Abstract
Limited information exists on the relations between heart rate variability, hypertension, lifestyle factors and renin–angiotensin–aldosterone system. A total of 191 newly diagnosed yet untreated hypertensive men and women, 35–54 years of age, were compared with an age- and gender-stratified random population sample of 105 normotensive men and women to find out independent determinants of heart rate variability. Heart rate variability was computed from 5-min ECG time series using the standard deviation of normal-to-normal RR intervals (SDNN), the square root of the mean of squared differences between adjacent normal RR intervals (RMSSD) and the fast Fourier transform spectral analysis. All absolute measures of heart rate variability were reduced in hypertension (P<0.001 for each, ANOVA). In multivariate regression analyses, reduced heart rate variability was independently associated with higher heart rate (P<0.001 for all absolute measures of heart rate variability), higher age (P=0.001 for SDNN, total and LF powers; P<0.001 for RMSSD and HF power) and higher mean arterial pressure (P<0.05 for total power, P<0.01 for the other absolute measures) but not with sodium and alcohol intakes, body mass index and smoking. Increased plasma renin activity (PRA) was an independent attributor of reduced HF power (P<0.05) and reduced RMSSD (P<0.01). Increased blood pressure and heart rate are associated with decreased heart rate variability without any direct effects on heart rate variability of lifestyle factors. High PRA is an independent determinant of diminished modulation of vagal activity.
Introduction
Spectral analysis of heart rate variability can be used to assess parasympathetic and sympathetic modulation of the autonomic nervous system.1,2 Previous studies have found either reduced3,4,5,6 or unchanged7,8 heart rate variability in hypertension. Only few studies have used population-based settings and controlled their findings carefully for confounding variables.
Environmental factors play a significant role in the development of hypertension. High sodium9 and alcohol10,11 intakes, obesity,12 smoking,13,14 low heart rate variability15,16 and in some studies high plasma renin activity (PRA)17 are associated with increased risk of cardiovascular events. Obesity,18 smoking,19,20 and intakes of alcohol20,21 and salt22 may also modulate heart rate variability. However, surprisingly little is known of the possible interactions between lifestyle factors, blood pressure, PRA and heart rate variability.
We compared newly diagnosed yet untreated middle-aged hypertensive subjects with an age- and gender-stratified random population sample of men and women to find out whether heart rate variability is reduced in hypertension. In addition, we wanted to study whether the possible associations between blood pressure and heart rate variability are independent or partly mediated by lifestyle factors. Owing to the interactions between the renin–angiotensin–aldosterone (RAA) system, autonomic nervous function, lifestyle factors and blood pressure, we also wanted to study whether RAA system is independently related to heart rate variability.
Materials and methods
Study population
Altogether, 249 newly diagnosed yet untreated, moderately to severely hypertensive white men and women, aged 35–54 years, residing in the city of Turku and three neighbouring municipalities in southwestern Finland, were recruited into the study. The inclusion criteria were systolic or diastolic blood pressure consistently in the range of 180–220 or 100–120 mmHg, respectively, as measured within primary health care. For a control group, a random sample of 178 subjects residing in the same area was drawn from the national population register. For stratification, 45 subjects of each gender and each 10-year age group (35–44 and 45–54) were chosen. Subjects with antihypertensive medication (n=15) or systolic or diastolic blood pressure of ⩾140 or ⩾90 mmHg, respectively (n=14), were excluded from the control group. Five controls had to be abandoned for incompletely finished studies. Thereafter, 24 hypertensive subjects and nine normotensive controls were excluded because of significant comorbidity. The reasons were coronary artery disease, congestive heart failure, previous cerebrovascular event, claudication, haemodynamically significant valvular disease, severe anaemia (haemoglobin ⩽110 g/l for men and ⩽100 g/l for women), chronic alcoholism, diabetes mellitus or any confounding medication. In addition to ordi-nary cardiovascular medication, current use of β-blocker eye drops for glaucoma, teophylline or β2-sympathomimetics for pulmonary diseases and previous or prevailing antineoplastic medication were regarded as exclusion criteria. The exclusion was based on medical history, clinical examination, routine biochemical tests, exercise EGG and echocardiographic examination. After these exclusions, there were 225 hypertensive and 135 normotensive subjects eligible for the assessment of heart rate variability. However, the RR interval power spectra could not be computed reliably in 34 hypertensive and 30 normotensive subjects because of ventricular or atrial arrhythmias, technical artefacts or missing data. The final analysis included data from 191 (82 women and 109 men) hypertensive and 105 (56 women and 49 men) normotensive subjects. The study was conducted following the Second Declaration of Helsinki and was approved by the Ethical Committee of the Social Insurance Institution of Finland. All subjects gave their written informed consent.
