Abstract
Recently, a polymorphic base in exon 13 of the BCR gene (exon b2 of the major breakpoint cluster region) has been identified in the eighth position before the junctional region of BCR-ABL cDNA. Cytosine replaces thymidine; the corresponding triplets are AAT (T allele) and AAC (C allele), respectively, both coding for asparagine. Therefore, this polymorphism has no implication in the primary structure of BCR and BCR-ABL proteins. However, since the alteration is located close to the fusion region it may have a significant influence on the annealing of PCR primers, probes for real time PCR, and antisense oligonucleotides. We have developed a RT-PCR-based screening method to easily identify polymorphic BCR and BCR-ABL alleles in CML patients and normal individuals in order to estimate their frequency. After amplification from cDNA, a melting curve of a specific fluorogenic probe mapping to the 3′ end of BCR exon b2 and spanning the polymorphism readily discriminates between normal and polymorphic BCR and BCR-ABL alleles. This reporter probe is 3′ labeled with fluorescein and placed next to 5′ LC Red640-labeled anchor probes mapping to the 5′ ends of BCR exon b3 or ABL exon a2 so that resonance energy transfer occurs when the probes are hybridized (LightCycler technology). T and C alleles were discriminated by a melting temperature difference of the reporter probe of 3.2 K. We have investigated cDNAs derived from leukocytes from seven cell lines and a total of 229 individuals: normal donors, n = 15; BCR-ABL negative chronic myeloproliferative disorders, n = 30; BCR-ABL negative acute leukemias, n = 11; b2a2BCR-ABL positive CML, n = 93; and b3a2BCR-ABL positive CML, n = 80. The frequency of the C allele was 33.0% in BCR-ABL negative individuals, 30.6% in b2a2BCR-ABL, and 23.8% in b3a2BCR-ABL positive CML. In CML patients, 27.7% of BCR-ABL and 27.2% of BCR alleles had the C allele (NS). In total, 132 of 458 (28.8%) exons b2 of BCR or BCR-ABL alleles demonstrated this polymorphism. We conclude that a thymidine/cytosine replacement occurs frequently in BCR exon b2. Probes for real time quantitative RT-PCR should be designed not to map to the critical region in order to avoid underestimation of the number of BCR-ABL transcripts.
Introduction
The two major players in the pathogenesis of CML, the proto-oncogene ABL on chromosome 9, and the breakpoint cluster region gene BCR on chromosome 22, have been identified, cloned and sequenced in the 1980s.12 Various genomic polymorphisms have been described in context with the formation of the chimeric BCR-ABL fusion gene. However, the frequency of specific polymorphisms is still unknown.2345
The BCR gene spans a region of 135 kb and comprises 23 exons, referred to as exons e1 to e23. Exons b1 to b5 of the major breakpoint cluster region (M-bcr) were identified as exons e12 to e16 of the BCR gene.67 The breakpoint location within BCR falls either 5′ between exons b2 and b3 or 3′ between exons b3 and b4. A BCR-ABL fusion gene with a b2a2 or b3a2 junction is created and transcribed.7
Recently, a polymorphic base in exon 13 of the BCR gene (exon b2 of the major breakpoint cluster region) has been identified in the eighth position (Pos. 123692 GenBank accession No. U070002) before the junctional region of BCR-ABL cDNA.8 Cytosine replaces thymidine; the corresponding triplets are AAT and AAC, respectively, coding both for asparagine (Figure 1). Therefore, this polymorphism is silent and has no implication in the primary structure of BCR and BCR-ABL proteins. However, since the alteration is located close to the fusion region it may have a significant influence on the annealing of PCR primers, probes for real time PCR5910111213 and therapeutic antisense oligonucleotides.1415 Currently, the frequency of this polymorphism and therefore the potential impact is unknown.
