoptosis rate. This led us to hypothesize that cdk2 activity might play a direct role in AraC-induced cell death. An increased cyclin E-associated kinase activity during AraC-induced apoptosis was initially observed in myeloid cell lines.50515253 In a very recent study, cyclin E overexpression and cdk2 activation were shown to play a functional role in genotoxic agent-induced apoptosis of lymphoid cells.54 Therefore, the important cdk2 activity observed in our experiment is likely to be more than merely a reflection of S-phase arrest, and may represent an important step required for AraC-induced cell death.
Another important observation in our experiments with Ara-C is that the two concentrations used (10−6 M and 10−5 M) differed significantly in p21 expression induction. Only 10−5 M AraC, corresponding to the concentration achieved in serum of patients treated with HDAraC (1–3 g/m2/day), was able to induce p21. One of most potent inducers of p21 expression are DNA double-strand breaks, as seen after exposure to various cytotoxic agents.5556 Therefore, the presence of p21 induction after in vitro exposure of AML cells to 10−5 M AraC may suggest that a DNA damage additional to single-strand breaks contributes to the cytotoxic effect.
It is difficult to explain the association of high cdk2 activity and strong p21 induction, bearing in mind that p21 is a major cdk2 inhibitor. Such a situation may exist in a heterogeneous cell population, with some cells progressing until S-phase, and exhibiting strong cdk2 activity as in the case of 10−6 M AraC, and other cells, arrested in G1-phase, in which the presence of DNA damage had induced p21 expression, as seen after DNR exposure. On the other hand, in the presence of 10−5 M AraC, the concomitant activation of cdk2, allowing the cells to transit from G1 to S, and p21 induction, leading to the inhibition of DNA synthesis, may bring conflicting signals and account for enhanced apoptosis.
In conclusion, the study of the protein expression of the main cell cycle regulators in freshly isolated AML cells brings insight into their proliferation and differentiation, which may complement the current classifications. Further studies are warranted on a larger series of uniformly treated patients to assess the prognostic significance of p27 expression at diagnosis, but the preliminary data showed in this study are promising. The different cell cycle regulation, revealed by our study, may explain the efficacy of HDAraC in cells showing little sensitivity to conventional AraC dose. Cell cycle protein expression analysis in AML cells exposed to cytotoxic drugs allows distinction of particular profiles of cellular response to the drugs, contributing also to a better understanding of drug-induced apoptosis and to the design of more effective drug combinations for AML treatment.
References
Meikrantz W, Schlegel R . Suppression of apoptosis by dominant negative mutants of cyclin-dependent protein kinases J Biol Chem 1996 271: 10205–10209
Sherr CJ, Roberts JM . CDK inhibitors: positive and negative regulators of G1-phase progression Genes Dev 1999 13: 1501–1512
Kohn KW . Molecular interaction map of the mammalian cell cycle control and DNA repair systems Mol Biol Cell 1999 10: 2703–2734
Hiromura K, Pippin JW, Fero ML, Roberts JM, Shankland SJ . Modulation of apoptosis by the cyclin-dependent kinase inhibitor p27(Kip1) J Clin Invest 1999 103: 597–604
Vrhovac R, Delmer A, Tang R, Marie JP, Zittoun R, Ajchenbaum-Cymbalista F . Prognostic significance of the cell cycle inhibitor p27Kip1 in chronic B-cell lymphocytic leukemia Blood 1998 91: 4694–4700
Furukawa Y, DeCaprio JA, Belvin M, Griffin JD . Heterogeneous expression of the product of the retinoblastoma susceptibility gene in primary human leukemia cells Oncogene 1991 6: 1343–1346