Measurements
After recruitment, for the purposes of this study, blood pressure was reassessed by a trained nurse. It was recorded in seated posture with a mercury sphygmomanometer, always between 8 and 10 am, according to the guidelines of the American Society of Hypertension.23 Blood pressure was averaged over duplicate measures obtained in four separate sessions within 3 weeks.
Body weight was measured in light clothing without shoes with an accuracy of 0.1 kg and height with an accuracy of 1 cm.
Urinary 24-h sodium was analysed by emission flame photometry. The urinary collections were judged to be complete in over 90% of subjects.24 For the measurement of PRA and plasma aldo-sterone, blood was collected into ice-cold tubes containing 6 mg Na2EDTA/ml of blood. Plasma was separated in a refrigerated centrifuge and stored at −70°C. Radioimmunoassay was used for the determination of PRA (Phadebas Angiotensin I test, Pharmacia Diagnostics, Stockholm, Sweden) and plasma aldosterone (Aldosterone RIA, Abbott Laboratories, Chicago, IL, USA). Seven-day alcohol intake was assessed by means of a questionnaire. The alcoholic drinks were converted to grams of absolute ethanol.
Heart rate variability assessment
The studies for the assessment of heart rate variability were carried out between 8.30 and 12.00 am in an isolated examination room at a stable temperature between 20 and 22°C. The subjects were requested to avoid coffee, tea, cola drinks and smoking for 12 h and alcoholic beverages for 24 h before the assessment of heart rate variability. A light breakfast was allowed not later than 2 h before. The ECG used for the analysis of beat-to-beat heart rate variability was recorded after 10-min supine rest for at least 5 min while the subject was in supine position and breathing freely. The ECG was recorded from the precordial leads and transferred on-line to a microcomputer for the analysis of heart rate variability. Only stationary time series of approximately 5-min durations without arrhythmia or artefacts were used. All heart rate variability analyses were performed by one physician (RV) blinded to the blood pressure readings of individual subjects. The time domain variables measured were the standard deviation of normal-to-normal RR intervals (SDNN) and the square root of the mean of squared differences between adjacent normal RR intervals (RMSSD). Frequency domain analysis was performed by calculating the power density spectrum using the fast Fourier transform method and subjected to a Partzen window with a triangular smoothing. The frequency domain variables included total power (<0.4 Hz), high-frequency (HF) power (0.15–0.4 Hz), low-frequency (LF) power (0.04–0.15 Hz) and very-low-frequency (VLF) power (<0.04 Hz). The spectral components of heart rate variability were analysed as absolute units (ms2), and the LF and HF components also as normalized units (nu, %). Normalized units were calculated as follows: LFnu=LF power/(total power−VLF power)×100 and HFnu=HF power/(total power−VLF power) ×100. The ratio of LF to HF components of heart rate variability was calculated as well. The heart rate variability analysis was performed with CPRS 2.41 software (CardioPulmonary Research Software, Absolute Aliens Ay, Turku, Finland).