To evaluate the frequency of this polymorphism and to analyze individual patients we established a novel screening method based on different melting temperatures of fluorescent-labeled oligonucleotide hybridization probes used for real time RT-PCR. Hybridization probes that bind to perfectly matched target sequences require a higher melting temperature (Tm) to dissociate compared to probes that bind to sequences with one or more mismatches.16
Materials and methods
Individuals and samples
A total of 229 individuals have been investigated for polymorphic BCR and/or BCR-ABL alleles. One hundred and seventy-three patients had BCR-ABL positive CML at diagnosis (b2a2BCR-ABL, n = 93; b3a2BCR-ABL, n = 80), 56 individuals were BCR-ABL negative (healthy donors, n = 15; BCR-ABL negative chronic myeloproliferative disorders, n = 30, BCR-ABL negative acute leukemias, n = 11). In addition, cell lines K562, LAMA84 (b3a2BCR-ABL), BV173, KCL22, KYO1 (b2a2BCR-ABL), HL60 and KG1a (BCR-ABL negative) were screened.
Sample processing, multiplex PCR for BCR-ABL transcripts
Total leukocyte RNA was extracted from 10 to 20 ml of peripheral blood after lysis of red blood cells or from 1 to 5 × 107 PBS washed cells from cell lines. RNA extraction was performed by CsCl gradient centrifugation or by commercially available extraction kits. RNA was reverse transcribed using random hexamer priming and MMLV reverse transcriptase as described.17 The type of BCR-ABL transcript was determined by multiplex PCR18 and electrophoresis of the PCR product on an ethidium bromide stained 1.5% agarose gel and compared with K562 (b3a2BCR-ABL) and BV173 (b2a2BCR-ABL) standards.
Mutation detection using fluorescence resonance energy transfer
Fluorescence monitoring using hybridization probes is based on the concept that a fluorescence signal is generated if fluorescence resonance energy transfer (FRET) occurs between two adjacent fluorophores.9 Even more important, genotyping using two hybridization probes is possible with a shorter ‘detection probe’ recognizing an adjacent sequence. The greater stability of the longer ‘anchor probe’ causes the ‘detection probe’ to melt off the template at lower temperature so that polymorphic alleles can be distinguished by the melting temperature (Tm) of the ‘detection probe’. Continuous fluorescence monitoring of the reaction as the temperature is raised from annealing to denaturation results in a sharp decrease in fluorescence at the temperature at which the ‘detection probe’ dissociates from the template. The single base change caused by the BCR polymorphism results in a decrease of Tm of the ‘detection probe’ that can be distinguished with the LightCycler.
Selection of primers and design of fluorogenic probes
The following primers were used for amplification: b2a2 and b3a2 BCR-ABL, primers B2A and NA4−;9 BCR, primers B2A and c5e−.18 The detection probe b2–17 (5′CTGACCAT CAATAAGGA-F) was a 17-mer oligonucleotide, mapping to the 3′ end of BCR exon b2 and labeled at the 3′ end with fluorescein. The 5′-LightCycler Red 640-labeled anchor probes were two 32-mer oligonucleotides that bind with a distance of three bases 3′ to the detection probe. B3-32 maps to the 5′ end of BCR exon b3 (5′ LC Red640-TGATGAGTCTCCGGGGCTCTATGGGTTTCTGA-P), a2–32 to the 5′ end of ABL exon a2 (5′ LC Red640-AGCCCTT CAGCGGCCAGTAGCATCTGACTTTG-P). Therefore, detection of b3a2 BCR-ABL and BCR alleles was performed using probes b2–17 and b3–32, and detection of b2a2 BCR-ABL by using b2–17 and a2–32 (Figure 2).
Schematic map of the primer probe combinations for the differential detection of BCR and BCR-ABL transcripts. The pair of hybridization probes map to exons b2 and b3 for the detection of b3a2 BCR-ABL and BCR alleles and to exons b2 and a2 for the detection of b2a2 BCR-ABL alleles, respectively. The unique detection probe b2–17 was 3′ fluorescein labeled, the two anchor probes b3–32 and a2–32 were 5′ LC Red 640 labeled.
