Abstract
We measured using a competitive quantitative polymerase chain reaction-capillary electrophoresis (PCR-CE)-based assay, the levels of bcr-abl transcripts in 44 patients with chronic myeloid leukemia (CML) after interferon-α (IFN-α) therapy, who achieved a major (10 patients, MCR group) or complete (34 patients, CCR group) cytogenetic response. All 34 CCR patients had molecular evidence of residual disease detected in bone marrow samples at the time of best karyotypic response. The median number of bcr-abl transcripts of 34 evaluable patients in the CCR group at the time of complete cytogenetic remission was 4/μg RNA (range 3–4600), while the median number of bcr-abl transcripts of 10 patients in the MCR group at the time of best cytogenetic response was 4490/μg RNA (range 600–23 900) (P = 0.000024). In nine CCR and five MCR patients we were able to quantify the amount of bcr-abl transcript both at diagnosis and after interferon therapy: no statistical difference (P = 0.18) was found between the two groups at diagnosis (median bcr-abl transcripts/μg RNA was 30 000 vs 39 650, respectively). During IFN-α therapy, the two groups were evaluable at the time of major karyotypic conversion: at this point, there was a statistical difference of expression of bcr-abl transcript between the CCR group (17 patients) (median 2700; range 76–40 000) and the MCR group (10 patients) (median 4490; range 600–23 900), respectively (P = 0.046). No differences of bcr-abl amount of transcript were found in patients with CCR obtained either by IFN-α therapy alone (20 patients) vs IFN-α plus ABMT (13 patients) (P = 0.47). We firstly demonstrated that although the CCR and MCR groups were clinically, cytogenetically and molecularly indistinguishable at diagnosis, the two groups could be recognized successfully during interferon therapy based on the level of bcr-abl transcript. Bone Marrow Transplantation (2000) 25, 729–736.
Main
Chronic myeloid leukemia (CML) is a clonal disorder due to the neoplastic transformation of a pluripotent hematopoietic stem cell. A consistent translocation t(9;22) is present in the cells of the majority of CML patients.12 Two genes are involved in the translocation, which gives rise to a marker chromosome 22, called Philadelphia or Ph chromosome. The genes are abl on chromosome 9 and bcr on chromosome 22.234 The chimeric bcr-abl transcript, generated as the consequence of the reciprocal translocation between the bcr and abl loci,3 gives rise to a fusion protein with neoplastic activity.4 In the 99% of our CML patients two types of bcr-abl junction have been detected by a reverse transcription (RT) polymerase chain reaction (PCR) assay;5 these junctions are known as b2-a2 and b3-a2, respectively, due to the inclusion of 75 base pair (bp) from bcr exon 14 (or b3 of a major breakpoint cluster region, M-BCR).235 Several studies have reported on RT-PCR's ability to detect the bcr-abl transcript for either the diagnosis or monitoring of the Ph clone.56789 Qualitative assessment of the RT-PCR product was done by agarose SLAB or by polyacrylamide gel electrophoresis (PAGE) separation and resolution of the different size of the PCR products (75 bp difference). Taking advantage of a linear relationship between the input template (usually cDNA obtained after RT from extracted total RNA) and amplification product within the exponential range of PCR, several authors have also reported a competitive PCR assay for quantification of bcr-abl amplified transcript.10111213
We have developed a similar competitive quantitative RT-PCR assay associated with amplified bcr-abl transcript quantification based on a capillary electrophoresis spectrophotometric analysis (CE).8 We applied this method to evaluate the level of bcr-abl transcript at diagnosis and at the time of major (>66% Ph negativity) or complete cytogenetic remission (100% Ph negativity) in a restricted group of CML patients after receiving IFN-α-based therapy, sometimes followed by autologous bone marrow transplantation. The aims of this study were: (1) to determine the level of residual disease at the time of major cytogenetic response (MCR) or complete cytogenetic response (CCR); (2) to assess whether complete remitters had a different amount of bcr-abl transcript expression with respect to the MCR group at diagnosis and during IFN-α therapy; and finally (3) whether any difference in residual disease was evident among patients who obtain CCR with and without autologous BMT.