Statistical analysis
The summary statistics are given as mean±s.d. for demographic variables and mean±s.e. for indices of heart rate variability. Before statistical analyses, the skewed distributions (absolute power spectral densities, SDNN, RMSSD, LF : HF ratio, PRA, plasma aldosterone, 24-h urinary sodium and PRA to 24-h urinary sodium ratio) were transformed logarithmically. Differences between gender and study groups were compared with a two-way analysis of variance (ANOVA) by main-effects group factor (1=hypertensive, 2=normotensive) and gender (1=men, 2=women). Non-parametric Mann–Whitney test was used to assess the difference in alcohol intake between groups. Differences in categorial variables between groups were compared with crosstabulation and subsequent χ2 testing. Associations between measures of heart rate variability and other variables were studied with Pearson's correlation coefficients and partial correlation coefficients adjusted for gender, group or gender and group. Multiple stepwise linear regression analyses were used to evaluate independent associations of heart rate variability. Finally, the adjusted means of heart rate variability variables were calculated for hypertensive and normotensive women and men after adjustment for statistically significant covariates. Statistical analysis of the data was performed with SPSS 9.0 software (SPSS Inc., Chicago, IL, USA). P-values less than 0.05 were considered as statistically significant.
Results
Demographic and lifestyle characteristics
Hypertensive subjects were slightly older, had higher resting heart rates, higher body mass indexes, higher 24-h urinary sodium excretions, lower PRA and lower PRA to 24-h urinary sodium ratios than their normotensive controls ( Table 1). Hypertensive and normotensive subjects had similar plasma aldosterone levels. Compared to the normotensive control men of the study, those normotensive men who were excluded because of data inadequacy (n=14) had lower systolic and mean blood pressures (P<0.05), and higher PRAs (P<0.001). Otherwise, for data inadequacy excluded groups of hypertensive and normotensive men and women did not differ from the resultant study groups.
Heart rate variability
All absolute measures of heart rate variability were reduced in hypertensive subjects as compared with their normotensive controls ( Table 2). However, hypertensive and normotensive subjects had similar normalized LF and HF components of heart rate variability and similar LF : HF ratios. Compared to men, women had lower absolute LF and normalized LF and HF components of heart rate variability and lower LF : HF ratios ( Table 2).
Correlates of heart rate variability in univariate and multivariate analyses
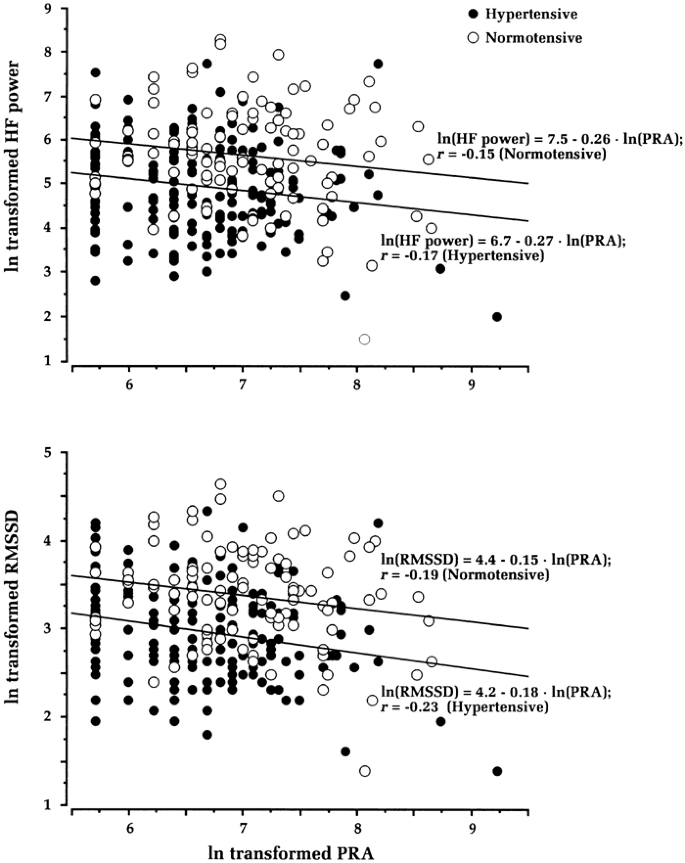
Age, heart rate, blood pressures and body mass index correlated negatively with SDNN, RMSSD and total, LF and HF powers of heart rate variability, and, except for age and body mass index, also with the VLF power (gender-adjusted correlations, data not shown; gender- and group-adjusted cor-relations, Table 3). Gender-adjusted negative correlations between 24-h urinary sodium and RMSSD or HF power (r=−0.13, P=0.022 for both associations) disappeared after adjustments for gender and group ( Table 3). There were consistent inverse relationships between PRA and the HF component of heart rate variability and RMSSD (Figure 1 and Table 3), and between PRA and SDNN ( Table 3).