Real time PCR and mutation detection
PCR was performed as described.9 After amplification was complete, a final melting curve was recorded by cooling to 40°C with 10°C/s, holding at 40°C for 1 min and then heating slowly at 0.1°C/s until 65°C. The fluorescence signal (F) was measured continuously during the temperature rise to monitor the dissociation of the fluorescein-labeled detection probe and plotted against temperature (T) to produce melting curves for each sample (F vs T). Melting curves were then converted to melting peaks by plotting the negative derivative of the fluorescence with respect to temperature against temperature (−dF/dT vs T). The actual Tm was calculated by the LightCycler software (version 3.0) (Figure 3). Amplification, fluorescence detection, and post-processing calculations were performed using the LightCycler (Roche Diagnostics, Mannheim, Germany).
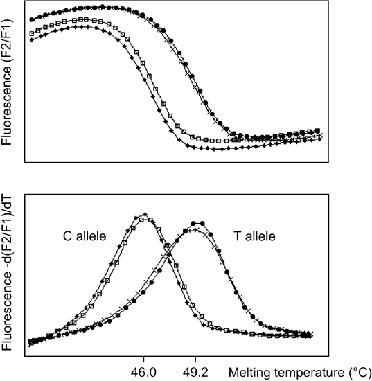
Melting curves [fluorescence (F2/F1) against temperature] and melting peaks [Fluorescence − d(F2/F1)/dT against temperature] of C and T BCR alleles. In four patients with BCR-ABL positive CML BCR alleles were amplified using primers B2A and c5e− and detected using the detection probe b2–17 and anchor probe b3–32. The Tm of the individual detection probes was 49.2°C in two cases (T alleles) and 46.0°C in two other cases (C alleles).
Sequencing of amplification products
Eighteen randomly chosen amplification products of six BCR, six b2a2, and six b3a2 BCR-ABL alleles were sequenced (MWG Biotech, Ebersberg, Germany).
Quantification of BCR-ABL transcripts
In 20 b2a2BCR-ABL positive samples (10 each with the T and C allele) BCR-ABL transcripts were quantified using b2–17 and b3–32 probes and, for comparison, using a pair of hybridization probes mapping to ABL exon 3 as described.9
Statistical analysis
The statistical significance of the difference of the frequency of polymorphism between groups was calculated using Fisher's exact test (two-sided). The results of the BCR-ABL quantification (ratio between b2/b3 and a3/a3 labeling) were compared between samples with T and C alleles, respectively, using the Mann–Whitney test. Crude odds ratios were calculated and are given within the 95% confidence intervals. Whether or not the distribution of genotypes were in Hardy-Weinberg equilibrium was determined by χ2 analysis.
Results
Melting temperature differences
The melting curves for BCR-ABL and ABL were identical since they were detected by the same probe (b2–17). Taking Mg2+, oligonucleotide concentrations and the sequence for perfect match and mismatch into account a difference in the melting temperature between wild type and polymorphic allele of Δ = 3.9 K was calculated according to Schütz and von Ahsen.19
Cell lines
Seven hematopoetic cell lines were investigated for polymorphic (T or C) BCR or BCR-ABL alleles. For the five BCR-ABL positive cell lines (BV173, KYO1, KCL22 – b2a2BCR-ABL; K562, LAMA84 – b3a2BCR-ABL) all five BCR-ABL alleles and four of five of the normal BCR alleles were of T type. The only C type allele was the BCR allele of LAMA84. Two BCR-ABL negative cell lines (HL60 and KG1a) showed heterozygous configuration of the BCR alleles. In total, 3/9 BCR alleles and 0/5 BCR-ABL alleles were of C type.
Samples of BCR-ABL positive patients and BCR-ABL negative individuals
Ninety-three b2a2 and 80 b3a2 BCR-ABL positive CML patients were analyzed. Forty-eight of 173 BCR-ABL alleles (27.7%), 47/173 BCR alleles (27.2%), and 95 out of a total of 346 BCR or BCR-ABL alleles (27.5%) had the C variant (Table 1).