Materials and methods
Patients
A total of 44 patients (32 male, 12 female; median age at diagnosis 41 years, range 16–64 years) with Ph+ CML in first chronic phase (CP) were studied: 34 patients achieved CCR and 10 patients achieved MCR. Some clinical data are reported in Table 1. Sokal's score was low in 35 patients, intermediate in seven patients and high in two patients. They were all treated from the onset of the disease with recombinant IFN-α2a alone (39 patients) as reported, or with IFN-α plus monthly courses of cytarabine (40 mg/i.m./day for 10 days) (5 patients, UPNs 6837, 6870, 7293, 7793 and 8072). Thirteen patients received an autologous bone marrow transplantation (ABMT) when they were in CP as reported.14 Two patients (UPNs 6475 and 7160) were admitted to allogeneic bone marrow transplantation (BMT) from HLA-identical donors when they were in MCR having been evaluated before BMT. The median survival was 36 months in the CCR group (range 6–123) vs 43 months in the MCR group (range 6–111). One patient (UPN 6477) who developed a lymphoid blast crisis died, and all the others were alive in chronic phase. Three patients (UPNs 3303, 7793 and 8693) lost their CCR and became MCR.
Cytogenetics
Cytogenetics were performed according to standard protocol as reported.9 For chromosome analysis bone marrow specimens were examined on direct and/or short-term (24 h) cultures. Definition of CCR and MCR was as reported.15
Qualitative and RT-PCR analysis
In all cases, only mononuclear cells from bone marrow samples (3 ml) immediately separated on Ficoll gradient and suspended, stored at −20°C and shipped in GITC solution were examined, as previously described.8 RNA was extracted from GITC solution at diagnosis and at various time points (range 0–104 months) after first detection of CCR or MCR. Due to the fact that RNA is an easily degradable nucleic acid, the quality and quantity of RNA was carefully checked by gel electrophoresis analysis and spectrophotometric measurement for integrity and quantity, respectively. Qualitative RT were prepared from 1 μg RNA templates as reported.8 The RT reaction was carried out by incubation at 37°C for 1 h. The PCR amplification was performed using 10 μl of the RT product, as reported.8
For the competitive assay the same cDNA generated using the AZ primer was amplified as reported.9
Competitive PCR and CE of PCR amplified products
Competitive PCR was performed as previously described.8 CE was performed on a P/ACE 2100 (Beckman, Milan, Italy) in the reverse-polarity mode (negative potential at the injection end of the capillary) as reported.8
Statistical analysis and graphical elaboration of data
The statistical analysis was performed using Mann–Whitney U test and Wilcoxon matched pair test. The graphical presentation of data was done by the computer analysis program ‘MATLAB’, kindly provided by Dr Luigi Montefusco, Faculty of Engineering, University of Florence, Italy.
Results
All 44 patients had evidence of residual disease and all their bone marrow samples were found to be positive for bcr-abl mRNA by qualitative PCR at the time of their best karyotypic response. Twenty-one patients expressed b2-a2 transcripts, 22 patients had b3-a2 transcripts and only one had both transcripts.
The same samples were analyzed by capillary electrophoresis (CE) (128 runs; median 3.3 times for each sample). CE separation showed baseline resolution for the two peaks corresponding to the two types of bcr-abl junctions: the b2-a2 type (343 base pairs, 21 patients) was revealed at a median time of 9.33 min (range 8.99–9.40) and the b3-a2 type (418 base pair, 22 patients) at median time of 10.03 min (range 9.58–10.70). The remaining patient (UPN 6555) showed both peaks. In both cases, there was no false positive or overlapping of the two different types of bcr-abl junctions.