In multivariate regression analyses with age, gender, body mass index, heart rate, mean arterial pressure, PRA, 24-h urinary sodium and PRA to 24-h urinary sodium ratio as explanatory variables, heart rate, age and mean arterial pressure were independently associated with all absolute measures of heart rate variability except with the VLF component ( Table 4). In addition, the LF component was explained by gender, women having lower LF powers than men. High PRA was an independent attributor of decreased RMSSD and decreased HF component of heart rate variability ( Table 4).
Heart rate variability adjusted for age, heart rate and PRA
Frequency domain measures of heart rate variability adjusted for age, heart rate and PRA, as derived from the regression analyses, are presented in Figure 2. Even after these adjustments, total power (P=0.007), VLF power (P=0.015) and LF power (P=0.011) were lower in hypertensive women, and LF power (P=0.028) as well as HF power (P=0.006) were lower in hypertensive men when compared with their normotensive counterparts. On the contrary, the effect of adjustments for heart rate (P<0.001), age (P=0.003) and PRA (P=0.005) wiped off the significant difference in HF power between hypertensive and normotensive women.
Mean values and their 95% confidence intervals adjusted by the predictors of heart rate variability (heart rate, age, and plasma renin activity) for the frequency domain measures of heart rate variability according to group factor and gender. Values are mean (s.e.). HF, high frequency; LF, low frequency; VLF, very low frequency.
Discussion
Heart rate variability in hypertension
In our carefully controlled study, decreased time domain and absolute frequency domain variables of heart rate variability differentiated untreated middle-aged hypertensive men and women from their normotensive controls. Previous studies have reported either similar7,8 or reduced3,4,5,6,25 heart rate variability in hypertensive subjects as compared with normotensive subjects. Several factors may explain this inconsistency. Study participants have often been selected or patients with confounding illnesses and medications have not been carefully excluded. Perhaps most importantly, subjects in the earlier studies have not represented newly diagnosed, untreated hypertensive patients. As changes in the autonomic modulation of heart rate seem to be quite subtle in hypertension, some studies may even have resulted in negative findings because of lacking power.
The present findings of decreased heart rate variability in hypertension are in line with previous population-based studies.4,6 Compared with our study the hypertensive subjects in these studies were older,4,6 only men,4 or had received antihypertensive treatments.4 In the study of Huikuri et al,4 treated hypertension was associated with decreased SDNN and VLF and LF components of heart rate variability, but with unchanged total and HF powers, and decreased LF : HF ratio. The use of β-blocking medication may explain why the HF component of heart rate variability did not differ between their hypertensive and normotensive subjects. In the Framingham study,6 all time domain and frequency domain variables of heart rate variability were reduced in untreated hypertensive men and women.