Fifty-six BCR-ABL negative individuals were screened. Twenty-two individuals were homozygous for the T allele, 31 were heterozygous, and three were homozygous for the C allele. Overall, 37/112 BCR alleles had the C variant (33.0%) (Table 1).
In all individuals investigated, the frequency of the C allele in BCR or BCR-ABL was 132/458 = 28.8% (Table 1). The odds ratio for the frequency of polymorphic alleles in patients’ populations revealed a lower rate of the C allele in b3a2BCR-ABL positive patients as compared to BCR-ABL negative individuals (OR = 1.84, P = 0.03, Table 2).
The overall frequency of the C or T alleles was 132/458 (p) and 326/458 (q), respectively. The expected frequencies of homozygous C, heterozygous, and homozygous T individuals was p2*458 = 19.03, 2pq*458 = 93.96, and q2*458 = 116.01, respectively. The actual frequencies observed were 20 (8.7%), 92 (40.2%), and 117 (51.1%) (χ2 test NS) concluding that the polymorphism is in Hardy–Weinberg equilibrium.
Sequencing
Sequencing of six BCR, six b2a2 BCR-ABL, and six b3a2 BCR-ABL amplification products revealed the predicted sequence (T vs C) in all cases.
Impact on BCR-ABL quantification by real-time PCR
BCR-ABL transcripts were quantified in two cohorts of b2a2BCR-ABL positive samples with the T allele (n = 10) and with the C allele (n = 10) using b2–17 and b3–32 probes and by the standard method using a pair of probes mapping to ABL exon 3. The median ratio between the result of b2/b3 hybridization and a3/a3 hybridization was 0.43 (range 0.30–0.51) in the T allele cohort and 0.21 (range 0.07–0.51) in the C allele cohort, respectively (Mann–Whitney test, P = 0.029).
Discussion
Traditional methods for the detection of polymorphisms rely on conventional PCR amplification and subsequent detection of restriction fragment polymorphisms. These approaches are labor-intensive and depend on an appropriate restriction site and complete restriction digestion, which cannot always be achieved. To overcome these problems, we developed a simple and rapid assay using the LightCycler technology.
The LightCycler technology has been employed for several applications to detect hereditary single nucleotide mutations on DNA level in patients suffering from hemochromatosis,2021 α1-antitrypsin deficiency,22 hemoglobinopathies,23 prothrombotic mutations (factor V Leiden,2024 prothrombin2425), methylentetrahydrofolate reductase,2425 and inherited metabolic disorders.26
Here, we sought to establish a simple RT-PCR-based method to detect a BCR polymorphism that is also present in BCR-ABL. The unambiguous genotyping of polymorphic alleles has been performed by employing combinations of three primers and three hybridization probes.
With a frequency of the C allele of 29.7% in a Caucasian population, this polymorphism should be taken into account when choosing PCR primers, probes for real time PCR and antisense oligonucleotides. For quantitative PCR analysis, for example, probes spanning the b2/a2 fusion region might result in an underestimation of the number of BCR-ABL transcripts. Indeed, Branford et al13 found that the apparent level of BCR-ABL copies as determined by a TaqMan assay was one order of magnitude lower in cases with the C allele in BCR-ABL. We confirmed the underestimation of BCR-ABL transcripts in C allele patients by comparing two real time PCR approaches: (1) using a pair of hybridization probes spanning the polymorphism and (2) mapping to ABL exon 3, respectively. Method (1) resulted in significant lower transcript numbers in C allele samples. Therefore, probes spanning this region should be avoided.1227
In the past decade, antisense oligonucleotides152829 and ribozymes30 have received attention for inhibiting BCR-ABL expression and colony formation derived from both human primary CML cells and BCR-ABL positive cell lines. The DNA–RNA heteroduplex formed by hybridization with antisense DNA is the substrate of ribonuclease H. However, sequence specificity is crucial for hybridization efficiency.14 Therefore, antisense molecules spanning the b2/a2 fusion region and the polymorphic site283132 might be of limited value in a significant proportion of patients. All b2a2BCR-ABL cell lines that have been treated with antisense or ribozyme reagents have had the T allele in BCR-ABL and thus the influence of the polymorphism in this context is unknown.33
Investigating a higher number of individuals, we found a lower frequency of C alleles as compared to de V Meissner8 (28.8% vs 43.5%). The significance of the lower proportion of C BCR-ABL alleles in b3a2BCR-ABL positive CML patients as compared to the frequency of C BCR alleles in BCR-ABL negative individuals (Fisher's exact test P = 0.03) and of less C BCR-ABL alleles in b3a2BCR-ABL vs b2a2BCR-ABL alleles (Fisher's exact test P = 0.04) is unclear.