The PCR products from each reaction were first analyzed by SGE, and fine quantification was performed by visual comparison (data not shown). Secondly, the same RT-PCR reaction products were examined by CE.8 A ratio between the areas of the two peaks was easily calculated and the amount of unknown PCR product obtained detected and expressed as bcr-abl transcript for μg of total RNA examined. By this method we assessed the amount of PCR product by CE (ratio between the area of the sample and competitor peaks). By quantitative PCR analysis, we found that the median number of bcr-abl transcripts among the 34 patients in the CCR group at the first time of cytogenetic negativity was 4/μg RNA (range 3–4600), while the median number of bcr-abl transcripts of MCR group at the first time of major cytogenetic response was 4490/μg RNA (range 600–23 900) (P = 0.000024) (Figure 1).
Schematic representation of bcr-abl transcript at best karyotypic response in complete and in major cytogenetic conversion responders. Schematic representation in logarithmic scale of competitive and quantitative RT-PCR analysis of complete cytogenetic responders (CCR) on the right side and of major cytogenetic responders (MCR) on the left side.
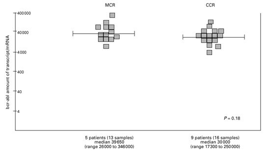
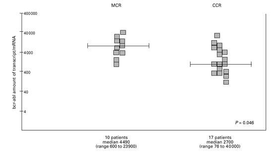
In nine CCR and five MCR patients we were able to measure the amount of bcr-abl transcripts at diagnosis and after IFN-α therapy, respectively: no statistical differences were found between the amount of bcr-abl transcripts expressed for μg of RNA between the two groups at diagnosis (median value 30 000 vs 39 650 bcr-abl transcripts/μg RNA, respectively) (P = 0.18) (Figure 2). In contrast, when the two groups were evaluated at the time of major karyotypic conversion, there was a statistical difference (P = 0.046) between the CCR group (17 patients) (median 2700; range 76–40 000) and the MCR group (10 patients) (median 4490; range 600–23 900) (Figure 3). Finally, no differences in the amount of bcr-abl transcript were found between patients with CCR obtained by IFN therapy alone (20 patients) (median value 155; range 3–4100) and by IFN plus ABMT (13 patients) (median value 4; range 4–4600) at the time of complete cytogenetic response (P = 0.47).
Schematic representation of bcr-abl transcript at diagnosis in complete and in major cytogenetic conversion responders. Schematic representation in logarithmic scale of competitive and quantitative RT-PCR analysis of complete cytogenetic responders (CCR) on the right side and of major cytogenetic responders on the left side.
Schematic representation of bcr-abl transcript at major karyotypic response in complete and in major cytogenetic conversion responders. Schematic representation in logarithmic scale of competitive and quantitative RT-PCR analysis of complete cytogenetic responders (CCR) on the right side and of major cytogenetic responders on the left side.
We have measured the decrease of the amount of the bcr-abl transcript during IFN-α therapy in both groups: in the nine patients in the CCR group we found that it dropped from a median value of 30 000 to 380 bcr-abl transcripts/μg RNA (P = 0.007) and in the five patients in the MCR group there was a drop from a median value of 39 650 to 4000 bcr-abl transcripts/μg RNA (P = 0.02).
To investigate by competitive quantitative RT-PCR if the amount of residual bcr-abl mRNA has clinical relevance and is predictive of imminent relapse, we measured the amount of transcript and the clinical outcome. The median survival was similar in the two groups: 41.5 months of CCR group (range 6–123) vs 33.5 months of MCR group (range 16–123). One patient (UPN 6477) who had a sudden lymphoid blast crisis and subsequently died, had no determination 6 months before this event, and no information could be deduced about the prognostic significance of the amount of bcr-abl transcript. Three patients (UPNs 3303, 7793 and 8693) lost their CCR and become MCR, but in none of them was there any difference in the expression of bcr-abl transcripts in the 6 months before these events.