We did not observe any difference between untreated hypertensive and age-matched normo-tensive subjects in the normalized LF and HF components of heart rate variability or in the LF : HF ratio. In this respect, our results are in contrast with some studies,25,26 whereas they are in line with other studies including the previous population-based studies.4,5,6
Determinants of heart rate variability
In the present study, higher age, heart rate and blood pressure were independent determinants of decreased absolute measures of heart rate variability. A new finding was that the association of blood pressure with heart rate variability is independent of heart rate. Justification to include heart rate in the multivariate explanatory models of heart rate variability is not unambiguous as heart rate and heart rate variability are both targets of cardiovascular neural regulation. On the other hand, heart rate is closely related to heart rate variability.27 Our results suggest that the relation of blood pressure with cardiac autonomic control is not modulated by the heart rate alone.
In line with previous studies, higher age was associated with reduced heart rate variability,27,28,29,30 and female gender with a decreased absolute30 and normalized31 LF component of heart rate variability, an increased normalized HF component31 and a lower LF : HF ratio.30,31 Body mass index and 24-h urinary sodium were not independently associated with heart rate variability, suggesting that their effects on heart rate variability may be mediated by hemodynamic or other factors associated with essential hypertension. In contrast to some other studies,19,28 we did not observe any association between smoking or alcohol and heart rate variability. This may be because of the fact that we carefully avoided the shortterm effects of smoking and alcohol on heart rate variability.
RAA system and heart rate variability
We found that increased PRA was an independent determinant of reduced RMSSD and reduced HF power of heart rate variability. Previous studies suggest that changes in the activity of the RAA system are associated with changes in heart rate variability. In borderline hypertension tilt from supine to standing increases PRA in association with a decrease in the HF power.32 Angiotensin-converting enzyme inhibitors have been shown to augment both the HF and LF powers,33 and to decrease the LF : HF ratio34 of hypertensive subjects. Switching from high to very low sodium intake may induce changes in the HF power,22 LF : HF ratio22,35 and normalized LF power35 of heart rate variability with differences between salt-sensitive and salt-resistant subjects.22,35
The interactions between the RAA system and the autonomic nervous system are numerous and complex.36 Sympathetic neural activation increases renin secretion via β-adrenoreceptor-mediated stimulation of juxtaglomerular cells. Angiotensin II influences the sympathetic nervous system by enhancing central sympathetic outflow, by exerting stimulatory effects on sympathetic ganglia and the adrenal medulla, and by facilitating neurotrans-mission at sympathetic nerve endings. Angiotensin II also interacts with baroreceptor reflexes by inhibiting vagal outflow to the heart. Thus, a low HF component of heart rate variability accom-panied with a high PRA may mark diminished modulation of vagal activity and increased sympathetic predominance.
Our hypertensive subjects had a lower mean PRA compared with their normotensive counterparts. Especially, patients with low-renin hypertension have a normal total blood volume, but it is shifted from the peripheral to the central compartment of the compliance space.37 The decreased LF com-ponent of heart rate variability in our hypertensive subjects may thus reflect decreased sympathetic excitation owing to baroreceptor loading.
Study limitations
In our study the data for the analysis of short-term heart rate variability was obtained under stationary laboratory conditions and applied according to the Task Force Guidelines of the American Heart Association.38 A longer recording would have deepened the insights provided by the present work. The results regarding the VLF power should be dealt with caution as durations of time series were inadequate to fully reflect this spectral band. Also, spontaneous respiration during the ECG recording may have had some impact on the HF power results. Finally, a substantial number of subjects were excluded because of measurement inadequacy. Outside slightly lower blood pressures and higher PRAs of the excluded normotensive men, subjects who were excluded because of data inadequacy, did not differ from eligible subjects of their respective study groups in age, heart rate, blood pressure, PRA, plasma aldosterone and lifestyles. Therefore, the resultant study groups can be regarded to represent the initial cohorts of subjects applicable to this study.
Implications
The present study shows that heart rate variability is uniformly reduced in mild to moderate untreated hypertension. Higher heart rate, advancing age, higher blood pressure, female gender and higher PRA were independent determinants of reduced heart rate variability. Prospective studies are needed to find out whether reduced heart rate variability identifies hypertensive subjects with increased risk of cardiac mortality.