We conclude that a considerable proportion of BCR and BCR-ABL alleles harbor a C/T replacement in BCR exon b2 of unknown biological significance. However, the base exchange may compromise quantitative PCR approaches or therapeutic strategies using specific antisense oligonucleotides. This polymorphism can easily be detected by a novel real time RT-PCR assay using specific fluorescent hybridization probes and should be taken into account when designing primers, probes or antisense oligonucleotides to BCR or BCR-ABL.
References
Heisterkamp N, Stam K, Groffen J, de Klein A, Grosveld G . Structural organization of the bcr gene and its role in the Ph′ translocation Nature 1985 315: 758–761
Chissoe SL, Bodenteich A, Wang YF, Wang YP, Burian D, Clifton SW, Crabtree J, Freeman A, Iyer K, Jian L, Ma Y, McLaury HJ, Pan HQ, Sarhan OH, Toth S, Wang Z, Zhang G, Heisterkamp N, Groffen J, Roe BA . Sequence and analysis of the human ABL gene, the BCR gene, and regions involved in the Philadelphia chromosomal translocation Genomics 1995 27: 67–82
Rosenblum-Vos LS, Griffin CA . Identification of a BCR polymorphism in a bone marrow donor: diagnostic implications Leukemia 1998 12: 1499–1500
Reiter A, Skladny H, Hochhaus A, Seifarth W, Heimpel H, Bartram CR, Cross NCP, Hehlmann R . Molecular response of CML patients treated with interferon-α monitored by quantitative Southern blot analysis Br J Haematol 1997 97: 86–93
Hochhaus A, Weisser A, La Rosée P, Emig M, Müller MC, Saußele S, Reiter A, Kuhn C, Berger U, Hehlmann R, Cross NCP . Detection and quantification of residual disease in chronic myelogenous leukemia Leukemia 2000 14: 998–1005
Thijsen SFT, Schuurhuis GJ, van Oostveen JW, Ossenkoppele GJ . Chronic myeloid leukaemia from basics to bedside Leukemia 1999 13: 1646–1674
Melo JV . The molecular biology of chronic myeloid leukaemia Leukemia 1996 10: 751–756
de V Meissner R, Dias PMB, Covas DT, Job F, Leite M, Nardi NB . A polymorphism in exon b2 of the major breakpoint cluster region (M-bcr) identified in chronic myeloid leukaemia patients Br J Haematol 1998 103: 224–226
Emig M, Saussele S, Wittor H, Weisser A, Reiter A, Willer A, Berger U, Hehlmann R, Cross NCP, Hochhaus A . Accurate and rapid analysis of residual disease in patients with CML using specific fluorescent hybridization probes for real time quantitative RT-PCR Leukemia 1999 13: 1825–1832
Eckert C, Landt O, Taube T, Seeger K, Beyermann B, Proba J, Henze G . Potential of LightCycler technology for quantification of minimal residual disease in childhood acute lymphoblastic leukemia Leukemia 2000 14: 316–323
Eder M, Battner K, Kafert S, Stucki A, Ganser A, Hertenstein B . Monitoring of BCR-ABL expression using real-time RT-PCR in CML after bone marrow or peripheral blood stem cell transplantation Leukemia 1999 13: 1383–1389
Preudhomme C, Révillion F, Merlat A, Hornez L, Roumier C, Duflos-Grardel N, Jouet JP, Cosson A, Peyrat JP, Fenaux P . Detection of BCR-ABL transcripts in chronic myeloid leukemia (CML) using a ‘real time’ quantitative RT-PCR assay Leukemia 1999 13: 957–964