Discussion
The first aim of this study was to determine whether residual disease was still present at the molecular level after CCR or MCR was achieved. All 34 complete responders on IFN-α therapy had molecular evidence of residual disease. This is not in itself a new observation. In fact, our results confirm those of Lee et al7 and Hochhaus et al12 who reported that all complete cytogenetic responders on IFN-α have detectable residual disease by two-step RT-PCR independent of the duration of CCR. Although at least 23 cases have been reported12131617181920212223 with intermittent or persistent PCR negativity on IFN-α using different PCR techniques, these observations may be due to the considerable variability in the sensitivity of PCR techniques performed in different laboratories. Consequently, the PCR negativity reported in CCR patients could be due more to technical discrepancies among different laboratories than to a real cure of the patients.
The second aim was to assess whether different patterns of bcr-abl transcript expression were present between CCR and MCR groups at diagnosis and during IFN-α therapy. Even though the two groups expressed a similar amount of bcr-abl transcript at diagnosis, and were indistinguishable not only clinically and cytogenetically but also at a molecular level, the two groups could be successfully recognized during interferon therapy based on the level of bcr-abl amount of transcript. This difference was evident when the two groups were evaluated at the time of major karyotypic conversion (P = 0.046) but became very strong at the time of complete karyotypic response (P = 0.000024). These differences could be due to a different activity of IFN-α therapy on the suppression of the Ph+ clone in these two groups of patients, which could affect the relationship between the amount of Ph+ cells and the amount of bcr-abl. This was also suggested by the detection of the decrease of the amount of the bcr-abl transcript during interferon therapy in both groups: in the CCR group we found that it was higher (P = 0.009) than in the MCR group (P = 0.02).
The third aim of our study was to assess whether the amount of bcr-abl transcript was different in patients who obtain the CCR after IFN-α therapy with or without ABMT procedures since the role of autologous transplants in CCR remissions is still a matter of debate. The outcome of ABMT is strongly influenced by the remission status at the time of high-dose therapy and by the quality of the autograft, due to the evidence that residual malignant cells in the bone marrow harvest could cause leukemic relapse. Furthermore, the evidence of a positive PCR confirms the infiltration of the autograft and the ineffectiveness of the IFN-α for the eradication of disease. The similar clinical outcome of these two groups of CCR patients and our finding that there were no differences in the amount of bcr-abl in the patients that obtained a CCR with IFN-α alone or plus ABMT suggest that the reduction of the disease burden by ABMT could not modify the clinical history of the disease.
Finally, we investigated by competitive quantitative RT-PCR whether the amount of residual bcr-abl mRNA has clinical relevance2425 and was predictive of imminent relapse. We were able to conclude that the majority of patients remained with stable expression of low amounts of bcr-abl transcript and no logarithmic variation of the amount of transcript has been detected during the same phase of the disease (data not shown). In this sense our results do not confirm the reported finding that the range of residual disease in complete responders to IFN-α spans nearly four orders of magnitude,12 but rather that it spans only three orders and that these bcr-abl transcript levels are consistent with cytogenetic remission. A promising new method to monitor MRD in CML patients is TAQman real-time quantitative RT-PCR, which appears to be well correlated to clinical and cytogenetic data within the sensitivity limits of a one step PCR.2627282930313233
In conclusion, we confirm that competitive PCR is a highly sensitive and reliable method to follow up complete cytogenetic responders on IFN-α and demonstrate that the CCR and MCR groups could be successfully recognized during interferon therapy based on the level of bcr-abl transcript.