References
Malliani A, Pagani M, Lombardi F, Cerutti S . Cardiovascular neural regulation explored in the frequency domain. Circulation 1991; 84: 482–492.
Eckberg DL . Sympathovagal balance. A critical appraisal. Circulation 1997; 96: 3224–3232.
Langewitz W, Rüddel H, Schächinger H . Reduced parasympathetic cardiac control in patients with hypertension at rest and under mental stress. Am Heart J 1994; 127: 122–128.
Huikuri HV et al. Heart rate variability in systemic hypertension. Am J Cardiol 1996; 77: 1073–1077.
Liao D et al. Association of cardiac autonomic function and the development of hypertension: the ARIC study. Am J Hypertens 1996; 9: 1147–1156.
Singh JP et al. Reduced heart rate variability and new-onset hypertension. Insights into pathogenesis of hypertension: the Framingham Heart Study. Hypertension 1998; 32: 293–297.
Furlan R et al. Continuous 24-hour assessment of the neural regulation of systemic arterial pressure and RR variabilities in ambulant subjects. Circulation 1990; 81: 537–547.
Aono T et al. Power spectral analysis of spontaneous blood pressure and heart rate variability in elderly hypertensives. Hypertens Res 1996; 19: 9–16.
Tuomilehto J et al. Urinary sodium excretion and cardiovascular mortality in Finland: a prospective study. Lancet 2001; 357: 848–851.
Poikolainen K . Alcohol and mortality: a review. J Clin Epidemiol 1995; 48: 455–465.
Hart C, Smith G, Hole D, Hawthorne V . Alcohol consumption and mortality from all causes, coronary heart disease, and stroke: results from a prospective cohort study of Scottish men with 21 years of follow-up. BMJ 1999; 318: 1725–1729.
Jousilahti P et al. Body weight, cardiovascular risk factors and coronary mortality. 15-year follow-up of middle-aged men and women in eastern Finland. Circulation 1996; 93: 1372–1379.
Bartecchi C, MacKenzie T, Schrier R . The human costs of tobacco use (first of two parts). N Engl J Med 1994; 330: 907–912.
MacKenzie T, Bartecchi C, Schrier R . The human costs of tobacco use (second of two parts). N Engl J Med 1994; 330: 975–980.
Liao D et al. Cardiac autonomic function and incident coronary heart disease: a population-based case–cohort study. The ARIC study. Atherosclerosis Risk in Communities Study. Am J Epidemiol 1997; 145: 696–706.
Tsuji H et al. Impact of reduced heart rate variability on risk for cardiac events. The Framingham Heart Study. Circulation 1996; 94: 2850–2855.
Alderman M et al. Plasma renin activity: a risk factor for myocardial infarction in hypertensive patients. Am J Hypertens 1997; 10: 1–8.
Emdin M et al. Hyperinsulinemia and autonomic nervous system dysfunction in obesity: effects of weight loss. Circulation 2001; 103: 513–519.
Hayano J et al. Short- and long-term effects of cigarette smoking on heart rate variability. Am J Cardiol 1990; 65: 84–88.
Kupari M, Virolainen J, Koskinen P, Tikkanen MJ . Short-term heart rate variability and factors modifying the risk of coronary artery disease in a population sample. Am J Cardiol 1993; 72: 897–903.
van de Borne P et al. Effects of alcohol on sympathetic activity, hemodynamics, and chemoreflex sensitivity. Hypertension 1997; 29: 1278–1283.
Minami J, Kawano Y, Ishimitsu T, Takishita S . Blunted parasympathetic modulation in salt-sensitive patients with essential hypertension: evaluation by power-spectral analysis of heart-rate variability. J Hypertens 1997; 15: 727–735.
American Society of Hypertension. ASH Public policy position paper. Recommendations for routine blood pressure measurement by indirect cuff sphygmomanometry. Am J Hypertens 1992; 5: 207–209.