Branford S, Hughes TP, Rudzki Z . Monitoring chronic myeloid leukaemia therapy by real-time quantitative PCR in blood is a reliable alternative to bone marrow cytogenetics Br J Haematol 1999 107: 587–599
Kronenwett R, Haas R, Sczakiel G . Kinetic selectivity of complementary nucleic acids: bcr/abl-directed antisense RNA and ribozymes J Mol Biol 1996 259: 632–644
Clark RE . Antisense therapeutics in chronic myeloid leukaemia: the promise, the progress and the problems Leukemia 2000 14: 347–355
Ririe KM, Rasmussen RP, Wittwer CT . Product differentiation by analysis of DNA melting curves during the polymerase chain reaction Anal Biochem 1997 245: 154–160
Cross NCP, Feng L, Bungey J, Goldman JM . Minimal residual disease after bone marrow transplant for chronic myeloid leukaemia detected by the polymerase chain reaction Leuk Lymphoma 1993 11: (Suppl. 1) 39–43
Cross NCP, Melo JV, Feng L, Goldman JM . An optimized multiplex polymerase chain reaction (PCR) for detection of BCR-ABL fusion mRNAs in haematological disorders Leukemia 1994 8: 186–189
Schütz E, von Ahsen N . Spreadsheet software for thermodynamic melting point prediction of oligonucleotide hybridization with and without mismatches Biotechniques 1999 27: 1218–1224
Neoh SH, Brisco MJ, Firgaira FA, Trainor KJ, Turner DR, Morley AA . Rapid detection of the factor V Leiden (1691G>A) and haemachromatosis (8456>A) mutation by fluorescence resonance energy transfer (FRET) and real time PCR J Clin Pathol 1999 52: 766–769
Bernard PS, Ajioka RS, Kushner JP, Wittwer CT . Homogeneous multiplex genotyping of hemochromatosis mutations with fluorescent hybridization probes Am J Pathol 1998 153: 1055–1061
Aslanidis C, Nauck M, Schmitz G . High-speed detection of the two common α1-antitrypsin deficiency alleles Pi*Z and Pi*S by real-time fluorescence PCR and melting curves Clin Chem 1999 45: 1872–1875
Herrmann MG, Dobrowolski SF, Wittwer CT . Rapid β-globin genotyping by multiplexing probe melting temperature and color Clin Chem 2000 46: 425–428
van Ahsen N, Schütz E, Armstrong VW, Oellerich M . Rapid detection of prothrombotic mutations of prothrombin (G20210A), Factor V (G1691A), and Methylentetrahydrofolate reductase (C677T) by real-time fluorescence PCR with the LightCycler Clin Chem 1999 45: 694–696
Aslanidis C, Nauck M, Schmitz G . High-speed prothrombin G-A 20210 and methylenetetrahydrofolate reductase C-T 677 mutation detection using real-time fluorescence PCR and melting curves Biotechniques 1999 27: 234–238
Aoshima T, Sekido Y, Miyazaki T, Kajita M, Mimura S, Watanabe K, Shimokata K, Niwa T . Rapid detection of deletion mutations in inherited metabolic diseases by melting curve analysis with LightCycler Clin Chem 2000 46: 119–122
Mensink E, van de Locht A, Schattenberg A, Linders E, Schaap N, Guerts van Kessel A, de Witte T . Quantitation of minimal residual disease in Philadelphia chromosome positive chronic myeloid leukaemia patients using real-time quantitative RT-PCR Br J Haematol 1998 102: 768–774
Szczylik C, Skorski T, Nicolaides NC, Manzella L, Malaguarnera L, Venturelli D, Gewirtz AM, Calabretta B . Selective inhibition of leukemia cell proliferation by BCR-ABL antisense oligodeoxynucleotides Science 1991 253: 562–565