References
Rowley JD . A new consistent chromosomal abnormality in chronic myelogenous leukemia identified by quinacrine fluorescence and Giemsa staining Nature 1973 24: 290–293
Nowell PC, Hungerford DA . A minute chromosome in human chronic granulocytic leukemia Science 1960 132: 1497–1499
Grosveld G, Verwoerd T, van Agthoven T et al. The chronic myelocytic cell line K562 contains a breakpoint in bcr and produces a chimeric bcr/c-abl transcript Mol Cell Biol 1986 6: 607–616
Shtivelman E, Gale RP, Dreazen O et al. Bcr-abl RNA in patients with chronic myelogenous leukemia Blood 1987 69: 971–973
Cross NCP, Lin F, Chase A et al. Competitive polymerase chain reaction to estimate the number of bcr-abl transcripts in chronic myeloid leukemia patients after bone marrow transplantation Blood 1993 82: 1929–1936
Chissoe SL, Bodenteich A, Wang YF et al. Sequence and analysis of the human ABL gene, the BCR gene, and regions involved in the Philadelphia chromosomal translocation Genomics 1995 27: 67–82
Lee MS, Kantarjian H, Talpaz M et al. Detection of minimal residual disease by polymerase chain reaction in Philadelphia chromosome-positive chronic myelogenous leukemia following interferon therapy Blood 1992 79: 1920–1923
Martinelli G, Testoni N, Montefusco V et al. Detection of bcr-abl transcript in chronic myelogenous leukemia patients by reverse-transcription-polymerase chain reaction and capillary electrophoresis Haematologica 1998 83: 593–601
Testoni N, Martinelli G, Farabegoli P et al. A new method of ‘in cell RT-PCR’ for the detection of bcr-abl transcript in chronic myeloid leukemia patients Blood 1996 87: 3822–3827
Lin F, Chase A, Bungey J et al. Correlation between the proportion of Philadelphia chromosome positive metaphases and levels of bcr-abl mRNA in chronic myeloid leukaemia Genes Chromos Cancer 1995 13: 110–114
Van Rhee F, Marks DI, Lin F et al. Quantification of residual disease in Philadelphia positive acute lymphoblastic leukemia: comparison of blood and bone marrow Leukemia 1995 9: 329–335
Hochhaus A, Lin F, Reiter A et al. Variable numbers of BCR-ABL transcripts persist in CML patients who achieve complete cytogenetic remission with interferon-α Br J Haematol 1995 91: 126–131
Malinge MC, Mahon FX, Delfau MH et al. Quantitative determination of the hybrid bcr-abl RNA in patients with chronic myelogenous leukemia under interferon therapy Br J Haematol 1992 82: 701–707
Miggiano MC, Gherlinzoni F, Rosti G et al. Autologous bone marrow transplantation in late first complete remission improves outcome in acute myelogenous leukemia Leukemia 1996 10: 402–409
The Italian Cooperative Study Group on Chronic Myeloid Leukemia . Interferon alfa-2a as compared with conventional chemotherapy for the treatment of chronic myeloid leukemia New Engl J Med 1994 330: 820–825
Mahon FX, Daheron L, Malinge MC et al. Polymerase chain reaction detection of residual disease in chronic myeloid leukemia patients in complete cytogenetic remission under interferon with or without chemotherapy Leukemia 1992 6: 1232–1234
Martiat P, Maisin D, Philippe M et al. Detection of residual BCR/ABL transcripts in chronic myeloid leukaemia patients in complete remission using the polymerase chain reaction and nested primers Br J Haematol 1990 75: 355–358
Opalka B, Kloke O, Bartram CR et al. Elimination by interferon-alpha of malignant clone in chronic myeloid leukaemia Lancet 1989 i: 1334 (letter)
Opalka B, Wandl UB, Becher R et al. Minimal residual disease in patients with chronic myelogenous leukemia undergoing long-term treatment with recombinant interferon α-2b alone or in combination with interferon γ Blood 1991 78: 2188–2193