Jula A, Salminen JK, Saarijärvi S . Alexithymia. A facet of essential hypertension. Hypertension 1999; 33: 1057–1061.
Piccirillo G et al. Age-dependent influence on heart rate variability in salt-sensitive hypertensive subjects. J Am Geriatr Soc 1996; 44: 530–538.
Guzzetti S et al. Sympathetic predominance in essential hypertension: a study employing spectral analysis of heart rate variability. J Hypertens 1988; 6: 711–717.
Tsuji H et al. Determinants of heart rate variability. J Am Coll Cardiol 1996; 28: 1539–1546.
Pikkujämsä SM et al. Relationship between heart rate variability and cardiovascular risk factors in middle-aged males. Ann Noninvas Electrocardiol 1996; 1: 354–362.
Salo TM et al. Comparison of autonomic withdrawal in men with obstructive sleep apnea syndrome, systemic hypertension, and neither condition. Am J Cardiol 2000; 85: 232–238.
Liao D et al. Age, race, and sex differences in autonomic cardiac function measured by spectral analysis of heart rate variability—the ARIC study. Am J Cardiol 1995; 76: 906–912.
Huikuri HV et al. Sex-related differences in autonomic modulation of heart rate in middle-aged subjects. Circulation 1996; 94: 122–125.
Duprez DA et al. Renin–angiotensin–aldosterone system, RR interval, and blood pressure variability during postural changes in borderline arterial hypertension. Am J Hypertens 1995; 8: 683–688.
Tomiyama H et al. Effects of an ACE inhibitor and a calcium channel blocker on cardiovascular autonomic nervous system and carotid distensibility in patients with mild to moderate hypertension. Am J Hypertens 1998; 11: 682–689.
Rizzoni D et al. Effect of antihypertensive treatment on daytime and nighttime power spectral analysis of heart rate. Am J Hypertens 1993; 6: 204–208.
Piccirillo G et al. Heart rate and blood pressure variabilities in salt-sensitive hypertension. Hypertension 1996; 28: 944–952.
Reid IA . Interactions between ANG II, sympathetic nervous system, and baroreceptor reflexes in regulation of blood pressure. Am J Physiol 1992; 262: E763–E778.
Julius S, Esler M . Increased central blood volume: a possible pathophysiological factor in mild low-renin essential hypertension. Clin Sci Mol Med 1976; 3: 207s–210s.
Task Force of The European Society of Cardiology, The North American Society of Pacing and Electrophysiology. Heart rate variability. Standards of measurement, physiological interpretation, and clinical use. Eur Heart J 1996; 17: 354–381.
Author information
Affiliations
Corresponding author
Rights and permissions
About this article
Cite this article
Virtanen, R., Jula, A., Kuusela, T. et al. Reduced heart rate variability in hypertension: associations with lifestyle factors and plasma renin activity. J Hum Hypertens 17, 171–179 (2003). https://doi.org/10.1038/sj.jhh.1001529
Received:
Revised:
Accepted:
Published:
Issue Date:
DOI: https://doi.org/10.1038/sj.jhh.1001529
Keywords
- autonomic nervous system
- heart rate variability
- lifestyle
- renin–angiotensin–aldosterone system
Further reading
-
Effects of different exercise interventions on heart rate variability and cardiovascular health factors in older adults: a systematic review
European Review of Aging and Physical Activity (2021)
-
Short-term effect of ligature-induced periodontitis on cardiovascular variability and inflammatory response in spontaneously hypertensive rats
BMC Oral Health (2021)
-
Reduced heart-rate variability and increased risk of hypertension—a prospective study of the ELSA-Brasil
Journal of Human Hypertension (2021)
-
Cardiovascular and Autonomic Dysfunction in Murine Ligature-Induced Periodontitis
Scientific Reports (2020)
-
Brain structural concomitants of resting state heart rate variability in the young and old: evidence from two independent samples
Brain Structure and Function (2018)