De Fabritiis P, Skorski T, de Propris MS, Paggi MG, Nieborowska-Skorska M, Lisci A, Buffolino S, Campbell K, Geiser T, Calabretta B . Effect of bcr-abl oligodeoxynucleotides on the clonogenic growth of chronic myelogenous leukaemia cells Leukemia 1997 11: 811–819
Kearney P, Wright LA, Milliken S, Biggs JC . Improved specificity of ribozyme-mediated cleavage of bcr-abl mRNA Exp Hematol 1995 23: 986–989
Kronenwett R, Steidl U, Kirsch M, Sczakiel G, Haas R . Oligodeoxyribonucleotide uptake in primary human hematopoietic cells is enhanced by cationic lipids and depends on the hematopoietic cell subset Blood 1998 91: 852–862
De Fabritiis P, Petti MC, Montefusco E, de Propris MS, Sala R, Bellucci R, Mancini M, Lisci A, Bonetto F, Geiser T, Calabretta B, Mandelli F . BCR-ABL antisense oligodeoxynucleotide in vitro purging and autologous bone marrow transplantation for patients with chronic myelogenous leukemia in advanced phase Blood 1998 91: 3156–3162
Smetsers TF, Skorski T, van de Locht LT, Wessels HM, Pennings AH, de Witte T, Calabretta B, Mensink EJ . Antisense BCR-ABL oligonucleotides induce apoptosis in the Philadelphia chromosome-positive cell line BV173 Leukemia 1994 8: 129–140
Acknowledgements
Our study was supported by grants from the Deutsche José-Carreras-Stiftung eV, the Tumorzentrum Mannheim/ Heidelberg, the Forschungsfonds der Fakultät für Klinische Medizin Mannheim, Germany, and by Roche Diagnostics, Mannheim, Germany. Cell lines BV173, K562, and HL60 were bought from the Deutsche Sammlung für Mikroorganismen und Zellkulturen (DSMZ), Braunschweig, Germany, cDNA from cell lines KCL22, LAMA84, and KG1a was kindly provided by Dr Junia V Melo, Imperial College School of Medicine, London, UK.
Author information
Affiliations
Rights and permissions
About this article
Cite this article
Saußele, S., Weißer, A., Müller, M. et al. Frequent polymorphism in BCR exon b2 identified in BCR-ABL positive and negative individuals using fluorescent hybridization probes. Leukemia 14, 2006–2010 (2000). https://doi.org/10.1038/sj.leu.2401929
Received:
Accepted:
Published:
Issue Date:
DOI: https://doi.org/10.1038/sj.leu.2401929
Keywords
- chronic myelogenous leukemia
- real time PCR
- BCR gene
- polymorphism analysis
Further reading
-
Chronic myeloid leukemia: the concepts of resistance and persistence and the relationship with the BCR-ABL1 transcript type
Leukemia (2019)
-
Serial minimal residual disease (MRD) analysis as a predictor of response duration in Philadelphia-positive acute lymphoblastic leukemia (Ph+ALL) during imatinib treatment
Leukemia (2003)
-
Detection of minimal residual disease in hematologic malignancies by real-time quantitative PCR: principles, approaches, and laboratory aspects
Leukemia (2003)
-
Standardization and quality control studies of ‘real-time’ quantitative reverse transcriptase polymerase chain reaction of fusion gene transcripts for residual disease detection in leukemia – A Europe Against Cancer Program
Leukemia (2003)