Ahuja HG, Jat PS, Foti A, Bar-Eli M, Cline MJ . Abnormalities of the retinoblastoma gene in the pathogenesis of acute leukemia Blood 1991 78: 3259–3268
Weide R, Parviz B, Pfluger KH, Koppler H, Wormann B, Zuhlsdorf M, Havemann K . The role of decreased retinoblastoma protein expression in acute myelomonocytic and monoblastic leukemias Leuk Lymphoma 1995 17: 135–137
Jamal R, Gale RE, Shaun N, Thomas B, Wheatley K, Linch DC . The retinoblastoma gene (rb1) in acute myeloid leukaemia: analysis of gene rearrangements, protein expression and comparison of disease outcome Br J Haematol 1996 94: 342–351
Zhu YM, Bradbury DA, Keith FJ, Russell N . Absence of retinoblastoma protein expression results in autocrine production of interleukin-6 and promotes the autonomous growth of acute myeloid leukemia blast cells Leukemia 1994 8: 1982–1988
Kornblau SM, Andreeff M, Hu SX, Xu HJ, Patel S, Theriault A, Koller C, Kantarjian H, Estey E, Deisseroth AB, Benedict WF . Low and maximally phosphorylated levels of the retinoblastoma protein confer poor prognosis in newly diagnosed acute myelogenous leukemia: a prospective study Clin Cancer Res 1998 4: 1955–1963
Zhu YM, Bradbury D, Russell N . Expression of different conformations of p53 in the blast cells of acute myeloblastic leukaemia is related to in vitro growth characteristics Br J Cancer 1993 68: 851–855
Iida H, Towatari M, Tanimoto M, Morishita Y, Kodera Y, Saito H . Overexpression of cyclin E in acute myelogenous leukemia Blood 1997 90: 3707–3713
Yokozawa T, Towatari M, Iida H, Takeyama K, Tanimoto M, Kiyoi H, et al. Prognostic significance of the cell cycle inhibitor p27Kip1 in acute myeloid leukemia Leukemia 2000 14: 28–33
Smith MA, Singer CR, Pallister CJ, Smith JG . The effect of haemopoietic growth factors on the cell cycle of AML progenitors and their sensitivity to cytosine arabinoside in vitro Br J Haematol 1995 90: 767–773
Banker DE, Groudine M, Willman CL, Norwood T, Appelbaum FR . Cell cycle perturbations in acute myeloid leukemia samples following in vitro exposures to therapeutic agents Leuk Res 1998 22: 221–239
Cassileth PA, Harrington DP, Appelbaum FR, Lazarus HM, Rowe JM, Paietta E, Willman C, Hurd DD, Bennett JM, Blume KG, Head DR, Wiernik PH . Chemotherapy compared with autologous or allogeneic bone marrow transplantation in the management of acute myeloid leukemia in first remission N Engl J Med 1998 339: 1649–1656
Kern W, Aul C, Maschmeyer G, Schonrock-Nabulsi R, Ludwig WD, Bartholomaus A, Bettelheim P, Wormann B, Buchner T, Hiddemann W . Superiority of high-dose over intermediate-dose cytosine arabinoside in the treatment of patients with high-risk acute myeloid leukemia: results of an age-adjusted prospective randomized comparison Leukemia 1998 12: 1049–1055
Plunkett W, Liliemark JO, Adams TM, Nowak B, Estey E, Kantarjian H, Keating MJ . Saturation of 1-beta-D-arabinofuranosylcytosine 5′-triphosphate accumulation in leukemia cells during high-dose 1-beta-D-arabinofuranosylcytosine therapy Cancer Res 1987 47: 3005–3011
Bennett JM, Catovsky D, Daniel MT, Flandrin G, Galton DA, Gralnick HR, Sultan C . Proposed revised criteria for the classification of acute myeloid leukemia. A report of the French–American–British Cooperative Group Ann Intern Med 1985 103: 620–625
Lacombe F, Belloc F, Dumain P, Puntous M, Lopez F, Bernard P, Boisseau MR, Reiffers J . Quantitation of resistance of leukemic cells to cytosine arabinoside from BrdUrd/DNA bivariate histograms Cytometry 1992 13: 730–738
Wattel E, Preudhomme C, Hecquet B, Vanrumbeke M, Quesnel B, Dervite I, Morel P, Fenaux P . p53 mutations are associated with resistance to chemotherapy and short survival in hematologic malignancies Blood 1994 84: 3148–3157
Nakano Y, Naoe T, Kiyoi H, Kitamura K, Minami S, Miyawaki S et al. Prognostic value of p53 gene mutations and the product expression in de novo acute myeloid leukemia Eur J Haematol 2000 65: 23–31