Ozer H, George SL, Schiffer CA et al. Prolonged subcutaneous administration of recombinant α2b interferon in patients with previously untreated Philadelphia chromosome-positive chronic-phase chronic myelogenous leukemia: effect on remission duration and survival: Cancer and Leukemia Group B study 8583 Blood 1993 82: 2975–2984
Pardini S, Addis M, Dore F et al. Interferon-α2a therapy in CML: disappearance of BCR/ABL transcript in a case of long-lasting continuous cytogenetic conversion Haematologica 1994 79: 540–541 (review)
Talpaz M, Kantarjian H, Kurzrock R et al. Interferon alpha produces sustained cytogenetic responses in chronic myelogenous leukemia Ann Intern Med 1991 114: 532–538
Liberati AM, Donti E, Rosso C et al. Repeated PCR in CML during IFN-α therapy Eur J Haematol 1994 52: 152–155
Faderl S, Talpaz M, Kantarjian HM, Estrov Z . Should polymerase chain reaction analysis to detect minimal residual disease in patients with chronic myelogenous leukemia be used in clinical decision making? Blood 1999 93: 2755–2759
Goldman JM, Kaeda JS, Cross NCP et al. Clinical decision making in chronic myeloid leukemia based on polymerase chain reaction analysis of minimal residual disease Blood 1999 94: 1484–1486 (letter)
Pache G, Schmidt M, Vraetz T et al. An internally standardized competitive PCR Elisa for the precise quantification of clinical ex vivo gene transfer into hematopoietic stem cells Blood 1998 12: (Suppl.1) 150a (Abstr.605)
Wittor H, Emig M, Betzl G et al. Detection and quantification of bcr-abl transcripts using a novel one-step real-time RT-PCR approach with specific fluorescent hybridization probes Blood 1998 12: (Suppl.1) 73a (Abstr. 298)
Kafert S, Ganser A, Eder M . Differential quantification of alternatively spliced mRNAs using isoform specific taqman-probes and real-time RT-PCR Blood 1998 12: (Suppl.1) PAG (Abstr.3730)
Ladetto M, Donovan JW, Schlossman R et al. Limitations of quantitative detection of immunoglobulin heavy chain (IgH) gene rearrangements in multiple myeloma (MM) patients using real-time PCR Blood 1998 12: (Suppl.1) 258a (Abstr. 1056)
Seeger K, Kreuzer KA, Schmidt CA et al. Novel 5′ exonuclease-based real-time PCR assay for the detection of TEL-AML1 fusion in childhood acute lymphoblastic leukemia (ALL) Blood 1998 12: (Suppl. 1) 392a (Abstr.1622)
Bories D, Dumont V, Belhadj K et al. Real-time quantitative RT-PCR monitoring of chronic myelogenous leukemia Blood 1998 12: (Suppl.1) 73a (Abstr.296)
Shah MH, Yu H, Stover EH et al. Simultaneous quantification of cytokine gene expression in multiple organs during endotoxic shock Blood 1998 12: (Suppl.1) 545a (Abstr.2238)
Mensink E, Van de Locht A, Schattenberg E et al. Quantitation of minimal residual disease in Philadelphia chromosome positive chronic myeloid leukaemia patients using real-time quantitative RT-PCR Br J Haematol 1998 102: 768–774
Acknowledgements
The authors are grateful to Mr Robin MT Cooke for editorial assistance. This work was supported by Italian Association of Cancer Research (AIRC), by Italian CNR and by MURST 40% target projects and by ‘30 Ore per la Vita’ AIL grants.
Author information
Affiliations
Rights and permissions
About this article
Cite this article
Martinelli, G., Testoni, N., Amabile, M. et al. Quantification of BCR-ABL transcripts in CML patients in cytogenetic remission after interferon-α-based therapy. Bone Marrow Transplant 25, 729–736 (2000). https://doi.org/10.1038/sj.bmt.1702207
Received:
Accepted:
Published:
Issue Date:
DOI: https://doi.org/10.1038/sj.bmt.1702207
Keywords
- CML
- BCR-ABL
- IFN-α
- cytogenetic remission
- ABMT