Delmer A, Tang R, Senamaud-Beaufort C, Paterlini P, Brechot C, Zittoun R . Alterations of cyclin-dependent kinase 4 inhibitor (p16INK4A/MTS1) gene structure and expression in acute lymphoblastic leukemias Leukemia 1995 9: 1240–1245
Schwaller J, Pabst T, Koeffler HP, Niklaus G, Loetscher P, Fey MF, Tobler A . Expression and regulation of G1 cell-cycle inhibitors (p16INK4A, p15INK4B, p18INK4C, p19INK4D) in human acute myeloid leukemia and normal myeloid cells Leukemia 1997 11: 54–63
Aggerholm A, Guldberg P, Hokland M, Hokland P . Extensive intra- and interindividual heterogeneity of p15INK4B methylation in acute myeloid leukemia Cancer Res 1999 59: 436–441
Hayette S, Thomas X, Bertrand Y, Tigaud I, Callanan M, Thiebaut A, Charrin C, Archimbaud E, Magaud JP, Rimokh R . Molecular analysis of cyclin-dependent kinase inhibitors in human leukemias Leukemia 1997 11: 1696–1699
Hu G, Zhang W, Deisseroth AB . P53 gene mutations in acute myelogenous leukaemia Br J Haematol 1992 81: 489–494
Jamal R, Thomas NS, Gale RE, Linch DC . Variable expression of p16 protein in patients with acute myeloid leukemia without gross rearrangements at the DNA level Leukemia 1996 10: 629–636
Williams CD, Linch DC, Sorensen TS, La Thangue NB, Thomas NS . The predominant E2F complex in human primary haemopoietic cells and in AML blasts contains E2F-4, DP-1 and p130 Br J Haematol 1997 96: 688–696
Chen YC, Chen PJ, Yeh SH, Tien HF, Wang CH, Tang JL, Hong RL . Deletion of the human retinoblastoma gene in primary leukemias Blood 1990 76: 2060–2064
Weide R, Parviz B, Pfluger KH, Havemann K . Altered expression of the human retinoblastoma gene in monocytic leukaemias Br J Haematol 1993 83: 428–432
Baldin V, Lukas J, Marcote MJ, Pagano M, Draetta G . Cyclin D1 is a nuclear protein required for cell cycle progression in G1 Genes Dev 1993 7: 812–821
Della Ragione F, Borriello A, Mastropietro S, Della Pietra V, Monno F, Gabutti V, Locatelli F, Bonsi L, Bagnara GP, Iolascon A . Expression of G1-phase cell cycle genes during hematopoietic lineage Biochem Biophys Res Commun 1997 231: 73–76
Bates S, Parry D, Bonetta L, Vousden K, Dickson C, Peters G . Absence of cyclin D/cdk complexes in cells lacking functional retinoblastoma protein Oncogene 1994 9: 1633–1640
Ewen ME, Sluss HK, Sherr CJ, Matsushime H, Kato J, Livingston DM . Functional interactions of the retinoblastoma protein with mammalian D-type cyclins Cell 1993 73: 487–497
Erlanson M, Portin C, Linderholm B, Lindh J, Roos G, Landberg G . Expression of cyclin E and the cyclin-dependent kinase inhibitor p27 in malignant lymphomas – prognostic implications Blood 1998 92: 770–777
Porter PL, Malone KE, Heagerty PJ, Alexander GM, Gatti LA, Firpo EJ, Daling JR, Roberts JM . Expression of cell-cycle regulators p27Kip1 and cyclin E, alone and in combination, correlate with survival in young breast cancer patients Nat Med 1997 3: 222–225
Sgambato A, Zhang YJ, Arber N, Hibshoosh H, Doki Y, Ciaparrone M, Santella RM, Cittadini A, Weinstein IB . Deregulated expression of p27(Kip1) in human breast cancers Clin Cancer Res 1997 3: 1879–1887
Kawana H, Tamaru J, Tanaka T, Hirai A, Saito Y, Kitagawa M, Mikata A, Harigaya K, Kuriyama T . Role of p27Kip1 and cyclin-dependent kinase 2 in the proliferation of non-small cell lung cancer Am J Pathol 1998 153: 505–513
Kaufmann WK . Human topoisomerase II function, tyrosine phosphorylation and cell cycle checkpoints Proc Soc Exp Biol Med 1998 217: 327–334
Kaufmann WK, Paules RS . DNA damage and cell cycle checkpoints Faseb J 1996 10: 238–247
Tishler RB, Calderwood SK, Coleman CN, Price BD . Increases in sequence specific DNA binding by p53 following treatment with chemotherapeutic and DNA damaging agents Cancer Res 1993 53: 2212–2216
Siu WY, Yam CH, Poon RY . G1 versus G2 cell cycle arrest after adriamycin-induced damage in mouse Swiss3T3 cells FEBS Lett 1999 461: 299–305
Brugarolas J, Moberg K, Boyd SD, Taya Y, Jacks T, Lees JA . Inhibition of cyclin-dependent kinase 2 by p21 is necessary for retinoblastoma protein-mediated G1 arrest after gamma-irradiation Proc Natl Acad Sci USA 1999 96: 1002–1007
Kufe DW, Weichselbaum R, Egan EM, Dahlberg W, Fram RJ . Lethal effects of 1-beta-D-arabinofuranosylcytosine incorporation into deoxyribonucleic acid during ultraviolet repair Mol Pharmacol 1984 25: 322–326
Kufe DW, Spriggs DR . Biochemical and cellular pharmacology of cytosine arabinoside Semin Oncol 1985 12: 34–48
Freemerman AJ, Vrana JA, Tombes RM, Jiang H, Chellappan SP, Fisher PB, Grant S . Effects of antisense p21 (WAF1/CIP1/MDA6) expression on the induction of differentiation and drug-mediated apoptosis in human myeloid leukemia cells (HL-60) Leukemia 1997 11: 504–513
Aldridge DR, Radford IR . Explaining differences in sensitivity to killing by ionizing radiation between human lymphoid cell lines Cancer Res 1998 58: 2817–2824
Dou QP, An B, Yu C . Activation of cyclin E-dependent kinase by DNA-damage signals during apoptosis Biochem Biophys Res Commun 1995 214: 771–780
Harvey KJ, Lukovic D, Ucker DS . Caspase-dependent Cdk activity is a requisite effector of apoptotic death events J Cell Biol 2000 148: 59–72
Papazisis KT, Geromichalos GD, Kouretas D, Dimitriadis KA, Kortsaris AH . CDK-inhibitor olomoucine inhibits cell death after exposure of cell lines to cytosine-arabinoside (published erratum appears in Cancer Lett 2000; 149: 227) Cancer Lett 1999 138: 221–226
Yin MB, Guo B, Panadero A, Frank C, Wrzosek C, Slocum HK, Rustum YM . Cyclin E-cdk2 activation is associated with cell cycle arrest and inhibition of DNA replication induced by the thymidylate synthase inhibitor Tomudex Exp Cell Res 1999 247: 189–199
Mazumder S, Gong B, Almasan A . Cyclin E induction by genotoxic stress leads to apoptosis of hematopoietic cells Oncogene 2000 19: 2828–2835
Macleod KF, Sherry N, Hannon G, Beach D, Tokino T, Kinzler K, Vogelstein B, Jacks T . p53-dependent and independent expression of p21 during cell growth, differentiation, and DNA damage Genes Dev 1995 9: 935–944
Butz K, Geisen C, Ullmann A, Zentgraf H, Hoppe-Seyler F . Uncoupling of p21WAF1/CIP1/SDI1 mRNA and protein expression upon genotoxic stress Oncogene 1998 17: 781–787
Acknowledgements
This work was supported in part by a grant from ARC (No. 9637) and by the ‘Comité de Paris de la Ligue contre le Cancer’. N Radosevic was a recipient of a fellowship from Association Claude Bernard.
Author information
Affiliations
Rights and permissions
About this article
Cite this article
Radosevic, N., Delmer, A., Tang, R. et al. Cell cycle regulatory protein expression in fresh acute myeloid leukemia cells and after drug exposure. Leukemia 15, 559–566 (2001). https://doi.org/10.1038/sj.leu.2402092
Received:
Accepted:
Published:
Issue Date:
DOI: https://doi.org/10.1038/sj.leu.2402092
Keywords
- acute myeloid leukemia
- cell cycle
- cytosine-arabinoside
- daunorubicin
Further reading
-
CDK2-instigates C/EBPα degradation through SKP2 in Acute myeloid leukemia
Medical Oncology (2021)
-
The prognostic potential of coilin in association with p27 expression in pediatric acute lymphoblastic leukemia for disease relapse
Cancer Cell International (2018)
-
Comparative analysis of genes regulated in acute myelomonocytic leukemia with and without inv(16)(p13q22) using microarray techniques, real-time PCR, immunohistochemistry, and flow cytometry immunophenotyping
Modern Pathology (2007)
-
Glycogen synthase kinase-3β and p38 phosphorylate cyclin D2 on Thr280 to trigger its ubiquitin/proteasome-dependent degradation in hematopoietic cells
Oncogene (2007)
-
Overexpression of p73 enhances cisplatin-induced apoptosis in HeLa cells
Archives of Pharmacal Research (2006)



